Design and Comprehensive Analyzes of a Highly Efficient TLA-Type Synchronous Reluctance Machine including the Effects of Conductor per Slot and Wire Size
Abstract
1. Introduction
2. Initial Design Process and Finite Element Analyzes
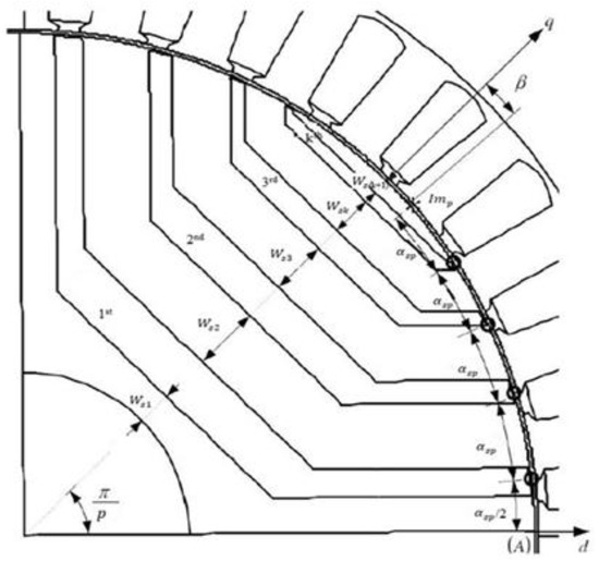
2.1. Effects of Flux Barrier Number
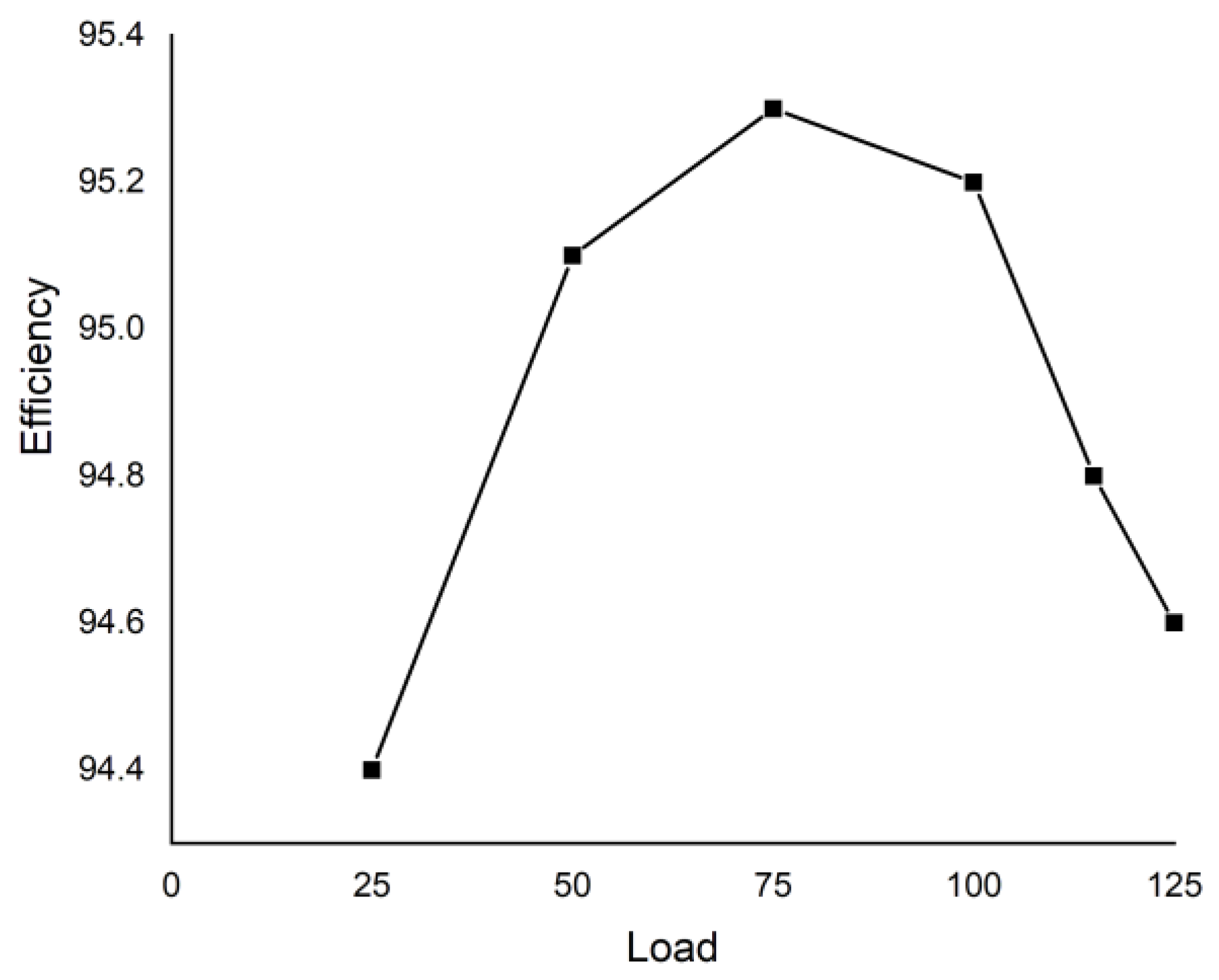
2.2. Effects of Conductor per Slot and Wire Size
2.3. Effect of β Controlling Angle
2.4. Effects of Insulation Ratios
2.5. Effects of Ribs
3. Fine-Tuning
4. Experiment
4.1. Basics of the Experiment
4.2. Tests and Results
4.3. Comparison of FEAs and Experimental Results
5. Conclusions
Author Contributions
Funding
Data Availability Statement
Conflicts of Interest
References
- Almeida, A.T.; Ferreira, F.J.T.E.; Baoming, G. Beyond Induction Motors—Technology Trends to Move up Efficiency. IEEE Trans. Ind. Appl. 2013, 50, 2103–2114. [Google Scholar] [CrossRef]
- Kabir, M.A.; Husain, I. Design of synchronous reluctance motor with multilayer AC winding. In Proceedings of the 2017 IEEE International Electric Machines and Drives Conference (IEMDC), Miami, FL, USA, 21–24 May 2017. [Google Scholar]
- Ozdil, A.; Uzun, Y. Design and Analysis of a Rotor for a 22 kW Transversally Laminated Anisotropic Synchronous Reluctance Motor. Elektron. Ir Elektrotechnika 2021, 27, 17–24. [Google Scholar] [CrossRef]
- Lee, J.; Jung, D.; Lim, J.; Lee, K.; Lee, J. A Study on the Synchronous Reluctance Motor Design for High Torque by Using RSM. IEEE Trans. Magn. 2017, 54, 1. [Google Scholar] [CrossRef]
- Boglietti, A.; Pastorellli, M. Induction and synchronous reluctance motors comparison. In Proceedings of the 2008 34th Annual Conference of IEEE Industrial Electronics, Orlando, FL, USA, 10–13 November 2008. [Google Scholar]
- Panda, S.; Keshri, R.K.; Vidyadharan, A. Design and Fabrication of Synchronous Reluctance Motor for Light Electric Vehicle Applications. In Proceedings of the 2019 IEEE Transportation Electrification Conference (ITEC-India), Bengaluru, India, 19–21 June 2019. [Google Scholar]
- Sankestani, M.M.R.; Siadatan, A. Design of outer rotor synchronous reluctance motor for scooter application. In Proceedings of the 2019 10th International Power Electronics, Drive Systems and Technologies Conference (PEDSTC), Shiraz, Iran, 12–14 February 2019. [Google Scholar]
