Ensemble Machine Learning for Predicting the Power Output from Different Solar Photovoltaic Systems
Abstract
1. Introduction
2. Ensemble Machine Learning Methods
2.1. Gradient Boosting Machine
2.2. Random Forest
3. Development of the Models
3.1. Data Description
3.2. Data Pre-Processing and Feature Selection
3.3. Model Features and Validation
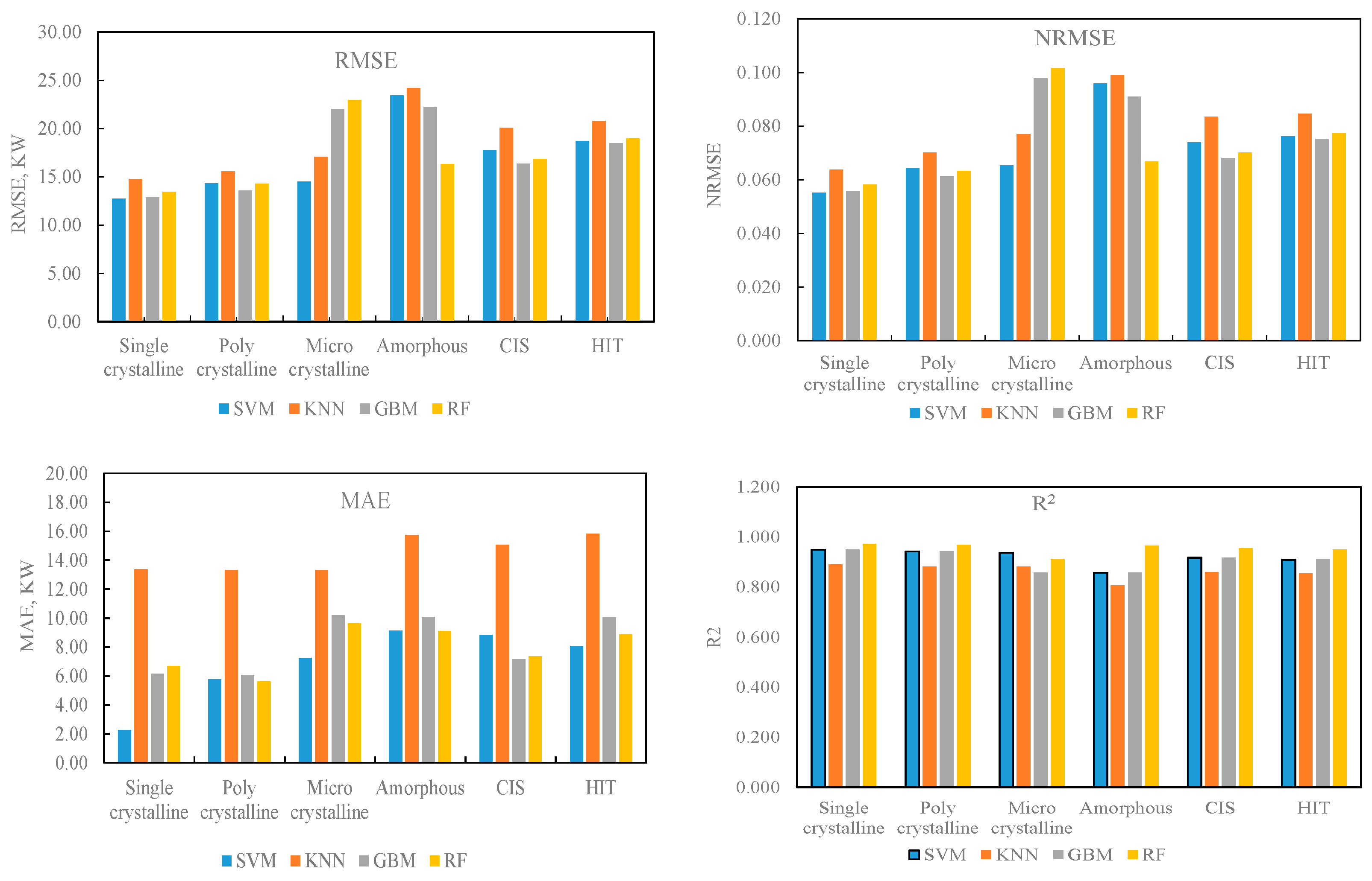
4. Performance of the Models
5. Conclusions
Author Contributions
Funding
Data Availability Statement
Acknowledgments
Conflicts of Interest
References
- Ahmad, M.; Mourshed, M.; Rezgui, Y. Tree-based ensemble methods for predicting PV power generation and their comparison with support vector regression. Energy 2018, 164, 465–474. [Google Scholar] [CrossRef]
- PV Magazine. Available online: https://www.pv-magazine.com/2022/02/01/bloombergnef-says-global-solar-will-cross-200-gw-mark-for-first-time-this-year-expects-lower-panel-prices (accessed on 22 October 2022).
