Numerical Investigation on the Thrust Vectoring Performance of Bypass Dual Throat Nozzle
Abstract
1. Introduction
2. Proposed Nozzle Configuration
FTV Performance Parameters Considered
3. Computational Method
3.1. Governing Equation
3.2. Boundary Conditions
3.3. Grid Independence Test
3.4. Computational Validation
4. Results and Discussion
4.1. Effect of Bypass Angle and Bypass Width
4.1.1. BDTN Performance under Different NPR
4.1.2. BDTN Performance under Different Bypass Width
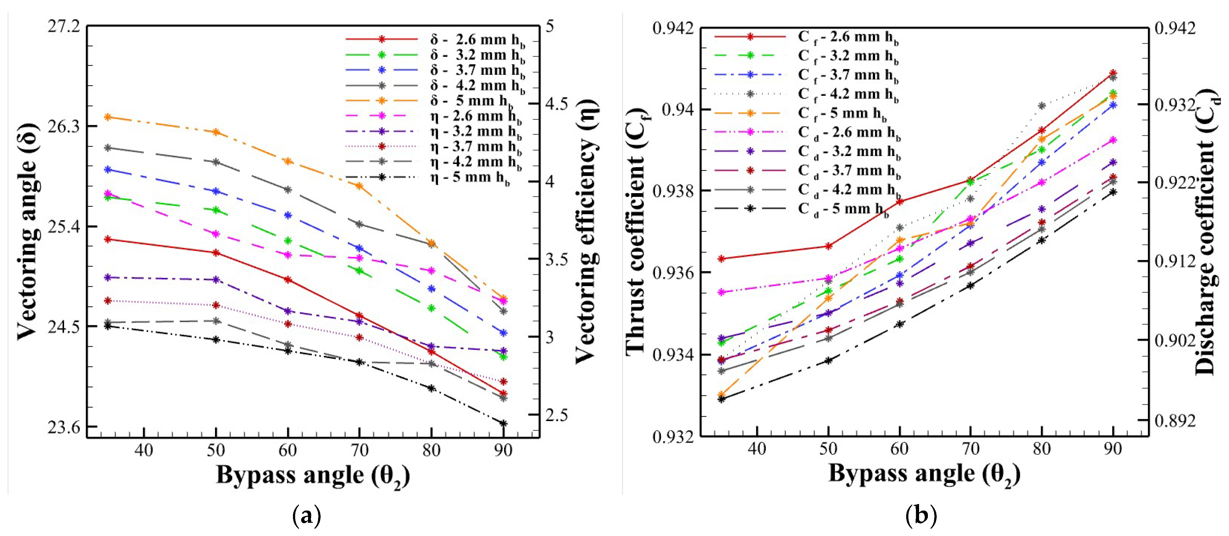
4.1.3. Combined Effect of Bypass Width and Bypass Angle
4.2. Effect of Nozzle Convergence Angle and Bypass Width
4.2.1. BDTN Performance under Different NPR
4.2.2. BDTN Performance under Different Bypass Width
4.2.3. Combined Effect of Bypass Width and Nozzle Convergence Angle
5. Conclusions
- NPR significantly affects the thrust vectoring performance of BDTN. As NPR increases, the squeezing effect of the vortex in the cavity reduces, which reduces the supersonic region within the nozzle. Because the vortex size and supersonic region are reduced, BDTN has a lower thrust vectoring performance.
- As bypass width influences vectoring angle, increasing bypass width increases the vectoring angle due to increased mass flow. However, a reduction in vectoring efficiency, thrust, and discharge coefficient is obtained to reach a higher vectoring angle. It is found that a bypass width of 3.7 mm is an optimal choice for effective vectoring performance.
- The bypass angle is an important factor in generating effective vectoring angles. Increasing the bypass angle and decreasing the bypass width resulted in an increase in the thrust and discharge coefficient and a decrease in vectoring angle. Optimal vectoring performance is achieved with a bypass angle of 35°.
