Impact of Biofuel Blending on Hydrocarbon Speciation and Particulate Matter from a Medium-Duty Multimode Combustion Strategy
Abstract
1. Introduction
2. Materials and Methods
2.1. Engine Setup and Operation
2.2. Fuels
2.3. Emission Sampling
2.3.1. Gaseous Emissions
FTIR
Canister (GC-MS)
DNPH (HPLC-UV/Vis)
2.3.2. PM/PN Emissions
MSS
Particle Samplings
EEPS
3. Results
3.1. Gaseous Emissions
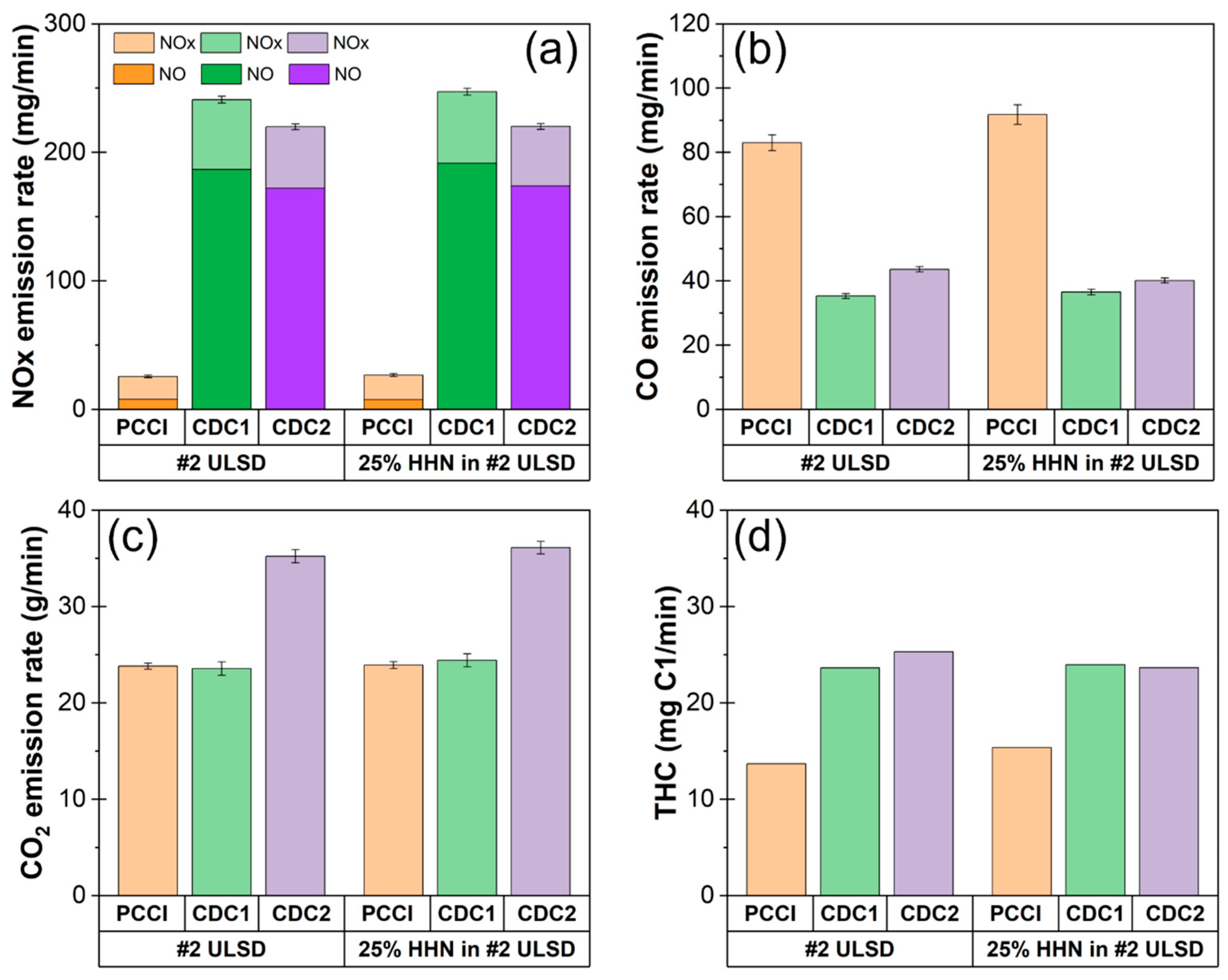
3.1.1. Criteria Emissions
3.1.2. HC Emission Speciation
3.2. Particulate Matter Emissions
4. Discussion
4.1. Integrative THC Emissions Results
4.2. Multimode Impact
4.3. Biofuel Impact
5. Conclusions
- The decrease in THC in the PCCI mode was mainly associated with paraffins, but a slight increase in olefins, formaldehyde, and small C1–C4 HCs was also observed;
- The 25% HHN fuel had a minimal impact on the total HC emissions, but influenced the composition of the HCs emitted. It decreased aromatic aldehydes in the low-load modes and decreased volatile aromatics in the high-load mode.