- Yassin, H.; Raj, V.; Mathew, S.; Petra, M.I. Machine-learned models for the performance of six different solar PV technologies under the tropical environment. In Proceedings of the 2020 IEEE Asia-Pacific Conference on Computer Science and Data Engineering (CSDE), Gold Coast, Australia, 16–18 December 2020; pp. 1–6. [Google Scholar]
- Comello, S.; Reichelstein, S.; Sahoo, A. The road ahead for solar PV power (in English). Renew. Sustain. Energy Rev. 2018, 92, 744–756. [Google Scholar] [CrossRef]
- Das, U.K.; Tey, K.S.; Seyedmahmoudian, M.; Mekhilef, S.; Idris, M.Y.I.; Van Deventer, W.; Horan, B.; Stojcevski, A. Forecasting of photovoltaic power generation and model optimization: A review (in English). Renew. Sustain. Energy Rev. 2018, 81, 912–928. [Google Scholar] [CrossRef]
- Antonanzas, J.; Osorio, N.; Escobar, R.; Urraca, R.; de Pison, F.M.; Antonanzas-Torres, F. Review of photovoltaic power forecasting. Solar Energy 2016, 136, 78–111. [Google Scholar] [CrossRef]
- Touati, F.; Al-Hitmi, M.; Alam Chowdhury, N.; Abu Hamad, J.; Gonzales, A.J.S.P. Investigation of solar PV performance under Doha weather using a customized measurement and monitoring system. Renew. Energy 2016, 89, 564–577. [Google Scholar] [CrossRef]
- Ahmad, N.; Khandakar, A.; El-Tayeb, A.; Benhmed, K.; Iqbal, A.; Touati, F. Novel Design for Thermal Management of PV Cells in Harsh Environmental Conditions. Energies 2018, 11, 3231. [Google Scholar] [CrossRef]
- Ennaoui, A.; Figgis, B.; Plaza, D.M. Outdoor Testing in Qatar of PV Performance, Reliability and Safety. In Proceedings of the Qatar Foundation Annual Research Conference Proceedings; HBKU Press Qatar; Doha, Qatar, 2016. [Google Scholar]
- Rana, M.; Koprinska, I.; Agelidis, V.G. 2D-interval forecasts for solar power production. Sol. Energy 2015, 122, 191–203. [Google Scholar] [CrossRef]
- Zeng, J.; Qiao, W. Short-term solar power prediction using a support vector machine. Renew. Energy 2013, 52, 118–127. [Google Scholar] [CrossRef]
- Pedro, H.T.C.; Coimbra, C.F.M. Assessment of forecasting techniques for solar power production with no exogenous inputs. Sol. Energy 2012, 86, 2017–2028. [Google Scholar] [CrossRef]
- Shakya, A.; Michael, S.; Saunders, C.; Armstrong, D.; Pandey, P.; Chalise, S.; Tonkoski, R. Using Markov Switching Model for solar irradiance forecasting in remote microgrids. In Proceedings of the 2016 IEEE Energy Conversion Congress and Exposition, Milwaukee, WI, USA, 18–22 September 2016; pp. 895–905. [Google Scholar]
- Wang, F.; Mi, Z.; Su, S.; Zhao, H. Short-Term Solar Irradiance Forecasting Model Based on Artificial Neural Network Using Statistical Feature Parameters. Energies 2012, 5, 1355–1370. [Google Scholar] [CrossRef]
- Maier, H.R.; Dandy, G.C. Neural networks for the prediction and forecasting of water resources variables: A review of modelling issues and applications. Environ. Model Softw. 2000, 15, 101–124. [Google Scholar] [CrossRef]
- Jawaid, F.; NazirJunejo, K. Predicting daily mean solar power using machine learning regression techniques. In Proceedings of the 2016 Sixth International Conference on Innovative Computing Technology (INTECH), Dublin, Ireland, 24–26 August 2016. [Google Scholar]
