Molecular Simulation of Nitrogen Adsorption in Multidimensional Nanopores and New Insights into the Inversion of Pore Size Distribution for Gas Shale
Abstract
:1. Introduction
2. Methodology
2.1. Simulation Cell Construction and Parameters
2.2. Simulation Method and Procedure
3. Results and Discussion
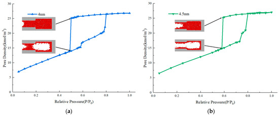
3.1. Nitrogen Evaporation Behaviors in a Single Ink-Bottle Pore
3.2. Nitrogen Evaporation Behaviors in Multi-Stage Ink-Bottle Pores
3.3. Nitrogen Condensation Behavior in the Ink-Bottle Pore
4. Conclusions
Author Contributions
Funding
Data Availability Statement
Acknowledgments
Conflicts of Interest
Appendix A

Appendix B

| Methods | Calculation Time (h) |
|---|---|
| GCMC | 971 |
| GCMC–MD | 124 |
References
- Zelenka, T.; Horikawa, T.; Do, D.D. Artifacts and misinterpretations in gas physisorption measurements and characterization of porous solids. Adv. Colloid Interface Sci. 2023, 311, 102831. [Google Scholar] [CrossRef] [PubMed]
- Barrett, E.P.; Joyner, L.G.; Halenda, P.P. The determination of pore volume and area distributions in porous substances, I. Computations from nitrogen isotherms. J. Am. Chem. Soc. 1951, 73, 373–380. [Google Scholar] [CrossRef]
- Wang, M.; Li, Z.; Liang, Z.; Jiang, Z.; Wu, W. Method Selection for Analyzing the Mesopore Structure of Shale—Using a Combination of Multifractal Theory and Low-Pressure Gas Adsorption. Energies 2023, 16, 2464. [Google Scholar] [CrossRef]
- Pang, P.; Han, H.; Hu, L.; Guo, C.; Gao, Y.; Xie, Y. The calculations of pore structure parameters from gas adsorption experiments of shales: Which models are better? J. Nat. Gas Sci. Eng. 2021, 94, 104060. [Google Scholar] [CrossRef]
- Medina-Rodriguez, B.X.; Alvarado, V. Use of Gas Adsorption and Inversion Methods for Shale Pore Structure Characterization. Energies 2021, 14, 2880. [Google Scholar] [CrossRef]
- Sing, K.S.W.; Everett, D.H. Reporting physisorption data for gas/solid systems with special reference to the determination of surface area and porosity (Recommendations 1984). Pure Appl. Chem. 1985, 57, 603–619. [Google Scholar] [CrossRef]
- Sarkisov, L.; Monson, P.A. Modeling of Adsorption and Desorption in Pores of Simple Geometry Using Molecular Dynamics. Langmuir 2001, 17, 7600–7604. [Google Scholar] [CrossRef]
- Hattori, Y.; Kaneko, K.; Ohba, T. Adsorption Properties. In Comprehensive Inorganic Chemistry II; Elsevier: Amsterdam, The Netherlands, 2013; Volume 5, pp. 25–44. [Google Scholar]
- Pellenq, R.J.M.; Coasne, B.; Denoyel, R.O.; Coussy, O. Simple Phenomenological Model for Phase Transitions in Confined Geometry. 2. Capillary Condensation/Evaporation in Cylindrical Mesopores. Langmuir 2009, 25, 1393–1402. [Google Scholar] [CrossRef]
- Groen, J.C.; Peffer, L.A.A.; Perez-Ramirez, J. Pore size determination in modified micro- and mesoporous materials. Pitfalls and limitations in gas adsorption data analysis. Microporous Mesoporous Mater. 2003, 60, 1–17. [Google Scholar] [CrossRef]
- Barsotti, E.; Piri, M. Effect of Pore Size Distribution on Capillary Condensation in Nanoporous Media. Langmuir 2021, 37, 2276–2288. [Google Scholar] [CrossRef]
- Broekhoff, J.C.; Deboer, J.H. Studies on Pore Systems in Catalysts. 11. Pore Distribution Calculations from Adsorption Branch of a Nitrogen Adsorption Isotherm in Case of Ink-Bottle Type Pores. J. Catal. 1968, 10, 153–165. [Google Scholar] [CrossRef]
- Nguyen, P.T.M.; Do, D.D.; Nicholson, D. Pore connectivity and hysteresis in gas adsorption: A simple three-pore model. Colloids Surf. A—Physicochem. Eng. Asp. 2013, 437, 56–68. [Google Scholar] [CrossRef]
- Klomkliang, N.; Do, D.D.; Nicholson, D. Effects of temperature, pore dimensions and adsorbate on the transition from pore blocking to cavitation in an ink-bottle pore. Chem. Eng. J. 2014, 239, 274–283. [Google Scholar] [CrossRef]