- Lin, I.; Hsieh, M.; Kuo, H.; Tsai, M. Improved Accuracy for Performance Evaluation of Synchronous Reluctance Motor. IEEE Trans. Magn. 2015, 51, 8113404. [Google Scholar] [CrossRef]
- Lavrinovicha, L.; Dirba, J. Comparison of permanent magnet synchronous motor and synchronous reluctance motor based on their torque per unit volume. In Proceedings of the 2014 Electric Power Quality and Supply Reliability Conference (PQ), Rakvere, Estonia, 11–13 June 2014. [Google Scholar]
- Zakharov, A.V.; Malafeev, S.I.; Dudulin, A.L. Synchronous reluctance motor: Design and experimental research. In Proceedings of the 2018 X International Conference on Electrical Power Drive Systems (ICEPDS), Novocherkassk, Russia, 3–6 October 2018. [Google Scholar]
- Diao, X.; Zhu, H.; Qin, Y.; Hua, Y. Torque Ripple Minimization for Bearingless Synchronous Reluctance Motor. IEEE Trans. Appl. Supercond. 2018, 28, 5205505. [Google Scholar] [CrossRef]
- Hrabovcova, V.; Rafajdus, P.; Lehocky, P.; Makys, P.; Kremen, M. Design of Low Voltage Reluctance Synchronous Motor. In Proceedings of the 2018 International Symposium on Electrical Machines (SME), Andrychow, Poland, 10–13 June 2018. [Google Scholar]
- Nattuthurai, S.; Neelamegham, R. Design and performance evaluation of SynRM and ferrite assisted-SynRM for EV application using FEA. In Proceedings of the 2017 International Conference on Smart Technologies for Smart Nation (SmartTechCon), Bengaluru, India, 17–19 August 2017. [Google Scholar]
- Ma, X.; Li, G.; Zhu, Z.; Jewell, G.W.; Green, J. Investigation on synchronous reluctance machines with different rotor topologies and winding configurations. IET Electr. Power Appl. 2018, 12, 45–53. [Google Scholar] [CrossRef]
- Orlova, S.; Auzins, J.; Pugachov, V.; Rassõlkin, A.; Vaimann, T. Response Surface Method for Optimization of Synchronous Reluctance Motor Rotor. Machines 2022, 10, 897. [Google Scholar] [CrossRef]
- Liang, J.; Dong, Y.; Sun, H.; Liu, R.; Zhu, G. Flux-Barrier Design and Torque Performance Analysis of Synchronous Reluctance Motor with Low Torque Ripple. Appl. Sci. 2022, 12, 3958. [Google Scholar] [CrossRef]