- The PM reduction in PCCI mode was associated with particles ≥50nm;
- PN emissions after the 350 °C thermal denuding saw a small fuel effect at the high load (CDC2) with the use of 25% HHN blended fuel, causing a slight reduction as would be expected with blending reducing fuel aromatics;
- Both HHN blending and the multimode strategy reduced PN emissions without thermal denuding (150°C), with the biggest reduction coming from fuel blending in the full CDC strategy (CDC1 + CDC2);
- The lowest total PN emissions without thermal denuding (150 °C) were achieved with multimode (PCCI + CDC) combustion using the 25% HHN blended fuel.
Author Contributions
Funding
Data Availability Statement
Acknowledgments
Conflicts of Interest
Abbreviations
| PCCI | premixed charge compression ignition |
| CDC | conventional diesel combustion |
| HC | hydrocarbon |
| PM | particulate matter |
| HHN | hexyl hexanoate |
| MDHD | medium-duty and heavy-duty |
| GHG | greenhouse gas |
| LTC | low-temperature combustion |
| wt% | weight percent |
| MSS | micro soot sensor |
| EEPS | engine exhaust particle sizer |
| MFC | mass flow controller |
| EC | elemental carbon |
| OC | organic carbon |
| THC | total hydrocarbon |
| FID | flame ionization detector |
| FTIR | Fourier-transform infrared spectrometer |
| g-FTIR | gasoline FTIR method |
| d-FTIR | diesel FTIR method |
| GC-MS | gas chromatograph—mass spectrometer |
| DNPH | 2,4-dinitrophenylhydrazine |
| HPLC | high-performance liquid chromatograph |
| UV-Vis | ultraviolet–visible spectrometer |
| Qf | quartz filter |
| DGM | dry gas meter |
| PN | particle number |
| #/min | number per minute |
| CDC1 | low-load CDC |
| CDC2 | high-load CDC |
| ULSD | ultra-low sulfur diesel |
| NOx | nitrogen oxides |
| CO | carbon monoxide |
| CO2 | carbon dioxide |
References
- U.S. Department of State; U.S. Executive Office of the President. The Long-Term Strategy of the United States, Pathways to Net-Zero Greenhouse Gas Emissions by 2050. Washington D.C.; November 2021. Available online: https://unfccc.int/documents/308100 (accessed on 6 February 2023).
- U.S. Department of Energy Alternative Fuels Data Center. Average Annual Fuel Use by Vehicle Type (Last Updated February 2020). Available online: https://afdc.energy.gov/data/10308 (accessed on 6 February 2023).
