Isokinetic and Compensation Temperature in the Analysis of Thermal Dissociation of the Solid Phase under Dynamic Conditions
Abstract
1. Introduction
1.1. Outline of the Problem
1.2. Aim of the Paper
2. Methods
2.1. General Kinetic Equation for Dynamic Conditions
2.2. Data Set for Verification of Kinetic Models
3. Results
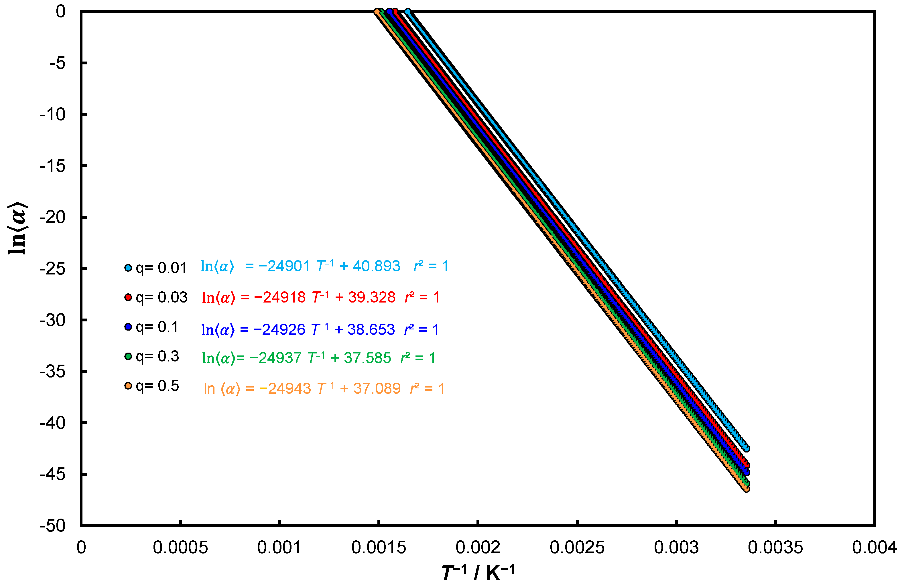
3.1. Results of the Calculations
3.2. Thermokinetic Analysis of Experimental Data
3.3. Consequences of the Analysis of Experimental Data
4. Discussion
4.1. Isokinetics and Initial Temperature
4.2. Isokinetic Temperature
- (a)
- ;
- (b)
- ;
- (c)
- .
4.3. Compensation Temperature
4.4. Isokinetic Temperature Again
4.5. Summary of Equations for Experimental Data
- typical KCE equation (Figure 7):
- slope in Equation (57) provided in [43] concerning calcite dissociation from different references:
- from the linear relationship between the parameters of the three-parameter equation, Table 5 (slope in Equation (70)):
4.6. Some Remarks to All the Elements
5. What’s Next?
6. Conclusions
Author Contributions
Funding
Data Availability Statement
Conflicts of Interest
Nomenclature
| coefficients of the three-parametric Equation (40), in K, | |
| A | pre-exponential factor, s−1, |
| B= | ratio of Boltzmann to Planck’s constant, |
| C | integrals constant, |
| CQF | Compensation Quality Factor as in [48,49], |
| E | activation energy, J mol−1, |
| kinetics functions, | |
| ΔG | free enthalpy, Jmol−1 |
| H = 6.62607×10−34 Js, | Planck constant |
| free enthalpy of activation in temperature, Equation (58), J mol−1, | |
| ΔH | enthalpy, Jmol−1, |
| k, | rate constant and dependent on T, s−1, |
| = 1.38065·10−23 JK−1 | Boltzmann constant, |
| average value of the isokinetic constant, s−1, | |
| K | position of coalescence as in [49], or position parameter, |
| m | coefficients, |
| n | exponent, |
| N | number of data, |
| p | pressure, Pa, |
| coefficients of linear or multiple determination, | |
| R = 8.314 J (mol·K)−1 | universal gas constant, |
| q | heating rate, K s−1, |
| sl | significance level, |
| ΔS | entropy, J(mol*K)−1, |
| T | absolute temperature, K, |
| T0 | initial temperature, K, |
| x | E/RT, |
| α | conversion degree, 0 < α ≤ 1, |
| single column matrix, | |
| β, γ | constants in Equations (1)–(3), |
| ν | stoichiometric coefficient. |
| Subscripts: | |
| c | compensation, |
| eq | equilibrium, |
| low, high, hm | relate to mean values of initial and final temperatures and their harmonic mean respectively, |
| i | ith value, |
| Iso | isokinetic values, |
| m | maximum of rate reaction/process, |
| Superscripts | |
| + | activation functions, |
| * | auxiliary quantity, Equations (A1), (A2), |
| g, s | gas, solid, |
| standard condition | |
| Abbreviations | |
| EEC | Enthalpy−Entropy Compensation, |
| ICTAC | International Confederation for Thermal Analysis and Calorimetry, |
| KAS | Kissinger−Akahira−Sunose equation, |
| KCE | Kinetic Compensation Effect (also IKR, IE), |
| TPD | Temperature Programmed Desorption. |
Appendix A
| Code | ||||
|---|---|---|---|---|
| P4 | ||||
| P3 | ||||
| P2 | ||||
| P2/3 | ||||
| D1 | ||||
| F1 | ||||
| A4 | ||||
| A3 | ||||
| A2 | ||||
| D3 | ||||
| R3 | ||||
| R2 | ||||
| D2 |
- Analysis of KCE for Experimental Data




- Physicochemical sense of isokinetic temperature
- in the simplest variant: .
