Method for Evaluating the Reliability and Competitive Failure of Wind Turbine Gearbox Bearings Considering the Fault Incubation Point
Abstract
1. Introduction
2. Introduction to Bearing Failure of Gearbox of Wind Turbine
3. Failure Modeling of Gearbox Bearing of Wind Turbines
3.1. Model Hypothesis
3.2. Fault Incubation Point of Gearbox Bearing Based on Weibull Distribution
3.3. Modeling of Gearbox Bearing Degradation Based on the Wiener Process
3.4. Random Impact Modeling
4. Reliability Model of Competitive Failure of Gearbox Bearings Considering Fault Incubation Point
4.1. Reliability When
4.2. Reliability When
4.2.1. Degenerate Soft Failure Reliability at
4.2.2. Reliability of Sudden Hard Failure When
4.2.3. Total Reliability When
5. Model Parameter Estimation
5.1. Parameter Estimation of Wiener Process
5.2. Parameter Estimation of Weibull Process
6. Results
6.1. Input Data
6.2. Model Parameters
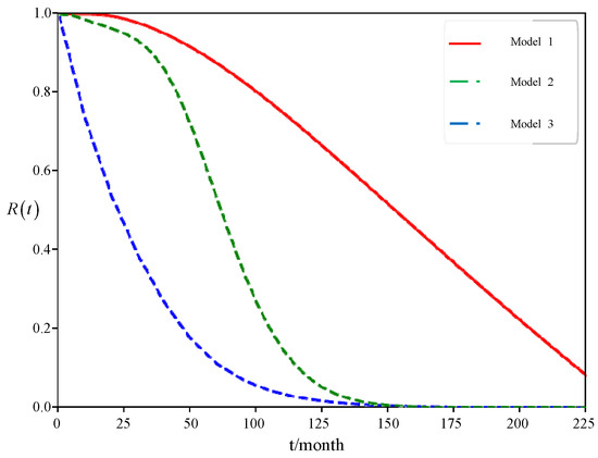
6.3. Assessment Result
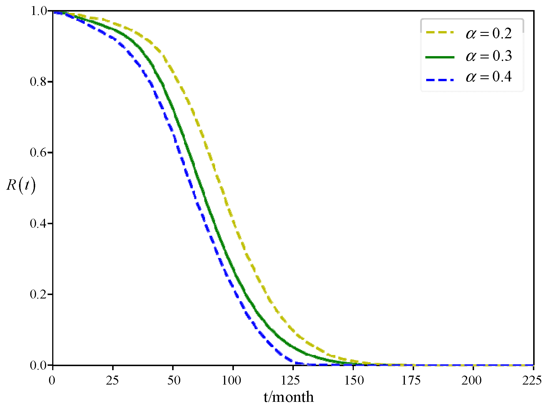
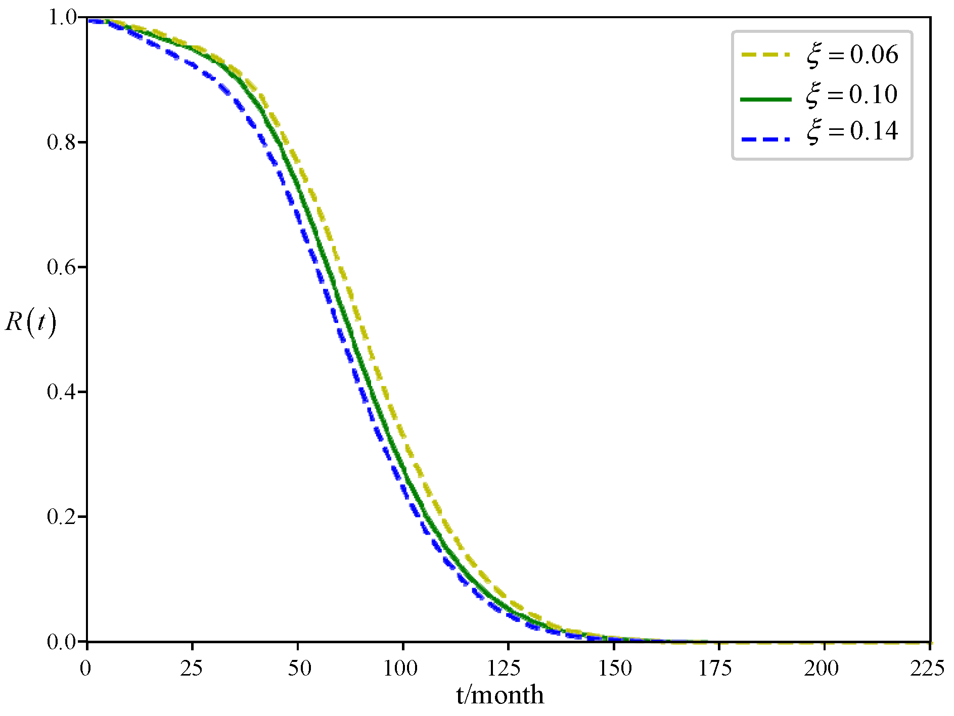
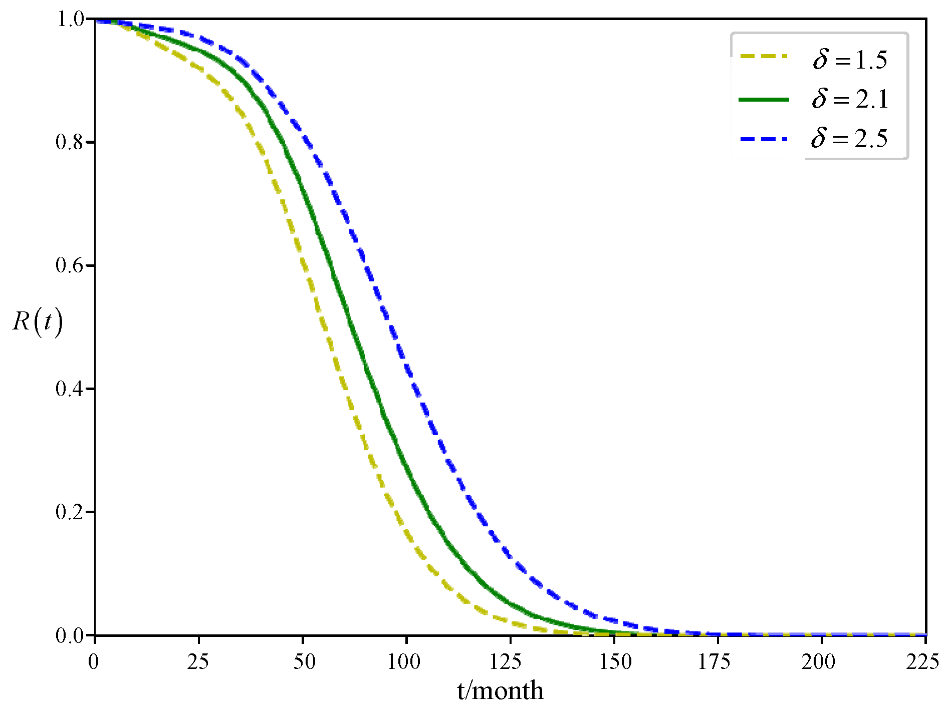
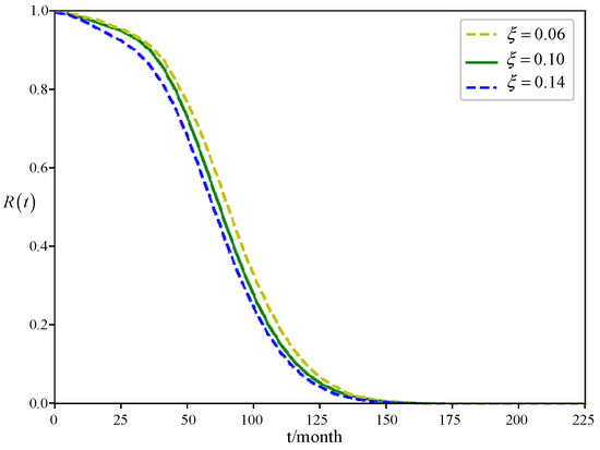