- Forrest, K.; Mac Kinnon, M.; Tarroja, B.; Samuelsen, S. Estimating the technical feasibility of fuel cell and battery electric vehicles for the medium and heavy duty sectors in California. Appl. Energy 2020, 276, 115439. [Google Scholar] [CrossRef]
- Muratori, M.; Alexander, M.; Arent, D.; Bazilian, M.; Cazzola, P.; Dede, E.M.; Farrell, J.; Gearhart, C.; Greene, D.; Jenn, A.; et al. The rise of electric vehicles—2020 status and future expectations. Prog. Energy 2021, 3, 22002. [Google Scholar] [CrossRef]
- Zhao, F.; Assanis, D.N.; Asmus, T.N.; Dec, J.E.; Eng, J.A.; Najt, P.M. Homogeneous Charge Compression Ignition (HCCI) Engines: Key Research and Development Issues; Society of Automotive Engineers: Warrendale, PA, USA, 2003. [Google Scholar]
- Dec, J.E. Advanced compression-ignition engines—Understanding the in-cylinder processes. Proc. Combust. Inst. 2009, 32, 2727–2742. [Google Scholar] [CrossRef]
- Krishnamoorthi, M.; Malayalamurthi, R.; He, Z.; Kandasamy, S. A review on low temperature combustion engines: Performance, combustion and emission characteristics. Renew. Sustain. Energy Rev. 2019, 116, 109404. [Google Scholar] [CrossRef]
- Bobi, S.; Kashif, M.; Laoonual, Y. Combustion and emission control strategies for partially-premixed charge compression ignition engines: A review. Fuel 2021, 310, 122272. [Google Scholar] [CrossRef]
- Fioroni, G.; Fouts, L.; Luecke, J.; Vardon, D.; Huq, N.; Christensen, E.; Huo, X.; Alleman, T.; McCormick, R.; Kass, M.; et al. Screening of Potential Biomass-Derived Streams as Fuel Blendstocks for Mixing Controlled Compression Ignition Combustion. SAE Int. J. Adv. Curr. Prac. Mobil. 2019, 1, 1117–1138. [Google Scholar] [CrossRef]
- Burton, J.L.; Martin, J.A.; Fioroni, G.M.; Alleman, T.L.; Hays, C.K.; Ratcliff, M.A.; Thorson, M.R.; Schmidt, A.J.; Hallen, R.T.; Hart, T.R.; et al. Fuel Property Effects of a Broad Range of Potential Biofuels on Mixing Control Compression Ignition Engine Performance and Emissions; SAE Technical Paper 2021-01-0505; SAE: Warrendale, PA, USA, 2021. [Google Scholar] [CrossRef]
- Sluder, C.S.; Curran, S.J. Diesel-Range Fuel Property Effects on Medium-Duty Advanced Compression Ignition for Low-Load NOX Reduction. SAE Int. J. Fuels Lubr. 2022, 16, 57–74. [Google Scholar] [CrossRef]
- Curran, S.; Szybist, J.; Kaul, B.; Easter, J.; Sluder, S. Fuel Stratification Effects on Gasoline Compression Ignition with a Regular-Grade Gasoline on a Single-Cylinder Medium-Duty Diesel Engine at Low Load. SAE Int. J. Adv. Curr. Pract. Mobil. 2021, 4, 488–501. [Google Scholar] [CrossRef]
- Parks, J.E.; Storey, J.; Prikhodko, V.; Moses-DeBusk, M.; Lewis, S.A. Filter-Based Control of Particulate Matter from a Lean Gasoline Direct Injection Engine; SAE Technical Paper 2016-01-0937; SAE: Warrendale, PA, USA, 2016. [Google Scholar] [CrossRef]
- Birch, M.E.; Cary, R.A. Elemental Carbon-Based Method for Monitoring Occupational Exposures to Particulate Diesel Exhaust. Aerosol. Sci. Technol. 1996, 25, 221–241. [Google Scholar] [CrossRef]
- Gierczak, C.A.; Kralik, L.L.; Mauti, A.; Harwell, A.L.; Maricq, M.M. Measuring NMHC and NMOG emissions from motor vehicles via FTIR spectroscopy. Atmos. Environ. 2017, 150, 425–433. [Google Scholar] [CrossRef]
- Park, Y.; Moses-DeBusk, M.; Powell, T.; Szybist, J.; Xiang, Z.; Zhu, J.; McEnally, C.S.; Pfefferle, L.D. Fuel property impacts on gaseous and PM emissions from a multi-mode single-cylinder engine. Fuel 2023, 331, 125641. [Google Scholar] [CrossRef]
