Development of a Thermal-Hydraulic Model for the EU-DEMO Tokamak Building and LOCA Simulation
Abstract
1. Introduction
2. Materials and Methods
2.1. Overview of the Reference EU-DEMO WCLL Reactor Design
- The upper pipe chase (UPC) (red in Figure 3a), which extends at L3 level as an annulus, and in which hot and cold distributor rings are located;
- The lower pipe chase (LPC) (Figure 3c), which extends at B3 level as an annulus where all the pipework incoming and outgoing from the lower port are routed, including the LiPb loop equipment;
- The seven vertical shafts (VS) (Figure 3b), extending from level B2 to level L2, which connect UPC and LPC and host several pipeworks.
2.2. MELCOR 1.8.6 for Fusion EU-DEMO Thermal-Hydraulic Model
2.2.1. PHTS Nodalization
2.2.2. Tokamak Building Nodalization
2.2.3. Modelling Ventilation Flows, Leakage Flows, and Pressure Relief Paths
2.2.4. Vacuum Vessel model
- Plasma chamber (vol. 2466 m3);
- Upper port (vol. 1500 m3);
- The volume between the divertor and the VV structure (vol. 30 m3);
- the volume between the back of BB modules and VV structure (vol. 2400 m3).
2.3. Main Assumption and Accident Description
3. Discussion and Results
3.1. Normal Operating State during Plasma Pulse
3.2. Loss-of-Coolant Accident from FW-PHTS: Nodalization Sensitivity
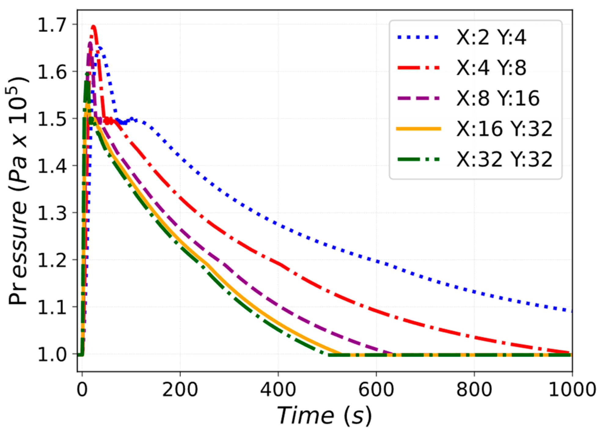
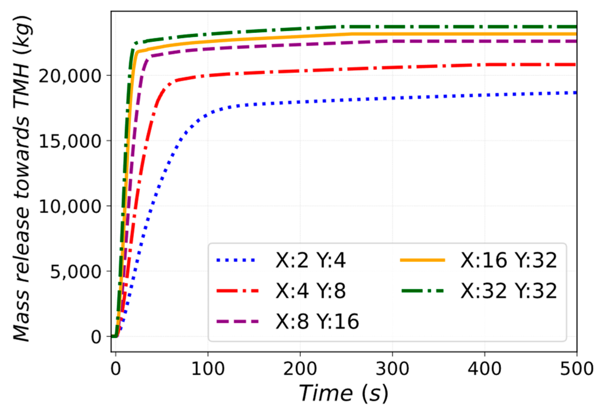
3.3. Loss-of-Coolant Accident from FW-PHTS: Sensitivity on Relief Panels
- X: N° of relief panels (0.5 m2 each) from UPC to PHTS if PUPC > 120 kPa (abs);
- Y: N° of relief panels (0.5 m2 each) from PHTS to dome if PPHTS > 150 kPa (abs).