- BDTN’s performance is not significantly affected by nozzle convergence angle. An increase of 1.5% in vectoring performance is obtained with increasing convergence angle. Increasing the convergence angle and bypass width increases the vectoring angle while decreases the vectoring efficiency, thrust, and discharge coefficient of the nozzle.
Author Contributions
Funding
Institutional Review Board Statement
Informed Consent Statement
Data Availability Statement
Conflicts of Interest
Nomenclature
| δ | Thrust vectoring angle |
| Primary mass flow | |
| Discharge coefficient | |
| Thrust coefficient | |
| η | Thrust vectoring efficiency |
| Axial force | |
| Normal force | |
| Side force | |
| Stagnation pressure | |
| Exit pressure | |
| Static Pressure | |
| Total pressure | |
| Stagnation temperature | |
| Total temperature | |
| FTV | Fluidic thrust vectoring |
| MTV | Mechanical thrust vectoring |
| BDTN | Bypass dual throat |
| DTN | Dual throat nozzle |
| NPR | Nozzle pressure ratio |
| SVC | Shock vector control |
| TSC | Throat skewing control |
| CFTV | Counter flow thrust vectoring |
| RNG | Renormalization group |
| SPR | Secondary pressure ratio |
References
- Ross, H.; Huber, P. Application of thrust vectoring to future aircraft design. In Proceedings of the Advanced Aero-Engine Concepts and Controls, Seattle, WA, USA, 25–29 September 1995; 21/1–21/10. Deutsche Aerospace AG: Seattle, WA, USA. [Google Scholar]
- Herbst, W. Future fighter technologies. J. Aircr. 1980, 17, 561–566. [Google Scholar] [CrossRef]
- Mace, J.; Smereczniak, P.; Krekeler, G.; Bowers, D.; Maclean, M. Advanced thrust vectoring nozzles for supercruise fighter aircraft. In Proceedings of the 25th Joint Propulsion Conference, Monterey, CA, USA, 12–16 July 1989. [Google Scholar] [CrossRef]
- Forghany, F.; Taeibe-Rahni, M.; Asadollahi-Ghohieh, A.; Banazdeh, A. Numerical investigation of injection angle effects on shock vector control performance. Proc. Inst. Mech. Eng. Part G J. Aerosp. Eng. 2017, 233, 405–417. [Google Scholar] [CrossRef]
- Li, L.; Saito, T. Numerical and Experimental Investigations of Fluidic Thrust Vectoring Mechanism. Int. J. Aerosp. Innov. 2012, 4, 53–64. [Google Scholar] [CrossRef]
- Ferlauto, M.; Marsilio, R. Computational Investigation of Injection Effects on Shock Vector Control Performance. In Proceedings of the 2018 Joint Propulsion Conference, Cincinnati, OH, USA, 9–11 July 2018. [Google Scholar] [CrossRef]
- Deng, R.; Kong, F.; Kim, H.D. Numerical simulation of fluidic thrust vectoring in an axisymmetric supersonic nozzle. J. Mech. Sci. Technol. 2014, 28, 4979–4987. [Google Scholar] [CrossRef]
- Spaid, F.W.; Zukoski, E.E. A study of the interaction of gaseous jets from transverse slots with supersonic external flows. AIAA J. 1968, 6, 205–212. [Google Scholar] [CrossRef]
- Guhse, R.D. On secondary gas injection in supersonic nozzles. J. Spacecr. Rocket. 1966, 3, 147–149. [Google Scholar] [CrossRef]