References
- Pan, A.; Biswas, T.; Rakshit, A.K.; Moulik, S.P. Enthalpy-Entropy Compensation (EEC) effect: A revisit. J. Phys. Chem. 2015, 119, 15876–15884. [Google Scholar] [CrossRef]
- Mianowski, A.; Radko, T. Analysis of isokinetic effect by means of temperature criterion in coal pyrolysis. Pol. J. Appl. Chem. 1994, 38, 395–405. [Google Scholar]
- Freed, K.F. Entropy-Enthalpy Compensation in chemical reactions and adsorption: An exactly solvable model. J. Phys. Chem. B 2011, 115, 1689–1692. [Google Scholar] [CrossRef]
- Liu, L.; Guo, Q.-X. Isokinetic relationship, isoequilibrium relationship, and enthalpy-entropy compensation. Chem. Rev. 2001, 101, 673–695. [Google Scholar] [CrossRef] [PubMed]
- Perez-Benito, J.F. Some tentative explanations for the enthalpy–entropy compensation effect in chemical kinetics: From experimental errors to the Hinshelwood-like model. Mon. Chem.-Chem. Mon. 2013, 144, 49–58. [Google Scholar] [CrossRef]
- Mianowski, A.; Urbańczyk, W. Enthalpy–entropy compensation for isosteric state adsorption at near ambient temperature. Adsorption 2017, 23, 831–846. [Google Scholar] [CrossRef][Green Version]
- Pan, A.; Kar, T.; Rakshit, A.K.; Moulik, S.P. Enthalpy−Entropy Compensation (EEC) Effect: Decisive Role of Free Energy. J. Phys. Chem. B 2016, 120, 10531–10539. [Google Scholar] [CrossRef]
- Movileanu, L.; Schiff, E.A. Entropy–enthalpy compensation of biomolecular systems in aqueous phase: A dry perspective. Mon. Chem. -Chem. Mon. 2013, 144, 59–65. [Google Scholar] [CrossRef] [PubMed]
- Dutronc, T.; Terazzi, E.; Piguet, C. Melting temperatures deduced from molar volumes: A consequence of the combination of enthalpy/entropy compensation with linear cohesive free-energy densities. RSC Adv. 2014, 4, 15740–15748. [Google Scholar] [CrossRef]
- Compendium of Chemical Terminology, Gold Book, Version 2.3.3, IUPAC. 2014. Available online: https://goldbook.iupac.org (accessed on 1 June 2020).