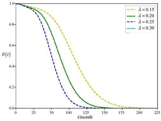
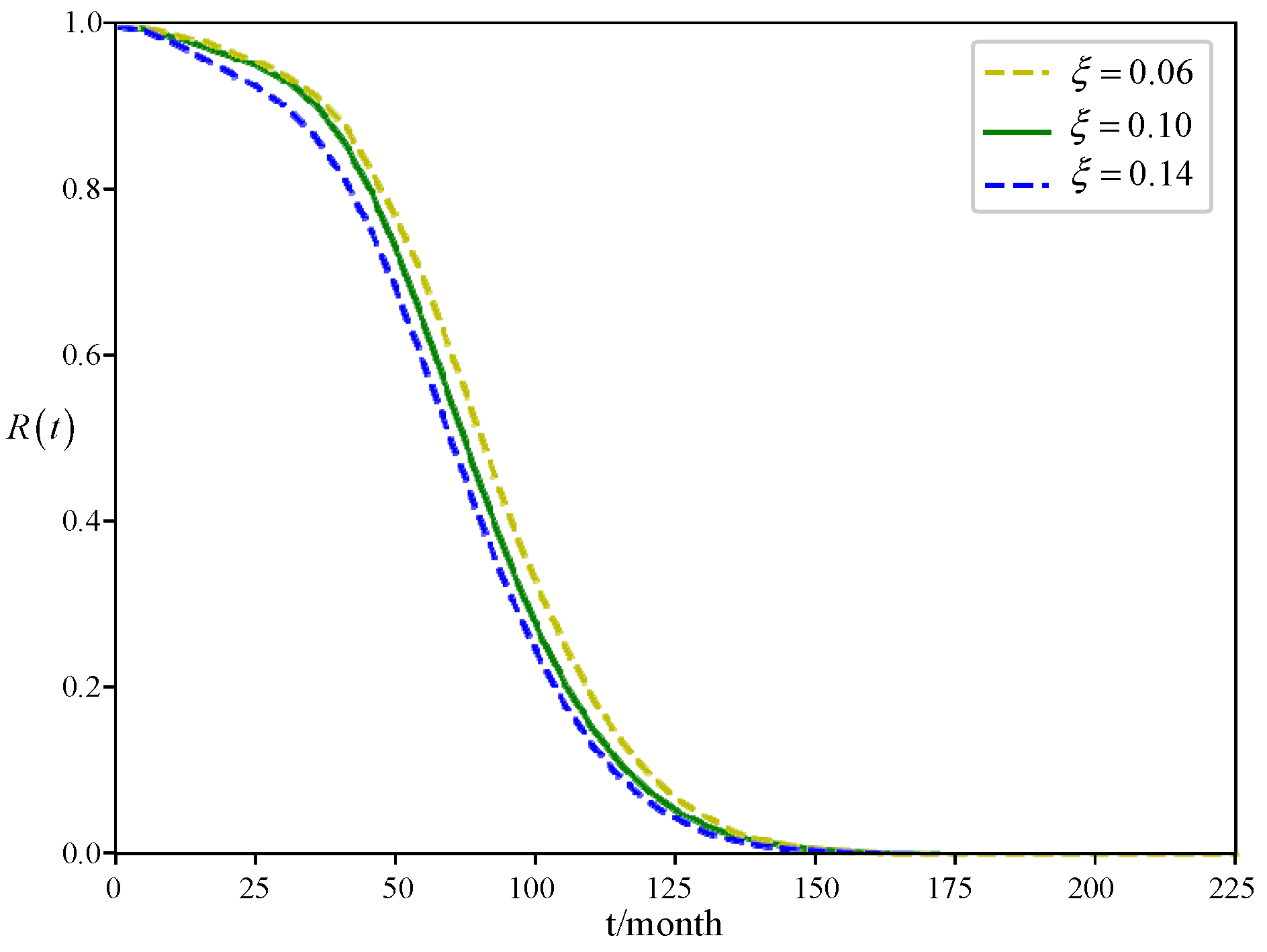
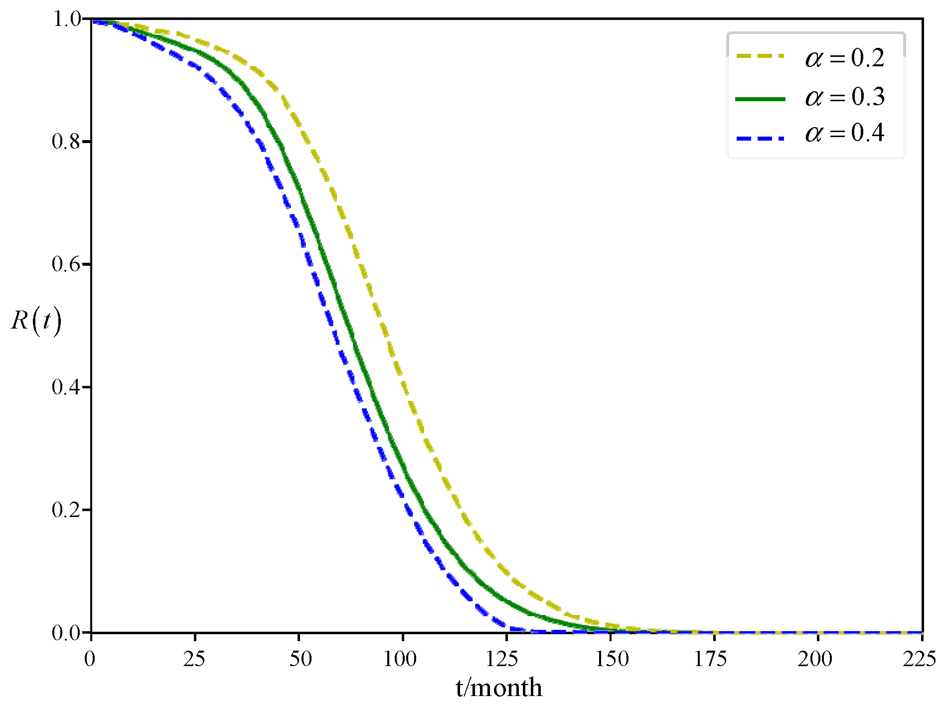
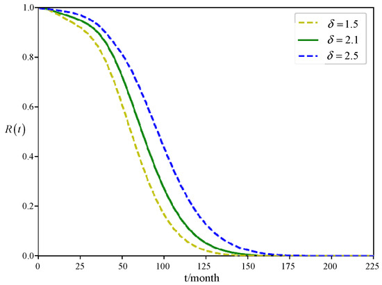
6.4. Parameter Sensitivity Analysis
7. Conclusions
- (1)
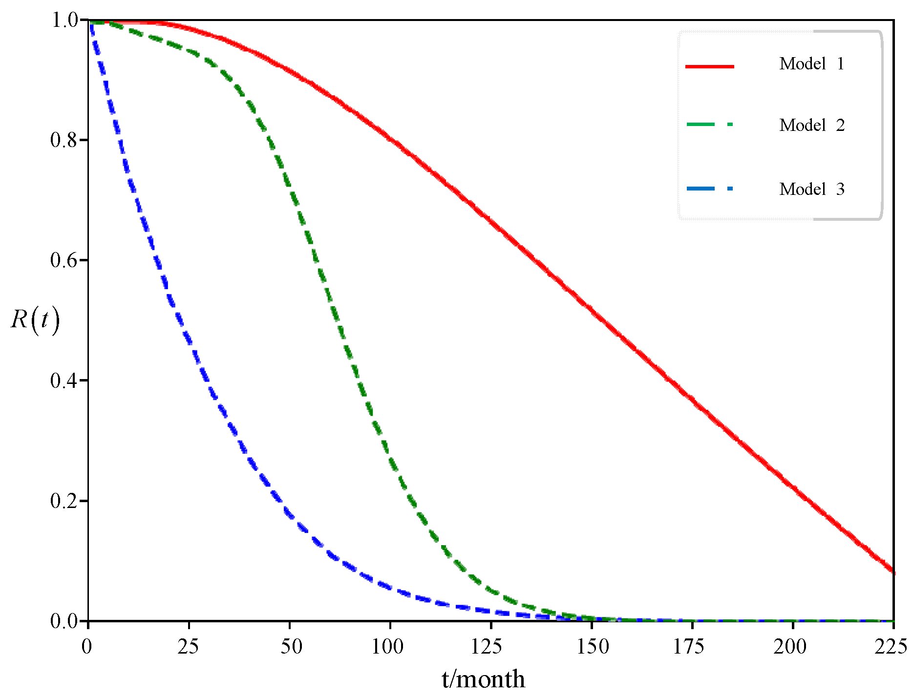
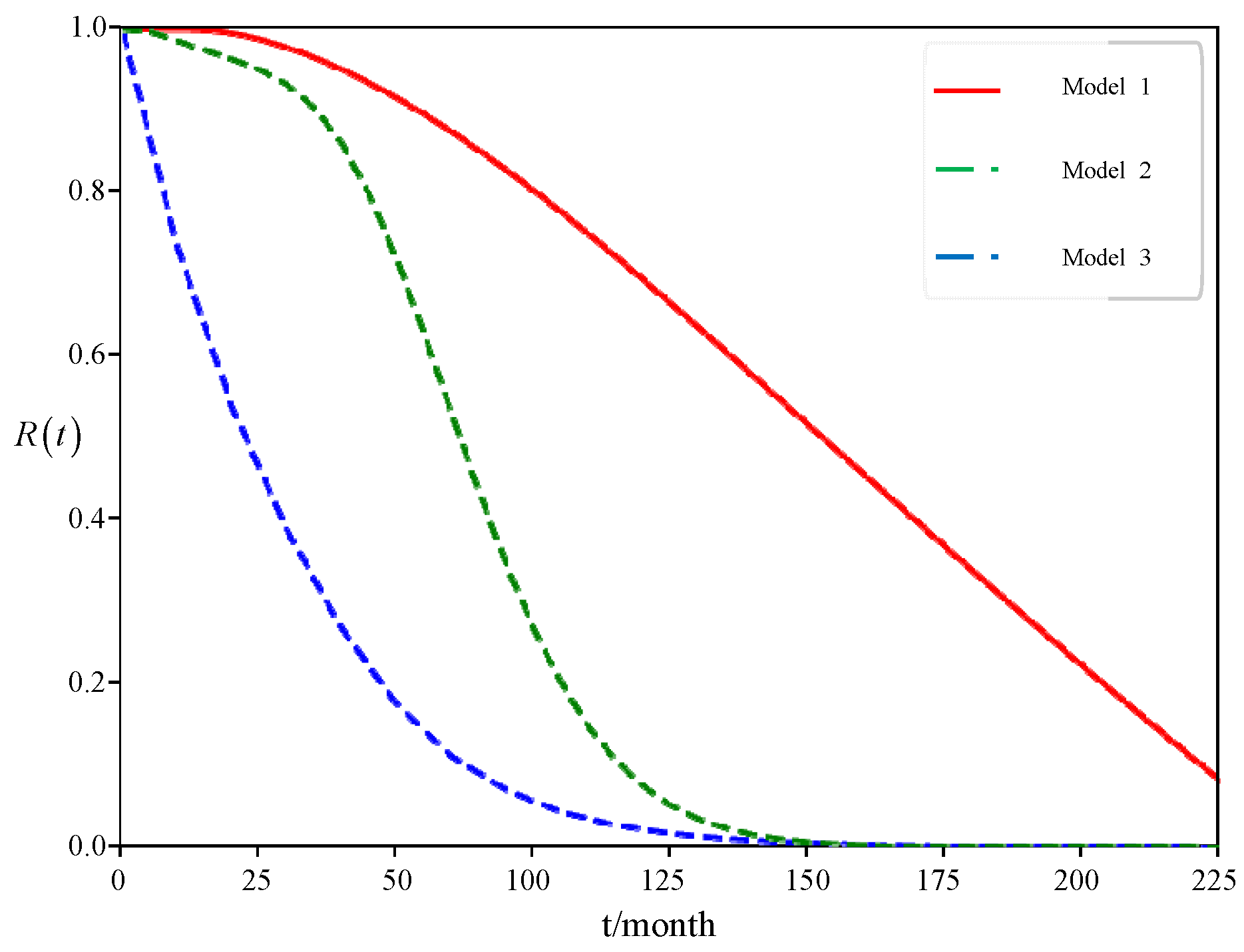
- A reliability model for the competitive failure of gearbox bearings of wind turbines considering the fault incubation point is proposed, and the accidental failure period and wear failure period of bearing degradation are considered at the same time, which can better describe the reliability decline process of gearbox bearings of wind turbines compared with a model only considering wear failure period. The simulation results show that the MTTF error of the proposed method is 3.5%, which is 41.2% and 42.7% lower than that of the existing methods that only consider natural degradation and competitive failure, respectively;
- (2)
- Sensitivity analysis of key parameters in the model is carried out. The results show that with the increase in value or the decrease in value , the decline speed of wind turbine gearbox bearing reliability is accelerated. Among them, the change in value has an obvious influence on the reliability of bearings, so if it is necessary to extend the service life of gearbox bearings, we must try to reduce the impact frequency ;
- (3)
- The limitation of the evaluation method proposed in this paper is that the evaluation process requires higher data quality. Higher data quality will make the results of the parameter estimation more consistent with the real distribution, and if the data quality is lower, the evaluation error may increase.