- Shi, J.W.; Wang, Z.X.; Zhou, L. Numerical Investigation on Flow Fields of SVC Nozzle with Bypass Injection. J. Phys. Conf. Ser. 2019, 1215, 012038. [Google Scholar] [CrossRef]
- Islam, M.S.; Hasan, M.A.; Hasan, A.T. An analysis of thrust vectoring in a supersonic nozzle using bypass mass injection. AIP Conf. Proc. 2018, 1980, 040014. [Google Scholar]
- Nafi, M.A.; Hasan, A.B.M.T. 3D computational study of thrust vectoring using bypass mass injection in a propulsion nozzle. AIP Conf. Proc. 2019, 2121, 050013. [Google Scholar] [CrossRef]
- Li, L.; Hirota, M.; Ouchi, K.; Saito, T. Evaluation of fluidic thrust vectoring nozzle via thrust pitching angle and thrust pitching moment. Shock. Waves 2016, 27, 53–61. [Google Scholar] [CrossRef]
- Deng, R.; Kim, H.D. A study on the thrust vector control using a bypass flow passage. Proc. Inst. Mech. Eng. Part G. J. Aerosp. Eng. 2015, 229, 1722–1729. [Google Scholar] [CrossRef]
- Viti, V.; Neel, R.; Schetz, J.A. Detailed flow physics of the supersonic jet interaction flow field. Phys. Fluids 2009, 21, 046101. [Google Scholar] [CrossRef]
- AlAsadi, A.A.H.; Faseeh, A.H. Fluidics jet vectoring for incompressible flow by using counter flow method for circular duct. Al-Nahrain J. Eng. Sci. 2017, 20, 911–923. [Google Scholar]
- Wu, K.; Zhang, G.; Kim, T.H.; Kim, H.D. Numerical parametric study on three-dimensional rectangular counter-flow thrust vectoring control. Proc. Inst. Mech. Eng. Part G J. Aerosp. Eng. 2020, 234, 2221–2247. [Google Scholar] [CrossRef]
- Wu, K.; Kim, H.D.; Jin, Y. Fluidic thrust vector control based on counter-flow concept. Proc. Inst. Mech. Eng. Part G J. Aerosp. Eng. 2019, 233, 1412–1422. [Google Scholar] [CrossRef]
- Jun, L.; Wei, L.; Yuncheng, W.; Yonglei, Z. Improved design and performance analysis of counterflow thrust vectoring technology under high subsonic. J. Intell. Fuzzy Syst. 2018, 34, 1213–1223. [Google Scholar] [CrossRef]
- Banazadeh, A.; Saghafi, F.; Ghoreyshi, M.; Pilidis, P. Experimental and computational investigation into the use of co-flow fluidic thrust vectoring on a small gas turbine. Aeronaut. J. 2008, 112, 17–25. [Google Scholar] [CrossRef]
- Al-Asady, A.A.A.; Abdullah, A.M. Fluidics thrust vectoring using co-flow method. Al-Nahrain J. Eng. Sci. 2017, 20, 5–18. [Google Scholar]
- Mason, M.; Crowther, W. Fluidic Thrust Vectoring for Low Observable Air Vehicles. In Proceedings of the 2nd AIAA Flow Control Conference, Portland, OR, USA, 28 June–1 July 2004. [Google Scholar] [CrossRef]
- Chiarelli, C.; Johnsen, R.; Shieh, C.; Wing, D. Fluidic scale model multi-plane thrust vector control test results. In Proceedings of the 29th Joint Propulsion Conference and Exhibit, Monterey, CA, USA, 28–30 June 1993. [Google Scholar] [CrossRef]
- Wu, K.; Jin, Y.; Kim, H.D. Hysteretic Behaviors in Counter-Flow Thrust Vector Control. J. Aerosp. Eng. 2019, 32, 1–9. [Google Scholar] [CrossRef]
- Banazadeh, A.; Saghafi, F. An investigation of empirical formulation and design optimisation of co-flow fluidic thrust vectoring nozzles. Aeronaut. J. 2016, 121, 213–236. [Google Scholar] [CrossRef]