- Moosa, A.; Shabir, H.; Ali, H.; Darwade, R.; Gite, B. Predicting Solar Radiation Using Machine Learning Techniques. In Proceedings of the 2018 Second International Conference on Intelligent Computing and Control Systems (ICICCS), Madurai, India, 14–15 June 2018. [Google Scholar]
- Sheng, H.; Xiao, J.; Cheng, Y.; Ni, Q.; Wang, S. Short-term solar power forecasting based on weighted Gaussian process regression. IEEE Trans. Ind. Electron. 2018, 65, 300–308. [Google Scholar] [CrossRef]
- Omar, M.; Dolara, A.; Magistrati, G.; Mussetta, M.; Ogliari, E.; Viola, F. Day-ahead forecasting for photovoltaic power using artificial neural networks ensembles. In Proceedings of the 2016 IEEE International Conference on Renewable Energy Research and Applications (ICRERA), Birmingham, UK, 20–23 November 2016; pp. 1152–1157. [Google Scholar]
- Tayal, D. Achieving high renewable energy penetration in Western Australia using data digitization and machine learning. Renew. Sustain. Energy Rev. 2017, 80, 1537–1543. [Google Scholar] [CrossRef]
- Behera, M.K.; Majumder, I.; Nayak, N. Solar photovoltaic power forecasting using optimized modified extreme learning machine technique. Eng. Sci. Technol. Int. J. 2018, 21, 428–438. [Google Scholar] [CrossRef]
- Chen, B.; Lin, P.; Lai, Y.; Cheng, S.; Chen, Z.; Wu, L. Very-Short-Term Power Prediction for PV Power Plants Using a Simple and Effective RCC-LSTM Model Based on Short Term Multivariate Historical Datasets. Electronics 2020, 9, 289. [Google Scholar] [CrossRef]
- Wang, F.; Zhen, Z.; Wang, B.; Mi, Z. Comparative Study on KNN and SVM Based Weather Classification. Appl. Sci. 2017, 8, 28. [Google Scholar] [CrossRef]
- Ahmed, R.; Sreeram, V.; Mishra, Y.; Arif, M.D. A review and evaluation of the state-of-the-art in PV solar power forecasting: Techniques and optimization. Renew. Sustain. Energy Rev. 2020, 124, 109792. [Google Scholar] [CrossRef]
- Ibrahim, I.A.; Khatib, T.; Mohamed, A.; Elmenreich, W. Modeling of the output current of a photovoltaic grid-connected system using random forests technique. Energy Explor. Exploit. 2018, 36, 132–148. [Google Scholar] [CrossRef]
- Wang, J.; Li, P.; Ran, R.; Che, Y.; Zhou, Y. A Short-Term Photovoltaic Power Prediction Model Based on the Gradient Boost Decision Tree. Appl. Sci. 2018, 8, 689. [Google Scholar] [CrossRef]
- Persson, C.; Bacher, P.; Shiga, T.; Madsen, H. Multi-site solar power forecasting using gradient boosted regression trees. Sol. Energy 2017, 150, 423–436. [Google Scholar] [CrossRef]
- Meng, M.; Song, C. Daily photovoltaic power generation forecasting model based on random forest algorithm for north China in winter. Sustainability 2020, 12, 2247. [Google Scholar] [CrossRef]
- Inman, R.H.; Pedro, H.T.; Coimbra, C.F. Solar forecasting methods for renewable energy integration. Prog. Energy Combust. Sci. 2013, 39, 535–576. [Google Scholar] [CrossRef]
- Ayyadevara, V.K. Gradient Boosting Machine. In Pro Machine Learning Algorithms; Apress: Berkeley, CA, USA, 2018; pp. 117–134. [Google Scholar]
- Mohammad-Reza, M.; Hadavimoghaddam, F.; Pourmahdi, M.; Atashrouz, S.; Munir, M.T.; Hemmati-Sarapardeh, A.; Mosavi, A.H. Modeling hydrogen solubility in hydrocarbons using extreme gradient boosting and equations of state. Sci. Rep. 2021, 11, 17911. [Google Scholar] [CrossRef] [PubMed]
- Breiman, L. Random forests. Mach. Learn. 2001, 45, 5–32. [Google Scholar] [CrossRef]