- Chen, Q.; Yan, Y.; Xu, G.; Xu, M.; Liu, G. Principle of Torque Ripple Reduction in Synchronous Reluctance Motors with Shifted Asymmetrical Poles. IEEE J. Emerg. Sel. Top. Power Electron. 2020, 8, 2611–2622. [Google Scholar] [CrossRef]
- Vadde, A.; Sudha, B. Influence of skewing design for reduction of force ripples in DSL-SynRM using 3D FEA. CES Trans. Electr. Mach. Syst. 2019, 3, 397–402. [Google Scholar] [CrossRef]
- Babetto, C.; Bacco, G.; Bianchi, N. Synchronous Reluctance Machine Optimization for High-Speed Applications. IEEE Trans. Energy Convers. 2018, 33, 1266–1273. [Google Scholar] [CrossRef]
- Ibrahim, M.N.F.; Sergeant, P.; Rashad, E. Simple Design Approach for Low Torque Ripple and High Output Torque Synchronous Reluctance Motors. Energies 2016, 9, 942. [Google Scholar] [CrossRef]
- Bacco, G.; Bianchi, N. Design Criteria of Flux-Barriers in Synchronous Reluctance Machines. IEEE Trans. Ind. Appl. 2019, 55, 2490–2498. [Google Scholar] [CrossRef]
- Muteba, M. Influence of Mixed Stator Winding Configurations and Number of Rotor Flux-Barriers on Torque and Torque Ripple of Five-Phase Synchronous Reluctance Motors. In Proceedings of the 2019 IEEE Transportation Electrification Conference and Expo (ITEC), Novi, MI, USA, 19–21 June 2019. [Google Scholar]
- Tawfiq, K.B.; Ibrahim, M.N.; EL-Kholy, E.E.; Sergeant, P. Replacing Stator of Existing Three-Phase Synchronous Reluctance Machines towards Improved Multiphase Machines Performance. In Proceedings of the 2020 International Conference on Electrical Machines (ICEM), Chalmers, Sweden, 11 October 2020. [Google Scholar]
- Ozdil, A. Design, Optimization, and Implementation of 22 kW TLA-Synchronous Reluctance Motor (SynRM) with Increased Efficiency. Ph.D. Thesis, Aksaray University, Aksaray, Turkey, 2022. [Google Scholar]
- Kamper, M.J.; Van der Merwe, F.S.; Williamson, S. Direct finite element design optimisation of the cageless reluctance synchronous machine. IEEE Trans. Energy Convers. 1996, 11, 547–555. [Google Scholar] [CrossRef]
- Moghaddam, R.R. Synchronous Reluctance Machine in Variable Speed Drives Applications. Ph.D. Dissertation, Royal Institute of Technology (KTH), Stockholm, Sweden, 2011. [Google Scholar]
- Vagati, A.; Franceschini, G.; Marongiu, I.; Troglia, G.P. Design criteria of high-performance synchronous reluctance motors. In Proceedings of the Conference Record of the 1992 IEEE Industry Applications Society Annual Meeting, Houston, TX, USA, 4–9 October 1992. [Google Scholar]