- Yagle, P.J.; Miller, D.N.; Ginn, K.B.; Hamstra, J.W. Demonstration of Fluidic Throat Skewing for Thrust Vectoring in Structurally Fixed Nozzles. J. Eng. Gas Turbines Power 2001, 123, 502–507. [Google Scholar] [CrossRef]
- Wing, D.J. Static Performance Investigation of a Skewed-Throat Multiaxis Thrust-Vectoring Nozzle Concept; National Aeronautics and Space Administration, Langley Research Center: Hampton, VA, USA, 1994; Volume 3411. [Google Scholar]
- Ali, A.; Rodriguez, C.; Neely, A.; Young, J. Combination of Fluidic Thrust Modulation and Vectoring in a 2D Nozzle. In Proceedings of the 48th AIAA/ASME/SAE/ASEE Joint Propulsion Conference & Exhibit, Atlanta, GA, USA, 30 July–1 August 2012. [Google Scholar] [CrossRef]
- Williams, R.; Vittal, B. Fluidic thrust vectoring and throat control exhaust nozzle. In Proceedings of the 38th AIAA/ASME/SAE/ASEE Joint Propulsion Conference & Exhibit, Indianapolis, IN, USA, 7–10 July 2002; p. 4060. [Google Scholar]
- Miller, D.; Yagle, P.; Hamstra, J. Fluidic throat skewing for thrust vectoring in fixed-geometry nozzles. In Proceedings of the 37th Aerospace Sciences Meeting and Exhibit, Reno, NV, USA, 11–14 January 1999. [Google Scholar] [CrossRef]
- Wu, K.; Kim, T.; Kim, H. Numerical study of fluidic thrust vector control using dual throat nozzle. J. Appl. Fluid Mech. 2021, 14, 73–87. [Google Scholar]
- Shin, C.S.; Kim, H.; Setoguchi, T.; Matsuo, S. A computational study of thrust vectoring control using dual throat nozzle. J. Therm. Sci. 2010, 19, 486–490. [Google Scholar] [CrossRef]
- Deere, K.; Berrier, B.; Flamm, J.; Johnson, S. Computational Study of Fluidic Thrust Vectoring Using Separation Control in a Nozzle. In Proceedings of the 21st AIAA Applied Aerodynamics Conference, Orlando, FL, USA, 23–26 June 2003. [Google Scholar] [CrossRef]
- Deere, K.; Berrier, B.; Flamm, J.; Johnson, S. A Computational Study of a Dual Throat Fluidic Thrust Vectoring Nozzle Concept. In Proceedings of the 41st AIAA/ASME/SAE/ASEE Joint Propulsion Conference & Exhibit, Tucson, AZ, USA, 10–13 July 2005. [Google Scholar] [CrossRef]
- Flamm, J.; Deere, K.; Berrier, B.; Johnson, S.; Mason, M. Experimental Study of a Dual-Throat Fluidic Thrust-Vectoring Nozzle Concept. In Proceedings of the 41st AIAA/ASME/SAE/ASEE Joint Propulsion Conference & Exhibit, Tucson, AZ, USA, 10–13 July 2005. [Google Scholar] [CrossRef]
- Ferlauto, M.; Marsilio, R. Numerical simulation of fluidic thrust-vectoring. Aerotec. Missili Spaz. 2016, 95, 153–162. [Google Scholar] [CrossRef][Green Version]
- Wu, K.; Kim, H.D. Study on fluidic thrust vector control based on dual-throat concept. J. Korean Soc. Propuls. Eng. 2019, 23, 24–32. [Google Scholar] [CrossRef]
- Ferlauto, M.; Marsilio, R. Numerical Investigation of the Dynamic Characteristics of a Dual-Throat-Nozzle for Fluidic Thrust-Vectoring. AIAA J. 2017, 55, 86–98. [Google Scholar] [CrossRef]
