Electric Water Heater Modeling for Large-Scale Distribution Power Systems Studies with Energy Storage CTA-2045 Based VPP and CVR
Abstract
:1. Introduction
2. Technology Review
3. Ultra-Fast Model for EWH and Energy Storage Employing CBECC-Res Typical Water Draw Profiles
4. Benchmark Distributions System with Representative HWD and Load
5. Conservation Voltage Reduction (CVR) EWH Simulations
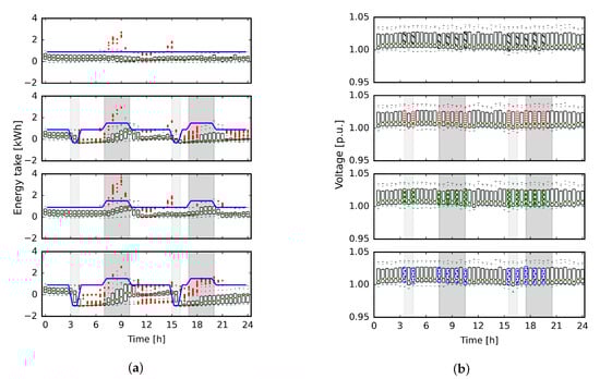
6. Daily VPP for a Full Day Schedule
7. Long-Term EWH VPP Feasibility Case Study
8. Discussion
8.1. Sequential Control Development
8.2. Large-Scale Energy Storage and Global Applications
9. Conclusions
Author Contributions
Funding
Acknowledgments
Conflicts of Interest
References
- Electricity in the United States Is Produced (Generated) with Diverse Energy Sources and Technologies. Technical Report, USA Energy Information Administration (EIA). Available online: https://www.eia.gov/energyexplained/electricity/electricity-in-the-us.php#:~:text=Most%20electricity%20is%20generated%20with%20steam%20turbines%20using,largest%20source%E2%80%94about%2038%25%E2%80%94of%20U.S.%20electricity%20generation%20in%202021 (accessed on 6 June 2023).
- Du, Z.; Liu, G.; Huang, X.; Xiao, T.; Yang, X.; He, Y.L. Numerical Studies on a Fin-foam Composite Structure Towards Improving Melting Phase Change. Int. J. Heat Mass Transf. 2023, 208, 124076. [Google Scholar] [CrossRef]
- Gong, H.; Rallabandi, V.; McIntyre, M.L.; Hossain, E.; Ionel, D.M. Peak Reduction and Long Term Load Forecasting for Large Residential Communities Including Smart Homes With Energy Storage. IEEE Access 2021, 9, 19345–19355. [Google Scholar] [CrossRef]
- Gómez, M.; Collazo, J.; Porteiro, J.; Míguez, J. Numerical Study of the Thermal Behaviour of a Water Heater Tank with a Corrugated Coil. Int. J. Heat Mass Transf. 2018, 122, 574–586. [Google Scholar] [CrossRef]
- Han, F.; Feng, D.; Xin, P.; Wang, W. Thermo-hydraulic Characteristics of Thermal Interface Induced by Natural Convection in Water Tank with Internal Heat Source. Int. J. Heat Mass Transf. 2023, 211, 124212. [Google Scholar] [CrossRef]
- CTA. CTA Standard: Modular Communications Interface for Energy Management; Technical Report; Consumer Technology Association (CTA): Arlington, VA, USA, 2020. [Google Scholar]
- Larson, B.; Kvaltine, N. Laboratory Assessment of Demand Response Characteristics of Two CO2 Heat Pump Water Heaters; Ecotope Inc.: Seattle, WA, USA, 2015. [Google Scholar]
- Liu, Q.; Bao, Y. Scheduling and Control of Massive Electric Water Heaters Based on Equivalent Energy Storage Model. In Proceedings of the 2021 IEEE 5th Conference on Energy Internet and Energy System Integration (EI2), Taiyuan, China, 22–24 October 2021; pp. 1928–1933. [Google Scholar] [CrossRef]
- IEEE PES Test Feeder: 123-BUS Feeder. Available online: https://cmte.ieee.org/pes-testfeeders/resources/ (accessed on 6 June 2023).