3.4. Exploratory Solutions to Mitigate Building Pressurization
3.4.1. Spray System in the UPC
3.4.2. Suppression Pool Connected with LPC
4. Discussion and Conclusions
Author Contributions
Funding
Data Availability Statement
Conflicts of Interest
Abbreviations
| BB | Breeding Blanket |
| BU | Breeder Units |
| BZ | Breeder Zone |
| CCWS | Component Cooling Water System |
| CF | Control Functions |
| CV | Control Volumes |
| DWTs | Double Wall Tubes |
| EPP | End of Plasma Pulse |
| F4E | Fusion for Energy |
| FL | Flow paths |
| FMEA | Failure Mode and Effect Analysis |
| FTPS | Fast Termination Plasma System |
| FW | First Wall |
| HCLL | Helium Cooled Lithium Lead |
| HCPB | Helium Cooled Pebble Bed |
| HS | Heat Structures |
| ITER | International Thermonuclear Experimental Reactor |
| LOCA | Loss-Of-Coolant Accident |
| LOFA | Loss-Of-Flow Accident |
| LPC | Lower Pipe Chase |
| PC | Port Cell |
| PHTS | Primary Heat Transfer System |
| PIE | Postulated Initiating Events |
| PP | Port Plug |
| RAFM | Reduced Activation Ferritic Martensitic |
| SAE | Safety And Environment |
| SC | Side Caps |
| SDL | Safety Data List |
| SG | Stiffening Grid |
| SP | Stiffening Plates |
| SW | Side Walls |
| TBM | Test Blanket Module |
| TMH | Top Maintenance Hall |
| TWCS | Tokamak Water Cooling System |
| UPC | Upper Pipe Chase |
| VDS | Ventilation and Detritiation System |
| VS | Vertical Shaft |
| WCLL | Water Cooled Lithium Lead |
| WCS | Water Coolant System |
References
- Romanelli, F.; Federici, L.; Neu, R.; Stork, D. Fusion Electricity—A Roadmap to the Realization of Fusion Energy; EFDA Report: Garching, Germany, 2012; ISBN 978-3-00-040720-8. [Google Scholar]
- Donné, A.J.H. The European roadmap towards fusion electricity. Phil. Trans. R. Soc. A 2019, 377, 20170432. [Google Scholar] [CrossRef] [PubMed]
- Federici, G.; Bachmann, C.; Biel, W.; Boccaccini, L.; Cismondi, F.; Ciattaglia, S.; Coleman, M.; Day, C.; Diegele, E.; Franke, T.; et al. Overview of the design approach and prioritization of R&D activities towards an EU DEMO. Fusion Eng. Des. 2016, 1464–1474. [Google Scholar] [CrossRef]
- Taylor, N.P. Key issues for the safety and licensing of fusion. Fus. Sci. and Tech. 2005, 47, 959–966. [Google Scholar] [CrossRef]
- Caruso, G.; Ciattaglia, S.; Colling, B.; Di Pace, L.; Dongiovanni, D.; D’Onorio, M.; Garcia, M.; Jin, X.; Johnston, J.; Leichtle, D.; et al. DEMO—The main achievements of the Pre-Concept phase of the safety and environmental work package and the development of the GSSR. Fusion Eng. Des. 2022, 176, 113025. [Google Scholar] [CrossRef]
- International Nuclear Safety Advisory Group. Basic Safety Principles for Nuclear Power Plants 75-INSAG-3, Rev.1; (INSAG-12); International Atomic Energy Agency—IAEA: Vienna, Austria, 1999. [Google Scholar]
- International Nuclear Safety Advisory Group. Defence in Depth in Nuclear Safety; INSAG-10; International Atomic Energy Agency—IAEA: Vienna, Austria, 1996. [Google Scholar]
- Jin, X.; Carloni, D.; Stieglitz, R.; Ciattaglia, S.; Johnston, J.; Taylor, N. Proposal of the confinement strategy of radioactive and hazardous materials for the European DEMO. Nuc. Fus. 2017, 57, 046016. [Google Scholar] [CrossRef]