- Deere, K.; Flamm, J.; Berrier, B.; Johnson, S. Computational Study of an Axisymmetric Dual Throat Fluidic Thrust Vectoring Nozzle for a Supersonic Aircraft Application. In Proceedings of the 43rd AIAA/ASME/SAE/ASEE Joint Propulsion Conference & Exhibit, Cincinnati, OH, USA, 8–11 July 2007. [Google Scholar] [CrossRef]
- Gu, R.; Xu, J.; Guo, S. Experimental and numerical investigations of a bypass dual throat nozzle. J. Eng. Gas Turbines Power August 2014, 136, 084501. [Google Scholar] [CrossRef]
- Hamedi-Estakhrsar, M.H.; Mahdavy-Moghaddam, H. Experimental evaluation and numerical simulation of performance of the bypass dual throat nozzle. Proc. Inst. Mech. Eng. Part G J. Aerosp. Eng. 2020, 235, 768–781. [Google Scholar] [CrossRef]
- Hamedi-Estakhrsar, M.; Ferlauto, M.; Mahdavy-Moghaddam, H. Numerical study of secondary mass flow modulation in a Bypass Dual-Throat Nozzle. Proc. Inst. Mech. Eng. Part G J. Aerosp. Eng. 2020, 235, 488–500. [Google Scholar] [CrossRef]
- Wang, Y.; Xu, J.; Huang, S.; Lin, Y.; Jiang, J. Computational study of axisymmetric divergent bypass dual throat nozzle. Aerosp. Sci. Technol. 2019, 86, 177–190. [Google Scholar] [CrossRef]
- Wang, Y.; Xu, J.; Huang, S.; Jiang, J.; Pan, R. Design and Preliminary Analysis of the Variable Axisymmetric Divergent Bypass Dual Throat Nozzle. J. Fluids Eng. 2020, 142, 061204. [Google Scholar] [CrossRef]
- Wu, K.; Kim, H. A fluidic thrust vector control using the bypass flow in a dual throat nozzle. J. Mech. Sci. Technol. 2021, 35, 3435–3443. [Google Scholar] [CrossRef]
- Huang, S.; Xu, J.; Yu, K.; Wang, Y.; Pan, R. Design and experimental study of a bypass dual throat nozzle with the ability of short/vertical takeoff and landing. Aerosp. Sci. Technol. 2021, 121, 107301. [Google Scholar] [CrossRef]
- Shi, L.; Yang, G.; Yao, S. Large eddy simulation of flow past a square cylinder with rounded leading corners: A comparison of 2D and 3D approaches. J. Mech. Sci. Technol. 2018, 32, 2671–2680. [Google Scholar] [CrossRef]
- Cravero, C.; Marogna, N.; Marsano, D. A Numerical Study of Correlation Between Recirculation Length and Shedding Frequency in Vortex Shedding Phenomena. WSEAS Trans. Fluid Mech. 2021, 16, 48–62. [Google Scholar] [CrossRef]
- Afridi, S.; Khan, T.A. Multi-objective nozzle design optimization for maximum thrust vectoring performance. Proc. Inst. Mech. Eng. Part G J. Aerosp. Eng. 2022. [Google Scholar] [CrossRef]
- Tian, C.; Lu, Y. Turbulence Models of Separated Flow in Shock Wave Thrust Vector Nozzle. Eng. Appl. Comput. Fluid Mech. 2013, 7, 182–192. [Google Scholar] [CrossRef][Green Version]
- Chaudhuri, A.; Hadjadj, A. Numerical investigations of transient nozzle flow separation. Aerosp. Sci. Technol. 2016, 53, 10–21. [Google Scholar] [CrossRef]
- Yaravintelimath, A.; Raghunandan, B.; Morinigo, A. Numerical prediction of nozzle flow separation: Issue of turbulence modeling. Aerosp. Sci. Technol. 2016, 50, 31–43. [Google Scholar] [CrossRef]















| Parameters | Dimensions |
|---|---|