- Starikov, E.B. Bayesian Statistical Mechanics: Entropy-Enthalpy Compensation and Universal Equation of State at the Tip of Pen. Front. Phys. 2018, 6, 2. [Google Scholar] [CrossRef]
- Eyring, H. The Activated Complex in Chemical Reactions. J. Chem. Phys. 1935, 3, 107–115. [Google Scholar] [CrossRef]
- Laidler, K.J.; King, M.C. The Development of Transition-State Theory. J. Phys. Chem. 1983, 87, 2657–2664. [Google Scholar] [CrossRef]
- Rooney, J.J. An explanation of isokinetic temperature in heterogeneous catalysis. Catal. Lett. 1998, 50, 15. [Google Scholar] [CrossRef]
- Rooney, J.J. Isokinetic temperature and the compensation effect in catalysis. J. Mol. Catal. A Chem. 1998, 133, 303–305. [Google Scholar] [CrossRef]
- Błażejowski, J.; Zadykowicz, B. Computational prediction of the pattern of thermal gravimetry data for the thermal decomposition of calcium oxalate monohydrate. J. Therm. Anal. Calorim. 2013, 113, 1497–1503. [Google Scholar] [CrossRef]
- Yin, C.; Du, J. The power-law reaction rate coefficient for an elementary bimolecular reaction. Phys. A Stat. Mech. Appl. 2014, 395, 416–424. [Google Scholar] [CrossRef]
- Aquilanti, V.; Coutinho, N.D.; Carvalho-Silva, V.H. Kinetics of low-temperature transitions and a reaction rate theory from non-equilibrium distributions. Phil. Trans. R. Soc. A 2017, 375, 20160201. [Google Scholar] [CrossRef]
- Mianowski, A.; Urbańczyk, W. Isoconversional methods in thermodynamic principles. J. Phys. Chem. A 2018, 122, 6819–6828. [Google Scholar] [CrossRef]
- Perez-Benito, J.F.; Alburquerque-Alvares, I. Kinetic compensation effect: Discounting the distortion provoked by accidental experimental errors in the isokinetic temperature value. Mon. Chem. -Chem. Mon. 2020, 151, 1805–1816. [Google Scholar] [CrossRef]
- Lyon, R.E. Isokinetics. J. Phys. Chem. A 2019, 123, 2462–2499. [Google Scholar] [CrossRef] [PubMed]
- Lyon, R.E. Isokinetic analysis of reaction onsets. Thermochim. Acta 2022, 708, 179117. [Google Scholar] [CrossRef]
- Mianowski, A. Thermal dissociation in dynamic conditions by modeling thermogravimetric curves using the logarithm of conversion degree. J. Therm. Anal. Calorim. 2000, 59, 747–762. [Google Scholar] [CrossRef]
- Mianowski, A.; Siudyga, T. Influence of sample preparation on thermal decomposition of wasted polyolefins-oil mixtures. J. Therm. Anal. Calorim. 2008, 92, 543–552. [Google Scholar] [CrossRef]
- Órfão, J.J.M. Review and evaluation of the approximations to the temperature integral. AIChE J. 2007, 53, 2905–2915. [Google Scholar] [CrossRef]
- Carrero-Mantilla, J.I.; Rojas-González, A.F. Calculation of the temperature integrals used in the processing of thermogravimetric analysis data. Ing. Compet. 2019, 21, 7450. [Google Scholar] [CrossRef]
- Mianowski, A.; Baraniec, I. Three-parametric equation in evaluation of thermal dissociation of reference compound. J. Therm. Anal. Calorim. 2009, 96, 179–187. [Google Scholar] [CrossRef]
- Málek, J. The kinetic analysis of non-isothermal data. Thermochim. Acta 1992, 200, 257–269. [Google Scholar] [CrossRef]
- Senum, G.; Yang, R. Rational approximations of the integral of the Arrhenius function. J. Therm. Anal. 1977, 11, 445–447. [Google Scholar] [CrossRef]
- Starink, M.J. The determination of activation energy from linear heating rate experiments: A comparison of the accuracy of isoconversion methods. Thermochim. Acta 2003, 404, 163–176. [Google Scholar] [CrossRef]
- Vyazovkin, S. Isoconversional Kinetics of Thermally Stimulated Process; Springer International Publishing: Cham, Switzerland, 2015. [Google Scholar] [CrossRef]