- Moghaddam, R.R. Synchronous Reluctance Machine (SynRM) Design. Master’s Thesis, Royal Institute of Technology (KTH), Stockholm, Sweden, 2007. [Google Scholar]
- Masaji, K.; Junja, K.; Koji, K.; Motoya, I.; Matahiro, K. Synchronous Reluctance Motor. Patent No. JP2002199675(A), 12 July 2002. [Google Scholar]
- Mathews, J.H.; Howell, R.W. Complex Analysis for Mathematics and Engineering, 4th ed.; Jones and Bartlett Publishers: Burlington, MA, USA, 2001; ISBN 0-7637-1425-9. [Google Scholar]
- IEC 60034-1:2022; Rotating Electrical Machines—Part 1: Rating and Performance. IEC: Geneva, Switzerland, 2022.
- Akar, M.; Eker, M.; Özsoy, M.; Gercekcioglu, H.S. Efficiency Analysis of Axial Flux SynRM in Variable Speed Applications. Machines 2022, 10, 838. [Google Scholar] [CrossRef]
- Pop-Pîgleşan, F.; Pop, A.-C.; Marțiş, C. Synchronous Reluctance Machines for Automotive Cooling Fan Systems: Numerical and Experimental Study of Different Slot-Pole Combinations and Winding Types. Energies 2021, 14, 460. [Google Scholar] [CrossRef]
- Ibrahim, M.N.; Sergeant, P.; Rashad, E.M. Synchronous Reluctance Motor Performance Based on Different Electrical Steel Grades. IEEE Trans. Magn. 2015, 51, 1–4. [Google Scholar] [CrossRef]











| Parameter | Value |
|---|---|
| Rated power (kW) | 22 |
| Rated voltage (V) | 400 |
| Rated speed (r/min) | 1500 |
| Winding connection | Delta |
| Pole number | 4 |
| Number of stator slots | 36 |
| Rated frequency (Hz) | 50 |
| Stator outer radius (mm) | 142 |
| Stator inner radius (mm) | 91.3 |
| Rotor outer radius (mm) | 90.8 |
| Rotor inner radius (mm) | 31 |
| Airgap length (mm) | 0.5 |
| Stack length (mm) | 270 |
| Stacking factor | 0.95 |
| Barrier Number | Output Torque (N·m) | Torque Ripple (%) | Output Power (W) | Total Loss (W) | Saliency Ratio | Power Factor | Efficiency (%) |
|---|---|---|---|---|---|---|---|
| 1 | 128.6 | 68 | 20,200.44 | 1381.4 | 4.5 | 0.438 | 93.6 |
| 2 | 144.6 | 45.11 | 22,713.71 | 1281.8 | 7.08 | 0.658 | 94.66 |
| 3 | 140.9 | 49.91 | 22,132.52 | 1216.2 | 7.31 | 0.739 | 94.79 |
| 4 | 143.3 | 26.35 | 22,509.51 | 1205.5 | 8.28 | 0.776 | 94.92 |
| 5 | 138.1 | 19.88 | 21,692.69 | 1179.3 | 7.61 | 0.721 | 94.84 |