- Moses-DeBusk, M.; Storey, J.M.; Lwis Sr, S.A.; Connatser, R.M.; Mahurin, S.M.; Huff, S.; Thompson, C.V.; Park, Y. Detailed hydrocarbon speciation and particulate matter emissions during cold-start from turbocharged and naturally aspirated trucks. Fuel 2023, 350, 128804. [Google Scholar] [CrossRef]
- Lapuerta, M.; Armas, O.; Fernández, J.R. Effect of biodiesel fuels on diesel engine emissions. Prog. Energy Combust. Sci. 2008, 34, 198–223. [Google Scholar] [CrossRef]
- Musculus, M.P.; Miles, P.C.; Pickett, L.M. Conceptual models for partially premixed low-temperature diesel combustion. Prog. Energy Combust. Sci. 2013, 39, 246–283. [Google Scholar] [CrossRef]
- Han, D.; Ickes, A.M.; Bohac, S.V.; Huang, Z.; Assanis, D.N. HC and CO emissions of premixed low-temperature combustion fueled by blends of diesel and gasoline. Fuel 2012, 99, 13–19. [Google Scholar] [CrossRef]
- Kosaka, H.; Drewes, V.H.; Catalfamo, L.; Aradi, A.A.; Iida, N.; Kamimoto, T. Two-Dimensional Imaging of Formaldehyde Formed during the Ignition Process of a Diesel Fuel Spray; SAE Technical Paper 2000-01-0236; SAE: Warrendale, PA, USA, 2000. [Google Scholar] [CrossRef]
- Collin, R.; Nygren, J.; Richter, M.; Aldén, M.; Hildingsson, L.; Johansson, B. Simultaneous OH- and Formaldehyde-LIF Measurements in an HCCI Engine; SAE Technical Paper 2003-01-3218; SAE: Warrendale, PA, USA, 2003. [Google Scholar] [CrossRef]
- Hildingsson, L.; Persson, H.; Johansson, B.; Collin, R.; Nygren, J.; Richter, M.; Aldén, M.; Hasegawa, R.; Yanagihara, H. Optical Diagnostics of HCCI and Low-Temperature Diesel Using Simultaneous 2-D PLIF of OH and Formaldehyde; SAE Technical Paper 2004-01-2949; SAE: Warrendale, PA, USA, 2004. [Google Scholar] [CrossRef]
- Kashdan, J.T.; Papagni, J.-F. LIF Imaging of Auto-Ignition and Combustion in a Direct Injection Diesel-Fuelled HCCI Engine; SAE Technical Paper 2005-01-3739; SAE: Warrendale, PA, USA, 2005. [Google Scholar] [CrossRef]
- Parks, J.E.; Prikhodko, V.; Storey, J.M.; Barone, T.L.; Lewis, S.A.; Kass, M.D.; Huff, S.P. Emissions from premixed charge compression ignition (PCCI) combustion and affect on emission control devices. Catal. Today 2010, 151, 278–284. [Google Scholar] [CrossRef]
- Prikhodko, V.Y.; Curran, S.J.; Barone, T.L.; Lewis, S.A.; Storey, J.M.; Cho, K.; Wagner, R.M.; Parks, J.E. Emission Characteristics of a Diesel Engine Operating with In-Cylinder Gasoline and Diesel Fuel Blending. SAE Int. J. Fuels Lubr. 2010, 3, 946–955. [Google Scholar] [CrossRef]
- Singh, A.P.; Agarwal, A.K. Performance and emission characteristics of conventional diesel combustion/partially premixed charge compression ignition combustion mode switching of biodiesel-fueled engine. Int. J. Engine Res. 2019, 22, 540–553. [Google Scholar] [CrossRef]
- Sharp, C.A.; Howell, S.A.; Jobe, J. The Effect of Biodiesel Fuels on Transient Emissions from Modern Diesel Engines, Part II Unregulated Emissions and Chemical Characterization; SAE Technical Paper 2000-01-1968; SAE: Warrendale, PA, USA, 2000. [Google Scholar] [CrossRef]
- Durbin, T.D.; Collins, J.R.; Norbeck, J.M.; Smith, M.R. Effects of Biodiesel, Biodiesel Blends, and a Synthetic Diesel on Emissions from Light Heavy-Duty Diesel Vehicles. Environ. Sci. Technol. 1999, 34, 349–355. [Google Scholar] [CrossRef]
- Turrio-Baldassarri, L.; Battistelli, C.L.; Conti, L.; Crebelli, R.; De Berardis, B.; Iamiceli, A.L.; Gambino, M.; Iannaccone, S. Emission comparison of urban bus engine fueled with diesel oil and ‘biodiesel’ blend. Sci. Total. Environ. 2004, 327, 147–162. [Google Scholar] [CrossRef]