- Budrugeac, P. Comparison between model-based and non-isothermal model-free computational procedures for prediction of converion-time curves of calcium carbonate decomposition. Thermochim. Acta 2019, 679, 178322. [Google Scholar] [CrossRef]
- Dahme, A.; Junker, H.J. Die Reaktivität von Koks gegen CO2 im temperaturbereich 1000–1200 °C. Brennst Chem. 1955, 36, 193–199. (In German) [Google Scholar]
- Balart, R.; Garcia-Sanoguera, D.; Quiles-Carrillo, L.; Montanes, N.; Torres-Giner, S. Kinetic analysis of the thermal degradation of recycled acrylonitrile-butadienie-styrene by non-isothermal thermogravimetry. Polymers 2019, 11, 281. [Google Scholar] [CrossRef] [PubMed]
- Brown, M.E.; Maciejewski, M.; Vyazovkin, S.; Nomen, R.; Sempere, J.; Burnham, A.; Opfermann, J.; Strey, R.; Anderson, H.L.; Kemmler, A.; et al. Computational aspects of kinetic analysis: Part A: The ICTAC kinetics project-data, methods and results. Thermochim. Acta 2000, 355, 125–143. [Google Scholar] [CrossRef]
- Messaâdi, A.; Dhouibi, N.; Hamda, H.; Belgacem, F.B.M.; Adbelkader, Y.H.; Ouerfelli, N.; Hamzaoui, A.H. A new equation relating the viscosity Arrhenius temperature and the activation energy for some Newtonian classical solvents. J. Chem. 2015, 2015, 163262. [Google Scholar] [CrossRef]
- Mianowski, A.; Urbańczyk, W. Thermal dissociation in terms of the second law of chemical thermodynamics. J. Therm. Anal. Calorim. 2016, 126, 863–870. [Google Scholar] [CrossRef][Green Version]
- Satopää, V.; Albrecht, J.; Irwin, D.; Raghavan, B. Finding a “knedle” in a haustack: Detecting knee points in system behavior. In Proceedings of the 31st International Conference on Distributed Computing Systems Workshop, Minneapolis, MN, USA, 20–24 June 2011. [Google Scholar] [CrossRef]
- Szarawara, J.; Kozik, C. Application of a new method for studies on the area of selected heterogeneous processes (Zastosowanie nowej metody badania obszaru do wybranych procesów heterogenicznych). Chem. Stosow. 1976, 20, 45–69. (In Polish) [Google Scholar]
- Mianowski, A.; Radko, T. The possibility of identification of activation energy by means of the temperature criterion. Thermochim. Acta 1994, 247, 389–405. [Google Scholar] [CrossRef]
- Mianowski, A.; Siudyga, T.; Polański, J. Szarawara-Kozik’s temperature criterion in the context of three-parameter equation for modeling ammonia or methanol decomposition during heterogenous catalysis. Reac. Kinetic Mech. Cat. 2018, 125, 493–504. [Google Scholar] [CrossRef]
- Lente, G. The fallacy of the isokinetic temperature. In Deterministic Kinetics in Chemistry and Systems Biology. The Dynamics of Complex Reaction Networks; Springer: New York, NY, USA, 2015; pp. 121–122. [Google Scholar] [CrossRef]
- Mianowski, A.; Radko, T.; Siudyga, T. Kinetic compensation effect of isoconversional methods. Reac. Kinetic Mech. Cat. 2020, 132, 37–58. [Google Scholar] [CrossRef]
- Norwisz, J.; Musielak, T. Compensation law again. J. Therm. Anal. Calorim. 2007, 88, 751–755. [Google Scholar] [CrossRef]
- Barrie, P.J. The mathematical origins of the kinetic compensation effect: 1. The effect of random experimental errors. Phys. Chem. Chem. Phys. 2012, 14, 318–326. [Google Scholar] [CrossRef] [PubMed]
- Barrie, P.J. The mathematical origins of the kinetic compensation effect: 2. The effect of systematic errors. Phys. Chem. Chem. Phys. 2012, 14, 327–336. [Google Scholar] [CrossRef] [PubMed]
- Mianowski, A.; Marecka, A. The isokinetic effect as related to the activation Energy for the gases diffusion in coal at ambient temperatures. Part II. Fick’s diffusion and isokinetic effect. J. Therm. Anal. Cal. 2009, 96, 495–499. [Google Scholar] [CrossRef]