| Conductor per Slot | Wire Diameter (mm) | Fill Factor (%) | Rotor Position (deg.) | Effective Current (A) | Total Loss (W) | Power Factor | Efficiency (%) |
|---|---|---|---|---|---|---|---|
| 25 | 1 | 59.89 | 55.45 | 31.73 | 1478.6 | 0.692 | 93.7 |
| 26 | 0.98 | 59.82 | 54.95 | 28.14 | 1366.4 | 0.719 | 94.15 |
| 27 | 0.962 | 58.86 | 54.4 | 26.15 | 1297.2 | 0.737 | 94.43 |
| 28 | 0.945 | 59.9 | 53.9 | 24.75 | 1245.3 | 0.751 | 94.63 |
| 29 | 0.928 | 59.83 | 53.35 | 23.93 | 1257.8 | 0.747 | 94.59 |
| 30 | 0.913 | 59.9 | 52.8 | 23.44 | 1294.7 | 0.722 | 94.44 |
| Β Angle (deg.) | Output Torque (N·m) | Torque Ripple (%) | Effective Current (A) | Total Loss (W) | Saliency Ratio | Power Factor | Efficiency (%) |
|---|---|---|---|---|---|---|---|
| 7 | 156.5 | 23 | 25.29 | 1265.7 | 8.49 | 0.816 | 95.1 |
| 8 | 154 | 24.91 | 25.23 | 1263.2 | 8.46 | 0.818 | 95.04 |
| 9 | 144.5 | 15.33 | 24.32 | 1221.5 | 8.43 | 0.789 | 94.89 |
| 10 | 140.9 | 11.91 | 23.87 | 1202.4 | 8.35 | 0.766 | 94.85 |
| 11 | 139.8 | 11.13 | 23.65 | 1195.7 | 8.26 | 0.746 | 94.84 |
| 12 | 135.5 | 12.56 | 23.24 | 1181 | 8.18 | 0.705 | 94.74 |
| 13 | 137.6 | 16.76 | 23.35 | 1189.5 | 8.12 | 0.716 | 94.78 |
| 14 | 136 | 19.84 | 23.12 | 1182.4 | 8.08 | 0.701 |
| Insulation Ratio in q-Axis | Output Torque (N·m) | Torque Ripple (%) | Effective Current (A) | Total Loss (W) | Saliency Ratio | Power Factor | Efficiency (%) |
|---|---|---|---|---|---|---|---|
| 0.65 | 132.8 | 12.99 | 22.82 | 1166.4 | 7.61 | 0.692 | 94.7 |
| 0.66 | 136.5 | 12.7 | 23.16 | 1179.7 | 8.2 | 0.724 | 94.78 |
| 0.67 | 137.2 | 12.26 | 23.26 | 1182.8 | 8.22 | 0.729 | 94.8 |
| 0.68 | 134.5 | 11.66 | 23.07 | 1173 | 8.23 | 0.709 | 94.74 |
| 0.69 | 139.2 | 11.46 | 23.56 | 1192.8 | 8.24 | 0.741 | 94.83 |
| 0.7 | 139.8 | 11.13 | 23.65 | 1195.7 | 8.26 | 0.746 | 94.84 |
| 0.71 | 137.8 | 10.88 | 23.54 | 1189.3 | 8.29 | 0.731 | 94.79 |
| 0.72 | 143 | 11.06 | 24.09 | 1213.1 | 8.34 | 0.766 | 94.88 |
| 0.73 | 145.1 | 10.99 | 24.39 | 1226.3 | 8.36 | 0.776 | 94.89 |
| 0.74 | 147.8 | 11.16 | 24.77 | 1244.1 | 8.39 | 0.789 | 94.91 |
| 0.75 | 152.1 | 12.44 | 25.41 | 1275.1 | 8.42 | 0.805 | 94.93 |
| Insulation Ratio in d-Axis | Output Torque (N·m) | Torque Ripple (%) | Effective Current (A) | Total Loss (W) | Saliency Ratio | Power Factor | Efficiency (%) |