- Bandyopadhyay, A.; Conger, J.P.; Webber, M.E. Energetic Potential for Demand Response in Detached Single Family Homes in Austin, TX. In Proceedings of the 2019 IEEE Texas Power and Energy Conference (TPEC), College Station, TX, USA, 7–8 February 2019; pp. 1–6. [Google Scholar] [CrossRef]
- Abbas, A.O.; Chowdhury, B.H. A Stochastic Optimization Framework for Realizing Combined Value Streams From Customer-Side Resources. IEEE Trans. Smart Grid 2022, 13, 1139–1150. [Google Scholar] [CrossRef]
- Maguire, J.; Fang, X.; Wilson, E. Comparison of Advanced Residential Water Heating Technologies in the United States; Technical Report; National Renewable Energy Lab. (NREL): Golden, CO, USA, 2013. [Google Scholar]
- Mukherjee, M.; Bhattarai, B.; Hanif, S.; Pratt, R. Electric Water Heaters for Transactive Systems: Model Evaluations and Performance Quantification. IEEE Trans. Ind. Inform. 2022, 18, 5783–5794. [Google Scholar] [CrossRef]
- Porteiro, R.; Chavat, J.; Nesmachnow, S. A Thermal Discomfort Index for Demand Response Control in Residential Water Heaters. Appl. Sci. 2021, 11, 48. [Google Scholar] [CrossRef]
- Obi, M.; Metzger, C.; Mayhorn, E.; Ashley, T.; Hunt, W. Nontargeted vs. Targeted vs. Smart Load Shifting Using Heat Pump Water Heaters. Energies 2021, 14, 7574. [Google Scholar] [CrossRef]
- Maguire, J.; Roberts, D. Deriving Simulation Parameters for Storage-Type Water Heaters Using Ratings Data Produced from the Uniform Energy Factor Test Procedure; Technical Report; National Renewable Energy Lab. (NREL): Golden, CO, USA, 2021. [Google Scholar]
- Ritchie, M.J.; Engelbrecht, J.A.A.; Booysen, M.J. Centrally Adapted Optimal Control of Multiple Electric Water Heaters. Energies 2022, 15, 1521. [Google Scholar] [CrossRef]
- Amasyali, K.; Munk, J.; Kurte, K.; Kuruganti, T.; Zandi, H. Deep Reinforcement Learning for Autonomous Water Heater Control. Buildings 2021, 11, 548. [Google Scholar] [CrossRef]
- Moradzadeh, M.; Abdelaziz, M. Optimal Demand Control of Electric Water Heaters to Accommodate the Integration of Plug-in Electric Vehicles in Residential Distribution Networks. In Proceedings of the 2020 IEEE Canadian Conference on Electrical and Computer Engineering (CCECE), London, ON, Canada, 30 August–2 September 2020; pp. 1–6. [Google Scholar] [CrossRef]
- Moradzadeh, M.; Abdelaziz, M. Reducing the Loss of Life of Distribution Transformers Affected by Plug-In Electric Vehicles Using Electric Water Heaters. In Proceedings of the 2019 IEEE Canadian Conference of Electrical and Computer Engineering (CCECE), Edmonton, AB, Canada, 5–8 May 2019; pp. 1–5. [Google Scholar] [CrossRef]
- Ritchie, M.J.; Engelbrecht, J.A.; Booysen, M.J. Practically-Achievable Energy Savings with the Optimal Control of Stratified Water Heaters with Predicted Usage. Energies 2021, 14, 1963. [Google Scholar] [CrossRef]
- CTA-2045 Water Heater Demonstration Report including a Business Case for CTA-2045 Market Transformation; Technical Report; BPA Technology Innovation Project 336; Northwest Energy Efficiency Alliance: Portland, OR, USA, 2018.