- Griessen, R.; Boelsma, C.; Schreuders, H.; Broedersz, C.P.; Gremaud, R.; Dam, B. Single Quality Factor for Enthalpy-Entropy Compensation, Isoequilibrium and Isokinetic Relationships. Chemphyschem 2020, 21, 1632–1643. [Google Scholar] [CrossRef]
- Griessen, R.; Dam, B. Simple Accurate Verification of Enthalpy-Entropy Compensation and Isoequilibrium Relationship. Chemphyschem 2021, 22, 1774–1788. [Google Scholar] [CrossRef] [PubMed]
- Piskulich, Z.A.; Oluwaseun, O.M.; Thompson, W.H. Activation Energies and Beyond. J. Phys. Chem. A 2019, 123, 7185–7194. [Google Scholar] [CrossRef] [PubMed]
- Carvalho-Silva, V.H.; Aquilanti, V.; de Oliveira, H.C.B.; Mundim, K.C. Deformed Transition-State Theory: Deviation from Arrhenius Behavior and Application to imolecular Hydrogen Transfer Reaction Rates in the Tunneling Regime. J. Comput. Chem. 2016, 1, 11. [Google Scholar] [CrossRef] [PubMed]
- Khrapunov, S. The Enthalpy-entropy Compensation Phenomenon. Limitations for the Use of Some Basic Thermodynamic Equations. Curr. Protein Pept. Sci. 2018, 19, 1088–1091. [Google Scholar] [CrossRef]
- Olszak-Humienik, M.; Możejko, J. Eyring parameters of dehydration processes. Thermochim. Acta 2003, 405, 171–181. [Google Scholar] [CrossRef]
- Bigda, R.; Mianowski, A. Influence of heating rate on kinetic quantities of solid phase thermal decomposition. J. Therm. Anal. Calorim. 2006, 84, 453–465. [Google Scholar] [CrossRef]
- Lente, G.; Fábián, I.; Poë, A.J. A common misconception about the Eyring equation. New J. Chem. 2005, 29, 759–760. [Google Scholar] [CrossRef]
- Nakamura, S.; Sakai, H.; Fuki, M.; Kobori, Y.; Tkachenko, N.V.; Hasobe, T. Enthalpy−Entropy Compensation Effect for Triplet Pair Dissociation of Intramolecular Singlet Fission in Phenylene Spacer-Bridged Hexacene Dimers. J. Phys. Chem. Lett. 2021, 12, 6457–6463. [Google Scholar] [CrossRef] [PubMed]
- Shpanko, I.V.; Sadovaya, I.V. Enthalpy–Entropy Compensation in Reactions of Oxirane Ring Opening. Russ. J. Phys. Chem. A 2022, 96, 2307–2317. [Google Scholar] [CrossRef]








| Heating Rate , K s−1 | , kj mol−1 acc. Equation (27) | Intercept C acc. Equation (27) | K from Equation (23) | from Equations (22) or (24) | in s−1) acc. Equation (18) |
|---|---|---|---|---|---|
| 0.01 | 207.03 | 40.890 | 557.2 | 0.02238 | 33.762 |
| 0.03 | 207.13 | 39.822 | 571.5 | 0.02294 | 33.738 |
| 0.1 | 207.23 | 38.651 | 587.9 | 0.02359 | 33.718 |
| 0.3 | 207.33 | 37.583 | 603.7 | 0.02422 | 33.686 |
| 0.5 | 207.38 | 37.087 | 611.4 | 0.02450 | 33.688 |
| average ± standard deviation | 207.22 ± 0.14 | 38.807 ± 1.569 | 586.3 ± 22.4 | 0.02353 ± 0.00088 | 33.718 ± 0.029 |
| , K s−1 | Slope in Equation (30) | Intercept in Equation (30) | kJ mol−1 | Intercept acc. Equation (14) | in s−1) acc. Equation (20) |
|---|---|---|---|---|---|
| 0.01 | 25043 | 40.115 | 208.21 | 40.054 * | 34.017 |
| 0.03 | 25069 | 39.072 | 208.42 | 38.999 | 34.010 |
| 0.1 | 25069 | 39.072 | 208.42 | 37.804 | 33.962 |
| 0.3 | 25106 | 36.843 | 208.73 | 36.776 | 33.980 |
| 0.5 | 25119 | 36.356 | 208.84 | 36.285 | 33.976 |
| average ± standard deviation | - | 38.29 ± 1.31 | 208.52 ± 0.23 | 37.984 ± 1.392 | 33.989 ± 0.021 |
| in Equation (33) | Intercept in Equation (33) | in s−1) | kJ mol−1 | |
|---|---|---|---|---|
| 0.1 | 24056 | 24.451 | 32.236 | 200.00 |
| 0.2 | 24052 | 24.451 | 32.231 | 199.97 |
| 0.3 | 24053 | 23.347 | 32.231 | 199.97 |
| 0.4 | 24054 | 23.062 | 32.234 | 199.99 |
| 0.5 | 24055 | 22.840 | 32.235 | 199.99 |
| 0.6 | 24062 | 22.668 | 32.246 | 200.05 |