|---|---|---|---|---|---|---|---|
| 0.3 | 154.8 | 16.67 | 25.15 | 1267.9 | 8.12 | 0.821 | 95.04 |
| 0.32 | 142.4 | 11.41 | 23.98 | 1209.8 | 8.24 | 0.781 | 94.87 |
| 0.34 | 140.3 | 11.26 | 23.7 | 1196.9 | 8.26 | 0.756 | 94.85 |
| 0.36 | 139.8 | 11.13 | 23.65 | 1195.7 | 8.26 | 0.746 | 94.84 |
| 0.38 | 140.5 | 11.3 | 23.75 | 1201.2 | 8.27 | 0.741 | 94.83 |
| 0.4 | 140.4 | 11.53 | 23.76 | 1204.4 | 8.29 | 0.728 | 94.82 |
| Radial Rib Width (mm) | Output Torque (N·m) | Torque Ripple (%) | Effective Current (A) | Total Loss (W) | Saliency Ratio | Power Factor | Efficiency (%) |
|---|---|---|---|---|---|---|---|
| 0.8 | 140 | 11.05 | 23.92 | 1201.2 | 8.31 | 0.737 | 94.82 |
| 0.88 | 142.1 | 11.23 | 23.94 | 1207.5 | 8.29 | 0.758 | 94.87 |
| 0.96 | 140.9 | 11.25 | 23.79 | 1200.6 | 8.27 | 0.757 | 94.85 |
| 1 | 140.3 | 11.26 | 23.7 | 1196.9 | 8.26 | 0.756 | 94.85 |
| 1.04 | 139.8 | 11.25 | 23.64 | 1194 | 8.24 | 0.755 | 94.84 |
| 1.12 | 135.1 | 11.11 | 23.17 | 1173.5 | 8.22 | 0.732 | 94.76 |
| 1.2 | 137.5 | 11.29 | 23.33 | 1180.8 | 8.2 | 0.754 | 94.82 |
| 1.4 | 133.9 | 11.39 | 22.86 | 1161.8 | 8.16 | 0.740 | 94.77 |
| 1.6 | 127.3 | 11.34 | 22.14 | 1131.6 | 8.11 | 0.712 | 94.64 |
| 2 | 121.3 | 11.36 | 21.36 | 1100.3 | 8.03 | 0.704 | 94.54 |
| Tangential Rib Width (mm) | Output Torque (N·m) | Torque Ripple (%) | Effective Current (A) | Total Loss (W) | Saliency Ratio | Power Factor | Efficiency (%) |
|---|---|---|---|---|---|---|---|
| 0.8 | 147.7 | 11.31 | 24.7 | 1241.7 | 8.33 | 0.764 | 94.9 |
| 1 | 140.3 | 11.26 | 23.7 | 1196.9 | 8.26 | 0.756 | 94.85 |
| 1.2 | 133.9 | 11.04 | 22.86 | 1160.6 | 8.18 | 0.748 | 94.77 |
| 1.4 | 124.2 | 11.02 | 21.75 | 1114.2 | 7.5 | 0.718 | 94.6 |
| 1.6 | 118.9 | 11.29 | 21.06 | 1086.7 | 7.4 | 0.71 | 94.5 |
| Performance Parameters | Initial Design | Fine-Tuned SynRM |
|---|---|---|
| Output torque (N·m) | 140.3 | 140.8 |
| Torque ripple (%) | 11.26 | 13.72 |
| Saliency ratio | 8.26 | 9.06 |
| Efficiency (%) | 94.85 | 95.14 |
| Total loss (W) | 1196.9 | 1131 |
| Power factor | 0.756 | 0.774 |
| Parameter | Value |
|---|---|
| Rated voltage (V) | 400 |
| Rated current (A) | 42.7 |
| Rated speed (r/min) | 1500 |
| Temperature (°C) | 48.1 |
| Output torque (N·m) | 140.5 |
| Torque ripple (%) | 1.5 |