Author Contributions
Funding
Data Availability Statement
Conflicts of Interest
References
- Li, J.; Li, Q.; Zhu, J. Health condition assessment of wind turbine generators based on supervisory control and data acquisition data. IET Renew. Power Gener. 2019, 13, 1343–1350. [Google Scholar] [CrossRef]
- Bharani, R.; Sivaprakasam, A. A Review Analysis on Performance and Classification of Wind Turbine Gearbox Technologies. IETE J. Res. 2022, 68, 3341–3355. [Google Scholar] [CrossRef]
- Salameh, J.P.; Cauet, S.; Etien, E.; Sakout, A.; Rambault, L. Gearbox condition monitoring in wind turbines: A review. Mech. Syst. Signal Process. 2018, 111, 251–264. [Google Scholar] [CrossRef]
- Bhardwaj, U.; Teixeira, A.P.; Soares, C.G. Reliability prediction of an offshore wind turbine gearbox. Renew. Energy 2019, 141, 693–706. [Google Scholar] [CrossRef]
- Nilsson, J.; Bertling, L. Maintenance management of wind power systems using condition monitoring systems–life cycle cost analysis for two case studies. IEEE Trans. Energy Convers. 2007, 22, 223–229. [Google Scholar] [CrossRef]
- Nejad, A.; Guo, Y.; Gao, Z.; Moan, T. Development of a 5 MW reference gearbox for offshore wind turbines. Wind Energy 2016, 19, 1089–1106. [Google Scholar] [CrossRef]
- Haastrup, M.; Hansen, M.R.; Ebbesen, M.K. Modeling of Wind Turbine Gearbox Mounting. Model. Identif. Control 2011, 32, 141–149. [Google Scholar] [CrossRef]
- McMillan, D.; Ault, G.W. Techno-Economic Comparison of Operational Aspects for Direct Drive and Gearbox-Driven Wind Turbines. IEEE Trans. Energy Convers. 2010, 25, 191–198. [Google Scholar] [CrossRef]
- Xing, Y.; Moan, T. Multi-body modelling and analysis of a planet carrier in a wind turbines gearbox. Wind Energy 2013, 16, 1067–1089. [Google Scholar] [CrossRef]
- Dong, W.; Xing, Y.; Moan, T. Time domain modeling and analysis of dynamic gear contact force in a wind turbines gearbox with respect to fatigue assessment. Energies 2012, 5, 4350–4371. [Google Scholar] [CrossRef]
- Li, Y.Y.; Shen, Y.X. Gearbox Performance Degradation Assessment Under Variable Operating Conditions Based on Continuous Hidden Markov Model. Mach. Des. Res. 2021, 37, 106–109, 114. [Google Scholar] [CrossRef]
- Li, K.; Duan, Y.; Huang, S.P.; Zheng, S.M.; Liu, Z.; Wu, Y.; Zhou, C. Residual electrical life prediction of AC contactor based on the Wiener process. Proc. CSEE 2018, 38, 3978–3986. [Google Scholar] [CrossRef]
- Jin, X.H.; Li, J.H.; Sun, Y. Bearing remaining useful life prediction based on two- dimensional Wiener process. Chin. J. Sci. Instrum. 2018, 39, 89–95. [Google Scholar] [CrossRef]
- Liu, X.P.; Guo, B.; Cui, D.J.; Wu, Z.; Zhang, L. Q-precentile Life Prediction Basedon Bivariate Wiener Process for Gear Pumps with Small Sample Sizes. China Mech. Eng. 2020, 31, 1315–1322. [Google Scholar] [CrossRef]
- Deng, C.; Tao, Z.K.; Wu, J.; Qian, Y.; Xia, S. Residual life prediction for NC machine tool based on performance degradation. J. Mech. Eng. 2018, 54, 181–189. [Google Scholar] [CrossRef]
- Rahimikelarijani, B.; Hamidi, M.; Mohassel, A.; Craig, B. Imperfect Condition-Based Maintenance Strategy for a Deteriorating Rail Track System with Multiple Competitive Failure Modes. J. Transp. Eng. Part A Syst. 2020, 146, 04020088. [Google Scholar] [CrossRef]
- Wang, Z.L.; Huang, H.Z.; Li, Y.F.; Xiao, N.C. An Approach to Reliability Assessment Under Degradation and Shock Process. IEEE Trans. Reliab. 2011, 60, 852–863. [Google Scholar] [CrossRef]