- Phuong, T.M.; Fan, C.Y.; Do, D.D. On the Cavitation-like Pore Blocking in Ink-Bottle Pore Evolution of Hysteresis Loop with Throat Size. J. Phys. Chem. C 2013, 117, 5475–5484. [Google Scholar]
- Nguyen, P.T.M.; Nicholson, D.; Do, D.D. On the Cavitation and Pore Blocking in Cylindrical Pores with Simple Connectivity. J. Phys. Chem. B 2011, 115, 12160–12172. [Google Scholar] [CrossRef] [PubMed]
- Rasmussen, C.J.; Vishnyakov, A.; Thommes, M.; Smarsly, B.M.; Kleitz, F.; Neimark, A. Cavitation in Metastable Liquid Nitrogen Confined to Nanoscale Pores. Langmuir 2010, 26, 10147–10157. [Google Scholar] [CrossRef]
- Loi, Q.K.; Tan, S.J.; Do, D.D.; Nicholson, D. Lower Closure Point for Nitrogen or Argon Adsorption in Mesoporous Solids: Window-Induced Evaporation or Surface-Induced Cavitation? Ind. Eng. Chem. Res. 2021, 60, 15343–15351. [Google Scholar] [CrossRef]
- Zeng, Y.H.; Fan, C.Y.; Do, D.D.; Nicolson, D. Evaporation from an Ink-Bottle Pore: Mechanisms of Adsorption and Desorption. Ind. Eng. Chem. Res. 2014, 53, 15467–15474. [Google Scholar] [CrossRef]
- Thommes, M.; Kaneko, K.; Neimark, A.V. Physisorption of gases, with special reference to the evaluation of surface area and pore size distribution (IUPAC Technical Report). Pure Appl. Chem. 2015, 87, 1051–1069. [Google Scholar] [CrossRef]
- Ji, L.; Lin, M.; Jiang, W.; Cao, G.; Zhou, J. Investigation into the apparent permeability and gas-bearing property in typical organic pores in shale rocks. Mar. Pet. Geol. 2019, 110, 871–885. [Google Scholar] [CrossRef]
- Cao, G.; Lin, M.; Ji, L.; Jiang, W.; Yang, M. Characterization of pore structures and gas transport characteristics of Longmaxi shale. Fuel 2019, 258, 116146. [Google Scholar] [CrossRef]
- Wu, J.; Yuan, Y.; Niu, S.; Wei, X.; Yang, J. Multiscale characterization of pore structure and connectivity of Wufeng-Longmaxi shale in Sichuan Basin, China. Mar. Pet. Geol. 2020, 120, 104514. [Google Scholar] [CrossRef]
- Sun, X.; Luo, C.; Cao, G.H. Differences of Main Enrichment Factors of S1l11-1 Sublayer Shale Gas in Southern Sichuan Basin. Energies 2021, 14, 5472–5493. [Google Scholar]
- ISO 15901-2:2006; Pore Size Distribution and Porosity of Solid Materials by Mercury Porosimetry and Gas Adsorption—Part 2: Analysis of Mesopores and Macropores by Gas Adsorption. International Organization for Standardization: Geneva, Switzerland, 2006.
- Neimark, A.V.; Lin, Y.; Ravikovitch, P.I. Quenched solid density functional theory and pore size analysis of micro-mesoporous carbons. Carbon 2009, 47, 1617–1628. [Google Scholar] [CrossRef]
- Jagiello, J.; Jaroniec, M. 2D-NLDFT adsorption models for porous oxides with corrugated cylindrical pores. J. Colloid Interface Sci. 2018, 532, 588–597. [Google Scholar] [CrossRef] [PubMed]
- Thommes, M.; Cychosz, K.A. Physical adsorption characterization of nanoporous materials: Progress and challenges. Adsorption 2014, 20, 233–250. [Google Scholar] [CrossRef]
- Eugene, A.U. Effect of crystallization and surface potential on the nitrogen adsorption isotherm on graphite A refined Monte Carlo simulation. Carbon 2016, 100, 52–63. [Google Scholar]
- Ambrose, R.J.; Hartman, R.C.; Diaz-Campos, M.; Akkutlu, I.Y.; Sondergeld, C.H. Shale gas-in-place calculations part I: New pore-scale considerations. SPE J. 2012, 17, 219–229. [Google Scholar] [CrossRef]
- Coasne, B.; Galarneau, A.; Di Renzo, F. Molecular Simulation of Nitrogen Adsorption in Nanoporous Silica. Langmuir 2010, 26, 10872–10881. [Google Scholar] [CrossRef]
- Schreiber, A.; Reinhardt, S.; Findenegg, G.H. The lower closure point of the adsorption hysteresis loop of fluids in mesoporous silica materials. Stud. Surf. Sci. Catal. 2002, 144, 177–184. [Google Scholar]