| Input power (W) | 23,191 |
| Output power (W) | 22,077 |
| Total loss(W) | 1114 |
| Voltage harmonic (%) | 4.98 |
| Current harmonic (%) | 2.97 |
| Power factor | 0.784 |
| Efficiency (%) | 95.2 |
| Machine Type | Speed (r/min) | Output Torque (N·m) | Torque Ripple (%) | Total Loss (W) | Saliency Ratio | Power Factor | Efficiency (%) |
|---|---|---|---|---|---|---|---|
| Existing IM | 1480 | 137.55 | 17.43 | 1844.9 | - | 0.809 | 92.13 |
| Initial SynRM | 1500 | 140.3 | 11.26 | 1196.9 | 8.26 | 0.756 | 94.85 |
| Fine-tuned SynRM | 1500 | 140.8 | 13.72 | 1131 | 9.06 | 0.774 | 95.14 |
| Manufactured SynRM | 1500 | 140.5 | 1.5 | 1114 | - | 0.784 | 95.2 |
Disclaimer/Publisher’s Note: The statements, opinions and data contained in all publications are solely those of the individual author(s) and contributor(s) and not of MDPI and/or the editor(s). MDPI and/or the editor(s) disclaim responsibility for any injury to people or property resulting from any ideas, methods, instructions or products referred to in the content. |
© 2023 by the authors. Licensee MDPI, Basel, Switzerland. This article is an open access article distributed under the terms and conditions of the Creative Commons Attribution (CC BY) license (https://creativecommons.org/licenses/by/4.0/).
Share and Cite
Ozdil, A.; Uzun, Y. Design and Comprehensive Analyzes of a Highly Efficient TLA-Type Synchronous Reluctance Machine including the Effects of Conductor per Slot and Wire Size. Energies 2023, 16, 724. https://doi.org/10.3390/en16020724
Ozdil A, Uzun Y. Design and Comprehensive Analyzes of a Highly Efficient TLA-Type Synchronous Reluctance Machine including the Effects of Conductor per Slot and Wire Size. Energies. 2023; 16(2):724. https://doi.org/10.3390/en16020724
Chicago/Turabian StyleOzdil, Ali, and Yunus Uzun. 2023. "Design and Comprehensive Analyzes of a Highly Efficient TLA-Type Synchronous Reluctance Machine including the Effects of Conductor per Slot and Wire Size" Energies 16, no. 2: 724. https://doi.org/10.3390/en16020724
APA StyleOzdil, A., & Uzun, Y. (2023). Design and Comprehensive Analyzes of a Highly Efficient TLA-Type Synchronous Reluctance Machine including the Effects of Conductor per Slot and Wire Size. Energies, 16(2), 724. https://doi.org/10.3390/en16020724