- Yousefi, N.; Coit, D.W.; Song, S.; Feng, Q. Optimization of on-condition thresholds for a system of degrading components with competing dependent failure processes. Reliab. Eng. Syst. Saf. 2019, 192, 106547. [Google Scholar] [CrossRef]
- Hao, S.H.; Yang, J. Dependent Competing Failure Modeling for the GIL Subject to Partial Discharge and Air Leakage With Random Degradation Initiation Time. IEEE Trans. Reliab. 2018, 68, 1070–1079. [Google Scholar] [CrossRef]
- Xia, X.T.; Chang, Z.; Zhang, L.J.; Yang, X.W. Estimation on Reliability Models of Bearing Failure Data. Math. Probl. Eng. 2018, 2018, 6189527. [Google Scholar] [CrossRef]
- Pan, G.Z.; Guo, G.K.; Li, D.; Li, Y.; Li, Q.; Liu, W. A reliability analysis method based on the mixed correlated competition model considering multi-performance degradation and sudden failures. Eng. Fail. Anal. 2023, 146, 107126. [Google Scholar] [CrossRef]
- Qin, Y.K.; Zhang, X.H.; Zeng, J.C.; Shi, G.N.; Wu, B. Reliability analysis of mining machinery pick subject to competing failure processes under random load shock. J. China Coal Soc. 2022, 47, 3175–3188. [Google Scholar] [CrossRef]
- Zhao, C.C.; Li, K.; Hao, Y.Q.; Huang, S.P.; Liu, Z.J. Research on the reliability modeling method for low-voltage switches based on competing failure. Proc. CSEE 2020, 40, 7094–7106. (In Chinese) [Google Scholar] [CrossRef]
- Peng, H.; Feng, Q.M.; Coit, D.W. Reliability and maintenance modeling for systems subject to multiple dependent competing failure processes. IIE Trans. 2011, 43, 12–22. [Google Scholar] [CrossRef]
- Zhao, Q.; Yuan, Y.P.; Sun, W.L.; Wang, W.C.; Fan, P.P.; Zhao, J.L. Remaining Useful Life Analysis Of Gearbox Bearing Of Wind Turbines Based On Competition Failure. Acta Energiae Solaris Sin. 2021, 42, 438–444. [Google Scholar] [CrossRef]
- Pan, Y.B.; Hong, R.J.; Chen, J.; Singh, J.; Jia, X. Performance degradation assessment of a wind turbines gearbox based on multi-sensor data fusion. Mech. Mach. Theory 2019, 137, 509–526. [Google Scholar] [CrossRef]
- Wei, L.; Qian, Z.; Zareipour, H.; Zhang, F. Comprehensive aging assessment of pitch systems combining SCADA and failure data. IET Renew. Power Gener. 2022, 16, 198–210. [Google Scholar] [CrossRef]
- Kong, X.N.; Tang, J.Y.; Hu, Z.H.; Chen, S.Y.; Wang, Q.B. A new approach for analyzing internal load and fatigue life of deep groove ball bearing in high-speed gearbox system. J. Vib. Control 2022, 10. [Google Scholar] [CrossRef]
- Méndez-González, L.C.; Rodríguez-Picón, L.A.; Valles-Rosales, D.J.; Alvarado Iniesta, A.; Carreón, A.E.Q. Reliability analysis using exponentiated Weibull distribution and inverse power law. Qual. Reliab. Eng. Int. 2019, 35, 1219–1230. [Google Scholar] [CrossRef]
- Zhao, H.S.; Chang, J.Y.; Qu, Y.H.; Sun, C.Y.; Guo, X.M. Residual Life Prediction Method of Transformer Oil-Paper Insulation Based on Binary Nonlinear Wiener Random Process. Trans. China Electrotech. Soc. 2023, 1–11. [Google Scholar] [CrossRef]
- Wang, X.L.; Guo, B.; Chen, Z.J. Residual life estimation based on bivariate Wiener degradation process with measurement errors. J. Cent. South Univ. 2013, 20, 1844–1851. [Google Scholar] [CrossRef]
- Qin, Z.C.; Su, H.S. Reliability evaluation of key components of wind turbines based on improved Weibull distribution. Electr. Meas. Instrum. 2021, 58, 68–73. [Google Scholar] [CrossRef]
- Xia, Y.X.; Fang, Z.G. Degradation-Shock competing failure modeling considering randomness of failure threshold. J. Beijing Univ. Aeronaut. Astronaut. 2023, 1–14. [Google Scholar] [CrossRef]