| 0.7 | 24055 | 22.504 | 32.235 | 199.99 |
| 0.8 | 24055 | 22.371 | 32.236 | 200.00 |
| average ± standard deviation | - | - | 32.236 ± 0.004 | 200.00 ± 0.02 |
| , K·(60s)−1 | in Equation (36) | Intercept in Equation (36) | kJ·mol−1 | ( in s−1) | , K acc. Equation (23) | |
|---|---|---|---|---|---|---|
| 1 | 24,576 | 24.712 | 0.9994 | 204.32 | 15.81 | 876.3 |
| 3 | 24,651 | 23.798 | 0.9986 | 204.95 | 15.99 | 909.7 |
| 5 | 24,222 | 22.849 | 0.9988 | 201.38 | 15.57 | 927.6 |
| 7.5 | 24,612 | 22.837 | 0.9991 | 204.62 | 15.94 | 943.0 |
| 10 | 24,565 | 22.484 | 0.9992 | 204.23 | 15.88 | 954.6 |
| 15 | 24,685 | 22.176 | 0.9997 | 205.23 | 15.97 | 971.4 |
| 25 | 24,836 | 21.850 | 0.9997 | 206.49 | 16.15 | 990.6 |
| average± standard deviation | - | - | 204.46 ± 1.44 | 15.90 ± 0.17 | 939.0 ± 35.6 |
| Heating Rate q, K·(60s)−1 | K | acc. Equation (43) | K acc. Equation (42) | K [5] | |||
|---|---|---|---|---|---|---|---|
| 1 | 893.70 | 1.302 | 110.52 | 0.9993 | 0.0266 | 879.05 | 894.95 |
| 3 | 552.88 | 0.911 | 66.97 | 0.9999 | 0.0303 | 911.24 | 925.14 |
| 5 | 530.03 | 0.889 | 64.05 | 1.0000 | 0.0315 | 928.01 | 942.14 |
| 7.5 | 405.68 | 0.741 | 48.25 | 0.9999 | 0.0330 | 943.31 | 956.64 |
| 10 | 463.43 | 0.824 | 55.46 | 0.9999 | 0.0325 | 955.59 | 969.13 |
| 15 | 278.84 | 0.587 | 32.23 | 1.0000 | 0.0354 | 970.59 | 983.63 |
| 25 | 366.81 | 0.717 | 43.17 | 0.9999 | 0.0343 | 991.37 | 1004.62 |
| average± standard deviation | 0.0319 ± 0.0027 | 939.88 ± 34.88 |
| Equations/Table or Figures | K | K | K | Remarks |
|---|---|---|---|---|
| (65) | - | 914.29 | - | - |
| (66) | - | - | 1164.6 | - |
| (67) | 896.29 | - | - | - |
| Table 4 | 876.3–990.6 (939.0) | - | - | - |
| Table 5 | 879.05–991.37 (939.88) | - | - | - |
| Figure A1, Figure A2, Figure A3 and Figure A4 for q = const | - | 949.5–1060.6 | - | is only of correlation−statistical meaning |
| Figure A1, Figure A2, Figure A3 and Figure A4 for α = const | - | 1074.0–1298.4 | - | is higher for isoconversional method (α = const.) |
Disclaimer/Publisher’s Note: The statements, opinions and data contained in all publications are solely those of the individual author(s) and contributor(s) and not of MDPI and/or the editor(s). MDPI and/or the editor(s) disclaim responsibility for any injury to people or property resulting from any ideas, methods, instructions or products referred to in the content. |
© 2023 by the authors. Licensee MDPI, Basel, Switzerland. This article is an open access article distributed under the terms and conditions of the Creative Commons Attribution (CC BY) license (https://creativecommons.org/licenses/by/4.0/).
Share and Cite
Mianowski, A.; Radko, T.; Bigda, R. Isokinetic and Compensation Temperature in the Analysis of Thermal Dissociation of the Solid Phase under Dynamic Conditions. Energies 2023, 16, 5692. https://doi.org/10.3390/en16155692
Mianowski A, Radko T, Bigda R. Isokinetic and Compensation Temperature in the Analysis of Thermal Dissociation of the Solid Phase under Dynamic Conditions. Energies. 2023; 16(15):5692. https://doi.org/10.3390/en16155692
Chicago/Turabian StyleMianowski, Andrzej, Tomasz Radko, and Rafał Bigda. 2023. "Isokinetic and Compensation Temperature in the Analysis of Thermal Dissociation of the Solid Phase under Dynamic Conditions" Energies 16, no. 15: 5692. https://doi.org/10.3390/en16155692
APA StyleMianowski, A., Radko, T., & Bigda, R. (2023). Isokinetic and Compensation Temperature in the Analysis of Thermal Dissociation of the Solid Phase under Dynamic Conditions. Energies, 16(15), 5692. https://doi.org/10.3390/en16155692