- Pinna, T.; Carloni, D.; Carpignano, A.; Ciattaglia, S.; Johnston, J.; Porfiri, M.; Savoldi, L.; Taylor, N.; Sobrero, G.; Uggenti, A.; et al. Identification of accident sequences for the DEMO plant. Fusion Eng. Des. 2017, 124, 1277–1280. [Google Scholar] [CrossRef]
- Caruso, G. CONSEN Version 4.0—User’s Guide, Installation and Input Files; SRS-ENEA-FUS: Roma, Italy, 1997. [Google Scholar]
- Caruso, G.; Porfiri, M.T. Ice layer growth on a cryogenic surface in a fusion reactor during a loss of water event. Prog. Nucl. Energy 2015, 78, 173–181. [Google Scholar] [CrossRef]
- Dongiovanni, D.N.; Ciattaglia, S.; Porfiri, M.T. Parametric explorative study of DEMO galleries pressurization in case of ex-vessel LOCA. Fusion Eng. Des. 2017, 124, 1223–1227. [Google Scholar] [CrossRef]
- Jin, X.Z. Preliminary Accident Analysis of Ex-Vessel LOCA for the European DEMO HCPB Blanket Concept. Fusion Sci. Technol. 2021, 77, 391–402. [Google Scholar] [CrossRef]
- Moscato, I.; Barucca, L.; Ciattaglia, S.; D’Aleo, F.; Di Maio, P.; Federici, G.; Tarallo, A. Progress in the design development of EU DEMO helium-cooled pebble bed primary heat transfer system. Fusion Eng. Des. 2019, 146, 2416–2420. [Google Scholar] [CrossRef]
- Moscato, I.; Barucca, L.; Bubelis, E.; Caruso, G.; Ciattaglia, S.; Ciurluini, C.; Del Nevo, A.; Di Maio, P.; Giannetti, F.; Hering, W.; et al. Tokamak cooling systems and power conversion system options. Fusion Eng. Des. 2022, 178, 113093. [Google Scholar] [CrossRef]
- D’Onorio, M. Safety Analyses with uncertainty quantification for fusion and fission nuclear power plants. Applications to EU DEMO fusion reactor and BWRs. Ph.D. Thesis, Sapienza University of Rome, Rome, Italy, 2020. [Google Scholar]
- Dongiovanni, D.N.; D’Onorio, M.; Caruso, G.; Pinna, T.; Porfiri, M.T. DEMO Divertor Cassette and Plasma facing Unit in Vessel Loss-of-Coolant Accident. Energies 2022, 15, 8879. [Google Scholar] [CrossRef]
- D’Onorio, M.; Dongiovanni, D.; Ricapito, I.; Vallory, J.; Porfiri, M.; Pinna, T.; Caruso, G. Supporting analysis for WCLL test blanket system safety. Fusion Eng. Des. 2021, 173, 112902. [Google Scholar] [CrossRef]
- Gauntt, R.O.; Cole, R.; Erickson, C.; Gasser, R.; Rodriguez, S.; Young, M. MELCOR Computer Code Manuals Vol. 1: Primer and Users’ Guide Version 1.8.6; NUREG/CR-6119, Rev. 3; Sandia National Laboratory: Albuquerque, NM, USA, 2005; Volume 1.
- Merrill, B.J.; Humrickhouse, P.; Moore, R.L. A recent version of MELCOR for fusion safety applications. Fusion Eng. Des. 2010, 85, 1479–1483. [Google Scholar] [CrossRef]
- Bachmann, C. Plant Description Document, v1.9 IDM ref. 2KVWQZ; Project Internal Document for Plant Description; EUROfusion Report: Garching, Germany, 2022. [Google Scholar]
- Federici, G.; Boccaccini, L.; Cismondi, F.; Gasparotto, M.; Poitevin, Y.; Ricapito, I. An overview of the EU breeding blanket design strategy as an integral part of the DEMO design effort. Fusion Eng. Des. 2019, 141, 30–42. [Google Scholar] [CrossRef]