- Lin, Y.-C.; Lee, W.-J.; Hou, H.-C. PAH emissions and energy efficiency of palm-biodiesel blends fueled on diesel generator. Atmos. Environ. 2006, 40, 3930–3940. [Google Scholar] [CrossRef]
- Corrêa, S.M.; Arbilla, G. Aromatic hydrocarbons emissions in diesel and biodiesel exhaust. Atmos. Environ. 2006, 40, 6821–6826. [Google Scholar] [CrossRef]
- Yang, H.-H.; Chien, S.-M.; Lo, M.-Y.; Lan, J.C.-W.; Lu, W.-C.; Ku, Y.-Y. Effects of biodiesel on emissions of regulated air pollutants and polycyclic aromatic hydrocarbons under engine durability testing. Atmos. Environ. 2007, 41, 7232–7240. [Google Scholar] [CrossRef]
- He, C.; Ge, Y.; Tan, J.; You, K.; Han, X.; Wang, J. Characteristics of polycyclic aromatic hydrocarbons emissions of diesel engine fueled with biodiesel and diesel. Fuel 2010, 89, 2040–2046. [Google Scholar] [CrossRef]
- Pedersen, J.R.; Ingemarsson, A.; Olsson, J.O. Oxidation of Rapeseed Oil, Rapeseed Methyl Ester (Rme) and Diesel Fuel Studied with Gc/Ms. Chemosphere 1999, 38, 2467–2474. [Google Scholar] [CrossRef]









| Displacement (L) | 1.12 |
| Bore (mm) | 107 |
| Stroke (mm) | 124 |
| Connecting Rod (mm) | 145.4 |
| Compression Ratio | 20:1 |
| Fuel Injector | CRIN-3, 8-hole, 145° included angle |
| #2 ULSD | 25 vol% HHN in #2 ULSD | |
|---|---|---|
| Cetane Number | 46.9 | 45.7 |
| Carbon Content (wt%) | 86.24 | 82.64 |
| Hydrogen Content (wt%) | 13.44 | 13.12 |
| Oxygen Content (wt%) | N/A | 4.24 |
| Net Heat of Combustion(MJ/kg) | 43.09 | 41.2 |
| Density@ 15 °C (g/mL) | 0.8455 | 0.8490 |
| T50 (°C) | 275 | 248.9 |
| T90 (°C) | 341 | 335.0 |
| FBP (°C) | 361 | 356.7 |
| HHN | #2 ULSD | |
|---|---|---|
| Low Load (1.8 bar) | PCCI | PCCI |
| Low Load (1.8 bar) | CDC1 | CDC1 |
| High Load (3.2 bar) | CDC2 | CDC2 |
Disclaimer/Publisher’s Note: The statements, opinions and data contained in all publications are solely those of the individual author(s) and contributor(s) and not of MDPI and/or the editor(s). MDPI and/or the editor(s) disclaim responsibility for any injury to people or property resulting from any ideas, methods, instructions or products referred to in the content. |
© 2023 by the authors. Licensee MDPI, Basel, Switzerland. This article is an open access article distributed under the terms and conditions of the Creative Commons Attribution (CC BY) license (https://creativecommons.org/licenses/by/4.0/).
Share and Cite
Park, Y.; Moses-DeBusk, M.; Sluder, S.S.; Huff, S.P. Impact of Biofuel Blending on Hydrocarbon Speciation and Particulate Matter from a Medium-Duty Multimode Combustion Strategy. Energies 2023, 16, 5735. https://doi.org/10.3390/en16155735
Park Y, Moses-DeBusk M, Sluder SS, Huff SP. Impact of Biofuel Blending on Hydrocarbon Speciation and Particulate Matter from a Medium-Duty Multimode Combustion Strategy. Energies. 2023; 16(15):5735. https://doi.org/10.3390/en16155735
Chicago/Turabian StylePark, Yensil, Melanie Moses-DeBusk, Scott S. Sluder, and Shean P. Huff. 2023. "Impact of Biofuel Blending on Hydrocarbon Speciation and Particulate Matter from a Medium-Duty Multimode Combustion Strategy" Energies 16, no. 15: 5735. https://doi.org/10.3390/en16155735
APA StylePark, Y., Moses-DeBusk, M., Sluder, S. S., & Huff, S. P. (2023). Impact of Biofuel Blending on Hydrocarbon Speciation and Particulate Matter from a Medium-Duty Multimode Combustion Strategy. Energies, 16(15), 5735. https://doi.org/10.3390/en16155735