- Breiman, L.; Friedman, J.H.; Ohlsen, R.A.; Stone, C.J. Classification and Regression Trees; Brooks/Cole Publishing: Monterey, CA, USA, 1984. [Google Scholar]
- Brence, M.J.R.; Brown, D.E. Improving the Robust Random Forest Regression Algorithm; Systems and Information Engineering Technical Papers; Department of Systems and Information Engineering, University of Virgina: Charlottesville, VA, USA, 2006. [Google Scholar]
- Ho, T.K. Random decision forests. In Proceedings of the Third International Conference on Document Analysis and Recognition, Montreal, QC, Canada, 14–16 August 1995; Volume 1, pp. 278–282. [Google Scholar]
- Poggi, J.M.; Portier, B. PM10 forecasting using clusterwise regression. Atmos. Environ. 2011, 45, 7005–7014. [Google Scholar] [CrossRef]
- Liaw, A.; Wiener, M. Classification and regression by randomForest. R News 2002, 2, 18–22. [Google Scholar]
- Abdi, H.; Williams, L.J. Principal component analysis. Wiley Interdiscip. Rev. Comput. Stat. 2010, 2, 433–459. [Google Scholar] [CrossRef]
- Kim, J.O.; Mueller, C.W. Introduction to Factor Analysis: What It Is and How to Do It (No. 13); Sage Publication: Newburry park, CA, USA, 1978. [Google Scholar]
- Statheropoulos, M.; Vassiliadis, N.; Pappa, A. Principal component and canonical correlation analysis for examining air pollution and meteorological data. Atmos. Environ. 1998, 32, 1087–1095. [Google Scholar] [CrossRef]












| Module Type | Power Output per Module (W) | Efficiency at STC (%) | No. of Modules | Area (m2) |
|---|---|---|---|---|
| Single crystalline | 180 | 14.1 | 1116 | 1462 |
| Polycrystalline | 185 | 13.4 | 1098 | 1518 |
| Microcrystalline | 130 | 8.2 | 1540 | 2426 |
| Amorphous | 100 | 6.3 | 2000 | 3150 |
| CIS | 80 | 8.9 | 2500 | 1979 |
| HIT | 205 | 16 | 980 | 1257 |
Disclaimer/Publisher’s Note: The statements, opinions and data contained in all publications are solely those of the individual author(s) and contributor(s) and not of MDPI and/or the editor(s). MDPI and/or the editor(s) disclaim responsibility for any injury to people or property resulting from any ideas, methods, instructions or products referred to in the content. |
© 2023 by the authors. Licensee MDPI, Basel, Switzerland. This article is an open access article distributed under the terms and conditions of the Creative Commons Attribution (CC BY) license (https://creativecommons.org/licenses/by/4.0/).
Share and Cite
Raj, V.; Dotse, S.-Q.; Sathyajith, M.; Petra, M.I.; Yassin, H. Ensemble Machine Learning for Predicting the Power Output from Different Solar Photovoltaic Systems. Energies 2023, 16, 671. https://doi.org/10.3390/en16020671
Raj V, Dotse S-Q, Sathyajith M, Petra MI, Yassin H. Ensemble Machine Learning for Predicting the Power Output from Different Solar Photovoltaic Systems. Energies. 2023; 16(2):671. https://doi.org/10.3390/en16020671
Chicago/Turabian StyleRaj, Veena, Sam-Quarcoo Dotse, Mathew Sathyajith, M. I. Petra, and Hayati Yassin. 2023. "Ensemble Machine Learning for Predicting the Power Output from Different Solar Photovoltaic Systems" Energies 16, no. 2: 671. https://doi.org/10.3390/en16020671
APA StyleRaj, V., Dotse, S.-Q., Sathyajith, M., Petra, M. I., & Yassin, H. (2023). Ensemble Machine Learning for Predicting the Power Output from Different Solar Photovoltaic Systems. Energies, 16(2), 671. https://doi.org/10.3390/en16020671