- Del Nevo, A.; Arena, P.; Caruso, G.; Chiovaro, P.; Di Maio, P.; Eboli, M.; Edemetti, F.; Forgione, N.; Forte, R.; Froio, A.; et al. Recent progress in developing a feasible and integrated conceptual design of the WCLL BB in EUROfusion project. Fusion Eng. Des. 2019, 146, 1805–1809. [Google Scholar] [CrossRef]
- D’Onorio, M.; Giannetti, F.; Caruso, G.; Porfiri, M.T. In-box LOCA accident analysis for the European DEMO water-cooled reactor. Fusion Eng. Des. 2019, 146, 732–735. [Google Scholar] [CrossRef]
- Martelli, E.; Giannetti, F.; Caruso, G.; Tarallo, A.; Polidori, M.; Barucca, L.; Del Nevo, A. A study of EU DEMO WCLL breeding blanket and primary heat transfer system integration. Fusion Eng. Des. 2018, 136, 828–833. [Google Scholar] [CrossRef]
- Barucca, L.; Ciattaglia, S.; Chantant, M.; Del Nevo, A.; Hering, W.; Martelli, E.; Moscato, I. Status of EU DEMO heat transport and power conversion systems. Fusion Eng. Des. 2018, 136, 1557–1566. [Google Scholar] [CrossRef]
- Spagnuolo, G.; Arredondo, R.; Boccaccini, L.; Chiovaro, P.; Ciattaglia, S.; Cismondi, F.; Coleman, M.; Cristescu, I.; D’Amico, S.; Day, C.; et al. Integrated design of breeding blanket and ancillary systems related to the use of helium or water as a coolant and impact on the overall plant design. Fusion Eng. Des. 2021, 173, 112933. [Google Scholar] [CrossRef]
- Gliss, C.; Bachmann, C.; Ciattaglia, S.; Drumm, B.; Camacho, M.G.; Moscato, I.; Mull, T.; Palermo, I. Integrated design of tokamak building concepts including ex-vessel maintenance. Fusion Eng. Des. 2022, 113068. [Google Scholar] [CrossRef]
- Gliss, C.; Bachmann, C.; Ciattaglia, S.; García, M.; Federici, G.; Koerber, M.; Moscato, I.; Riedl, F.; Palermo, I.; Utili, M. Integration of DEMO hazard piping into the tokamak building. Fusion Eng. Des. 2021, 168, 112415. [Google Scholar] [CrossRef]
- Gliss, C.; Ciattaglia, S.; Korn, W.; Moscato, I. Initial layout of DEMO buildings and configuration of the main plant systems. Fusion Eng. Des. 2018, 136, 534–5390. [Google Scholar] [CrossRef]
- Gliss, C. CAD MODEL of Baseline_Integration of Plant Systems & Tokamak Complex Building BLDG 11-14-74 (WCLL), CAD Model, IDM ref. 2PLBZM; Project Internal Document for CAD Model; EUROfusion Report: Garching, Germany, 2022. [Google Scholar]
- Gliss, C. Volume of Tokamak Building Excel Table, v1.9 IDM ref. 2PC2SF; Project Internal Document for Tokamak Building Data; EUROfusion Report: Garching, Germany, 2022. [Google Scholar]
- D’Onorio, M.; Caruso, G. Pressure suppression system influence on vacuum vessel thermal-hydraulics and on source term mobilization during a multiple first Wall–Blanket pipe break. Fusion Eng. Des. 2021, 164, 112224. [Google Scholar] [CrossRef]
- Mazzini, G.; D’Onorio, M.; Caruso, G. Hydrogen explosion mitigation in DEMO vacuum vessel pressure suppression system using passive recombiners. Fusion Eng. Des. 2021, 171, 112713. [Google Scholar] [CrossRef]
- Arena, P.; Del Nevo, A.; Martelli, E. DDD for the Consolidated Design of WCLL—2018, IDM EuroFusion Report, EFDA_D_2N6PT9; Project Internal Document; EUROfusion Report: Garching, Germany, 2019. [Google Scholar]