| Cavity divergence angle | 15° |
| Cavity convergence angle | 50° |
| Inlet height | 60 mm |
| Throat height | 20 mm |
| Exit height | 24 mm |
| Radius | 0.8 mm |
| Radius | 1 mm |
| Radius | 0.3 mm |
| Length of cavity L | 66.8 mm |
| Model | |||
|---|---|---|---|
| 1 | 30° | 35° | 0.13–0.25 |
| 2 | 30° | 50° | 0.13–0.25 |
| 3 | 30° | 60° | 0.13–0.25 |
| 4 | 30° | 70° | 0.13–0.25 |
| 5 | 30° | 80° | 0.13–0.25 |
| 6 | 30° | 90° | 0.13–0.25 |
| 7 | 22° | 45° | 0.13–0.25 |
| 8 | 25° | 45° | 0.13–0.25 |
| 9 | 27° | 45° | 0.13–0.25 |
| 10 | 32° | 45° | 0.13–0.25 |
| 11 | 37° | 45° | 0.13–0.25 |
| (a) | ||||||
| NPR | Rui Gu [40] | Present Data | Percentage Error | |||
| δ | Cf | δ | Cf | δ | Cf | |
| 2 | 32.02° | 0.933 | 31.8° | 0.912 | 0.68% | 2.25% |
| 3 | 27.21° | 0.959 | 27.15° | 0.94 | 0.22% | 1.98% |
| 4 | 24.52° | 0.965 | 24.3° | 0.95 | 0.90% | 1.55% |
| 5 | 23.12° | 0.963 | 22.9° | 0.951 | 0.95% | 1.25% |
| 6 | 22.54° | 0.96 2 | 2.13° | 0.948 | 1.82% | 1.25% |
| 7 | 22.09° | 0.955 | 21.6° | 0.946 | 2.22% | 0.94% |
| 8 | 21.71° | 0.95 | 21.2° | 0.942 | 2.35% | 0.84% |
| (b) | ||||||
| NPR | Rui Gu [40] | Present Data | Percentage Error | |||
| δ | Cf | δ | Cf | δ | Cf | |
| 3 | 26.95° | 0.949 | 25.78° | 0.934 | 4.32% | 1.61% |
| 5 | 21.08° | 0.956 | 21.02° | 0.946 | 0.28% | 1.01% |
| 10 | 20.27° | 0.934 | 19.52° | 0.923 | 3.70% | 1.17% |
Disclaimer/Publisher’s Note: The statements, opinions and data contained in all publications are solely those of the individual author(s) and contributor(s) and not of MDPI and/or the editor(s). MDPI and/or the editor(s) disclaim responsibility for any injury to people or property resulting from any ideas, methods, instructions or products referred to in the content. |
© 2023 by the authors. Licensee MDPI, Basel, Switzerland. This article is an open access article distributed under the terms and conditions of the Creative Commons Attribution (CC BY) license (https://creativecommons.org/licenses/by/4.0/).
Share and Cite
Afridi, S.; Khan, T.A.; Shah, S.I.A.; Shams, T.A.; Mehmood, K.; Li, W.; Kukulka, D. Numerical Investigation on the Thrust Vectoring Performance of Bypass Dual Throat Nozzle. Energies 2023, 16, 594. https://doi.org/10.3390/en16020594
Afridi S, Khan TA, Shah SIA, Shams TA, Mehmood K, Li W, Kukulka D. Numerical Investigation on the Thrust Vectoring Performance of Bypass Dual Throat Nozzle. Energies. 2023; 16(2):594. https://doi.org/10.3390/en16020594
Chicago/Turabian StyleAfridi, Saadia, Tariq Amin Khan, Syed Irtiza Ali Shah, Taimur Ali Shams, Kashif Mehmood, Wei Li, and David Kukulka. 2023. "Numerical Investigation on the Thrust Vectoring Performance of Bypass Dual Throat Nozzle" Energies 16, no. 2: 594. https://doi.org/10.3390/en16020594
APA StyleAfridi, S., Khan, T. A., Shah, S. I. A., Shams, T. A., Mehmood, K., Li, W., & Kukulka, D. (2023). Numerical Investigation on the Thrust Vectoring Performance of Bypass Dual Throat Nozzle. Energies, 16(2), 594. https://doi.org/10.3390/en16020594