- Nguyen, P.T.M.; Do, D.D.; Nicholson, D. On the Hysteresis Loop of Argon Adsorption in Cylindrical Pores. J. Phys. Chem. B 2011, 115, 4706–4720. [Google Scholar] [CrossRef]
- Lai, W.; Yang, S.; Jiang, Y.; Zhao, F.; Li, Z.; Zaman, B.; Fayaz, M. Artefact peaks of pore size distributions caused by unclosed sorption isotherm and tensile strength effect. Adsorption 2020, 26, 633–644. [Google Scholar] [CrossRef]
- Halsey, G.D. Physical Adsorption of Gases. J. Am. Chem. Soc. 1969, 235, 1214–1225. [Google Scholar] [CrossRef]
- Suzuki, Y.; Ishida, M.; Hata, K.; Ohba, T. Sequential N2 Adsorption by the Nanopore Entrance Filling Scheme in Nanopores of Carbon Nanotubes. Langmuir 2023, 44, 15431–15440. [Google Scholar] [CrossRef] [PubMed]
- Desouza, A.; Monson, P.A. Modeling fluids confined in three-dimensionally ordered mesoporous carbons. Adsorption 2021, 27, 253–264. [Google Scholar] [CrossRef]
- Schneider, D.; Valiullin, R.; Monson, P.A. Filling Dynamics of Closed End Nanocapillaries. Langmuir 2014, 30, 1290–1294. [Google Scholar] [CrossRef]















| Molecular | ||
|---|---|---|
| C-C | 0.0556 | 0.34 |
| N2-N2 | 0.1892 | 0.375 |
| Pore Diameter (nm) | Pore Length (nm) | RC | Condensation Pressure |
|---|---|---|---|
| 6 | 5 | 0.72 | 0.414 |
| 6 | 10 | 0.8 | 0.497 |
| 6 | 20 | 0.86 | 0.539 |
| 6 | 30 | 0.9 | 0.552 |
| 6 | 50 | 0.92 | 0.564 |
| 7 | 10 | 0.9 | 0.543 |
| 7.5 | 10 | 0.93 | 0.561 |
| 8 | 10 | 0.94 | 0.578 |
| 8.5 | 10 | 0.97 | 0.592 |
| 9 | 10 | 0.99 | 0.606 |
| Pore Type | Diameter (nm) | Length (nm) | RC | Condensation Pressure | Predicted Condensation Pressure | Prediction Error |
|---|---|---|---|---|---|---|
| Slit | 4 | 30 | 0.586 | 0.95 | 0.961 | 0.011 |
| Slit | 4 | 20 | 0.562 | 0.92 | 0.929 | 0.009 |
| Slit | 5 | 10 | 0.562 | 0.93 | 0.929 | −0.001 |
| Slit | 6 | 10 | 0.608 | 0.99 | 0.997 | 0.007 |
| Spherical | 6 | - | 0.433 | 0.72 | 0.731 | 0.011 |
| Spherical | 7 | - | 0.496 | 0.84 | 0.837 | −0.003 |
| Spherical | 8 | - | 0.546 | 0.91 | 0.906 | −0.004 |
| Spherical | 9 | - | 0.588 | 0.97 | 0.968 | −0.002 |
Disclaimer/Publisher’s Note: The statements, opinions and data contained in all publications are solely those of the individual author(s) and contributor(s) and not of MDPI and/or the editor(s). MDPI and/or the editor(s) disclaim responsibility for any injury to people or property resulting from any ideas, methods, instructions or products referred to in the content. |
© 2023 by the authors. Licensee MDPI, Basel, Switzerland. This article is an open access article distributed under the terms and conditions of the Creative Commons Attribution (CC BY) license (https://creativecommons.org/licenses/by/4.0/).
Share and Cite
Chen, Z.; Lin, M.; Jiang, W.; Cao, G. Molecular Simulation of Nitrogen Adsorption in Multidimensional Nanopores and New Insights into the Inversion of Pore Size Distribution for Gas Shale. Energies 2023, 16, 8066. https://doi.org/10.3390/en16248066
Chen Z, Lin M, Jiang W, Cao G. Molecular Simulation of Nitrogen Adsorption in Multidimensional Nanopores and New Insights into the Inversion of Pore Size Distribution for Gas Shale. Energies. 2023; 16(24):8066. https://doi.org/10.3390/en16248066
Chicago/Turabian StyleChen, Zhuo, Mian Lin, Wenbin Jiang, and Gaohui Cao. 2023. "Molecular Simulation of Nitrogen Adsorption in Multidimensional Nanopores and New Insights into the Inversion of Pore Size Distribution for Gas Shale" Energies 16, no. 24: 8066. https://doi.org/10.3390/en16248066
APA StyleChen, Z., Lin, M., Jiang, W., & Cao, G. (2023). Molecular Simulation of Nitrogen Adsorption in Multidimensional Nanopores and New Insights into the Inversion of Pore Size Distribution for Gas Shale. Energies, 16(24), 8066. https://doi.org/10.3390/en16248066