- Povilaitis, M. EU-DEMO Safety Data List, v1.1 IDM ref. 2NUYCH; Project Internal Document for Safety Analysis; EUROfusion Report: Garching, Germany, 2022. [Google Scholar]





























| Parameter | Unit | MELCOR | Reference | Error |
|---|---|---|---|---|
| MFR OB-BZ | kg/s | 385.559 | 382.5 | −0.8% |
| MFR OB-FW | kg/s | 106.2381 | 106.5 | 0.24% |
| MFR IB-BZ | kg/s | 96.9195 | 96.4 | −0.53% |
| MFR IB-FW | kg/s | 35.94991 | 35.6 | −0.98% |
| Temp. BZ Hot leg | °C | 327.628 | 328.0 | 0.11% |
| Temp. BZ Cold leg | °C | 295.289 | 295.0 | −0.098% |
| Temp. FW Hot leg | °C | 327.690 | 328.0 | 0.095% |
| Temp. FW Cold leg | °C | 294.6627 | 295.0 | 0.114% |
| Pressure BZ-PRZ | Pa | 1.55 × 107 | 1.55 × 107 | <0.0001% |
| Pressure FW-PRZ | Pa | 1.55 × 107 | 1.55 × 107 | <0.0001% |
| BZ MCP Head | Pa | 9.535 × 105 | 9.535 × 105 | <0.0001% |
| FW MCP Head | Pa | 8.434 × 105 | 8.434 × 105 | <0.0001% |
| UPC Abs. Pressure [bar] | PHTS Area Abs. Pressure [bar] | TMH Abs. Pressure [bar] | |
|---|---|---|---|
| Case 1 | 4.39 | 1.61 | 1.21 |
| Case 2 | 4.41 | 1.64 | 1.21 |
| Case 3 | 4.46 | 1.64 | 1.20 |
| UPC Abs. Pressure [bar] | PHTS Area Abs. Pressure [bar] | TMH Abs. Pressure [bar] | |
|---|---|---|---|
| X:2 Y:4 | 4.41 | 1.65 | 1.22 |
| X:4 Y:8 | 3.81 | 1.69 | 1.27 |
| X:8 Y:16 | 3.08 | 1.66 | 1.31 |
| X:16 Y:32 | 2.45 | 1.53 | 1.32 |
| X:32 Y:32 | 1.94 | 1.59 | 1.33 |
Disclaimer/Publisher’s Note: The statements, opinions and data contained in all publications are solely those of the individual author(s) and contributor(s) and not of MDPI and/or the editor(s). MDPI and/or the editor(s) disclaim responsibility for any injury to people or property resulting from any ideas, methods, instructions or products referred to in the content. |
© 2023 by the authors. Licensee MDPI, Basel, Switzerland. This article is an open access article distributed under the terms and conditions of the Creative Commons Attribution (CC BY) license (https://creativecommons.org/licenses/by/4.0/).
Share and Cite
D’Onorio, M.; Glingler, T.; Porfiri, M.T.; Dongiovanni, D.N.; Ciattaglia, S.; Gliss, C.; Elbez-Uzan, J.; Cortes, P.; Caruso, G. Development of a Thermal-Hydraulic Model for the EU-DEMO Tokamak Building and LOCA Simulation. Energies 2023, 16, 1149. https://doi.org/10.3390/en16031149
D’Onorio M, Glingler T, Porfiri MT, Dongiovanni DN, Ciattaglia S, Gliss C, Elbez-Uzan J, Cortes P, Caruso G. Development of a Thermal-Hydraulic Model for the EU-DEMO Tokamak Building and LOCA Simulation. Energies. 2023; 16(3):1149. https://doi.org/10.3390/en16031149
Chicago/Turabian StyleD’Onorio, Matteo, Tommaso Glingler, Maria Teresa Porfiri, Danilo Nicola Dongiovanni, Sergio Ciattaglia, Curt Gliss, Joëlle Elbez-Uzan, Pierre Cortes, and Gianfranco Caruso. 2023. "Development of a Thermal-Hydraulic Model for the EU-DEMO Tokamak Building and LOCA Simulation" Energies 16, no. 3: 1149. https://doi.org/10.3390/en16031149
APA StyleD’Onorio, M., Glingler, T., Porfiri, M. T., Dongiovanni, D. N., Ciattaglia, S., Gliss, C., Elbez-Uzan, J., Cortes, P., & Caruso, G. (2023). Development of a Thermal-Hydraulic Model for the EU-DEMO Tokamak Building and LOCA Simulation. Energies, 16(3), 1149. https://doi.org/10.3390/en16031149