- Hu, Q.G.; Gao, Z. System Reliability Modeling in Competitive Failure Considering Zoned Shock Effect. J. Syst. Simul. 2021, 33, 1070–1077. [Google Scholar] [CrossRef]
- Hu, Y.G.; Li, H.; Liao, X.L.; Song, E.B.; Ouyang, H.L.; Liu, Z.X. Performance degradation model and prediction method of real-time remaining life for wind turbines bearings. Proc. CSEE 2016, 36, 1643–1649. (In Chinese) [Google Scholar] [CrossRef]
- Gao, H.D.; Cui, L.R.; Qiu, Q.A. Reliability modeling for degradation-shock dependence systems with multiple species of shocks. Reliab. Eng. Syst. Saf. 2019, 185, 133–143. [Google Scholar] [CrossRef]
- Xie, C.P.; Chen, H.W.; Zhang, S.Q.; Li, G.L. Design characteristics of megawatt level turbine gearbox. Heavy Mach. 2012, 304, 59–62. [Google Scholar] [CrossRef]









| Bearing number | 1 | 2 | 3 | 4 | 5 | 6 |
| Life/months | 90 | 98 | 109 | 115 | 131 | 133 |
| Bearing number | 7 | 8 | 9 | 10 | 11 | 12 |
| Life/months | 135 | 144 | 153 | 157 | 170 | 183 |
| Model Parameter Description | Distribution Form | Parameter Estimation Value | Parameter Source |
|---|---|---|---|
| Natural degradation of gearbox bearing temperature | Wiener | Maximum likelihood estimate | |
| Random impact frequency | Possion | [36] | |
| Random impact strength | Normal | [36] | |
| Random impact coefficient | Constant | [36] | |
| Degenerate failure threshold | Constant | / | |
| Bearing impact resistance | Constant | [36] | |
| Degradation coefficient of impact resistance of bearings | Constant | [36] |
| Model 1 | Reliability model considering only natural degradation |
| Model 2 | Competitive failure reliability model considering fault incubation point |
| Model 3 | Reliability evaluation model considering only competitive failure |
| Models | MTTF/Months |
|---|---|
| Model 1 | 140.6 |
| Model 2 | 93.8 |
| Model 3 | 52.3 |
Disclaimer/Publisher’s Note: The statements, opinions and data contained in all publications are solely those of the individual author(s) and contributor(s) and not of MDPI and/or the editor(s). MDPI and/or the editor(s) disclaim responsibility for any injury to people or property resulting from any ideas, methods, instructions or products referred to in the content. |
© 2023 by the authors. Licensee MDPI, Basel, Switzerland. This article is an open access article distributed under the terms and conditions of the Creative Commons Attribution (CC BY) license (https://creativecommons.org/licenses/by/4.0/).
Share and Cite
Yang, W.; Wang, Y.; Liang, K.; Zhang, Y.; Lin, S.; Zhao, H. Method for Evaluating the Reliability and Competitive Failure of Wind Turbine Gearbox Bearings Considering the Fault Incubation Point. Energies 2023, 16, 5261. https://doi.org/10.3390/en16145261
Yang W, Wang Y, Liang K, Zhang Y, Lin S, Zhao H. Method for Evaluating the Reliability and Competitive Failure of Wind Turbine Gearbox Bearings Considering the Fault Incubation Point. Energies. 2023; 16(14):5261. https://doi.org/10.3390/en16145261
Chicago/Turabian StyleYang, Weixin, Yu Wang, Kai Liang, Yangfan Zhang, Shiyu Lin, and Hongshan Zhao. 2023. "Method for Evaluating the Reliability and Competitive Failure of Wind Turbine Gearbox Bearings Considering the Fault Incubation Point" Energies 16, no. 14: 5261. https://doi.org/10.3390/en16145261
APA StyleYang, W., Wang, Y., Liang, K., Zhang, Y., Lin, S., & Zhao, H. (2023). Method for Evaluating the Reliability and Competitive Failure of Wind Turbine Gearbox Bearings Considering the Fault Incubation Point. Energies, 16(14), 5261. https://doi.org/10.3390/en16145261