- Gong, H.; Jones, E.S.; Jakaria, A.H.M.; Huque, A.; Renjit, A.; Ionel, D.M. Large-Scale Modeling and DR Control of Electric Water Heaters With Energy Star and CTA-2045 Control Types in Distribution Power Systems. IEEE Trans. Ind. Appl. 2022, 58, 5136–5147. [Google Scholar] [CrossRef]
- Wang, Z.; Begovic, M.; Wang, J. Analysis of Conservation Voltage Reduction Effects Based on Multistage SVR and Stochastic Process. In Proceedings of the 2014 IEEE PES General Meeting Conference & Exposition, National Harbor, MD, USA, 27–31 July 2014; p. 1. [Google Scholar] [CrossRef]
- Wang, Z.; Wang, J. Time-Varying Stochastic Assessment of Conservation Voltage Reduction Based on Load Modeling. IEEE Trans. Power Syst. 2014, 29, 2321–2328. [Google Scholar] [CrossRef]
- Wang, Z.; Wang, J. Review on Implementation and Assessment of Conservation Voltage Reduction. IEEE Trans. Power Syst. 2014, 29, 1306–1315. [Google Scholar] [CrossRef]
- Schneider, K.P.; Fuller, J.C.; Tuffner, F.K.; Singh, R. Evaluation of Conservation Voltage Reduction (CVR) on a National Level; Technical Report; Pacific Northwest National Lab. (PNNL): Richland, WA, USA, 2010. [Google Scholar]
- Jones, E.S.; Jewell, N.; Liao, Y.; Ionel, D.M. Optimal Capacitor Placement and Rating for Large-Scale Utility Power Distribution Systems Employing Load-Tap-Changing Transformer Control. IEEE Access 2023, 11, 19324–19338. [Google Scholar] [CrossRef]
- McNamara, M.; Feng, D.; Pettit, T.; Lawlor, D. Conservation Voltage Reduction/Volt Var Optimization EM&V Practices; Technical Report; Climate Protection Partnerships Division in EPA’s Office of Atmospheric Programs, DNV GL, The Cadmus Group: Waltham, MA, USA, 2017. [Google Scholar]
- Zhao, J.; Wang, Z.; Wang, J. Robust Time-Varying Load Modeling for Conservation Voltage Reduction Assessment. IEEE Trans. Smart Grid 2018, 9, 3304–3312. [Google Scholar] [CrossRef]
- Singh, S.; Babu, P.; Singh, S.P. Impact of Combined Operation of CVR and Energy Storage System in Distribution Grid. In Proceedings of the 2018 20th National Power Systems Conference (NPSC), Tiruchirappalli, India, 14–16 December 2018; pp. 1–6. [Google Scholar] [CrossRef]
- Ellens, W.; Berry, A.; West, S. A Quantification of the Energy Savings by Conservation Voltage Reduction. In Proceedings of the 2012 IEEE International Conference on Power System Technology (POWERCON), Auckland, New Zealand, 30 October–2 November 2012; pp. 1–6. [Google Scholar] [CrossRef]
- Jia, R.; Nehrir, M.H.; Pierre, D.A. Voltage Control of Aggregate Electric Water Heater Load for Distribution System Peak Load Shaving Using Field Data. In Proceedings of the 2007 39th North American Power Symposium, Las Cruces, NM, USA, 30 September–2 October 2007; pp. 492–497. [Google Scholar] [CrossRef]
- Pinney, D. Costs and Benefits of Conservation Voltage Reduction; National Rural Cooperative Association: Arlington, VA, USA, 2013. [Google Scholar]
- Lovas, T.; Pinney, D.; Miller, C. Costs and Benefits of Conservation Voltage Reduction. CVR Warrants Careful Examination; Technical Report DE-0E0000222; Cooperative Research Network, National Rural Electric Cooperative Association (NERCA), Department of Energy (DOE): Washington, DC, USA, 2014. [Google Scholar]
- Ritchie, M.; Engelbrecht, J.; Booysen, M. Impact of Node Count on Energy-optimal Control of Stratified Vertical Water Heaters in Smart Grid Applications. In Proceedings of the 2022 IEEE PES/IAS PowerAfrica, Kigali, Rwanda, 22–26 August 2022; pp. 1–5. [Google Scholar] [CrossRef]
- Xu, Z.; Diao, R.; Lu, S.; Lian, J.; Zhang, Y. Modeling of Electric Water Heaters for Demand Response: A Baseline PDE Model. IEEE Trans. Smart Grid 2014, 5, 2203–2210. [Google Scholar] [CrossRef]
- Thomas, C. Performance Test Results: CTA-2045 Water Heater; Technical Report 3002011760; Electric Power Research Institute (EPRI): Palo Alto, CA, USA, 2017. [Google Scholar]
- TVA Smart Community. Available online: https://www.tva.com/environment/environmental-stewardship/epa-mitigation-projects/smart-communities (accessed on 6 June 2023).
- CBECC-Res Compliance Software Project. Available online: http://www.bwilcox.com/BEES/cbecc2019.html (accessed on 6 June 2023).
- GMI. Electric Water Heater Market Size, by Product (Instant, Storage), by Application (Residential, Commercial [College/University, Office, Government/Military]), by Capacity, COVID-19 Impact Analysis & Global Forecast, 2022–2030; Technical Report GMI680; Global Market Insights (GMI): Selbyville, DA, USA, 2022. [Google Scholar]


















| Cases | Event | Energy Take [Wh] | Max Cap. [Wh] (Thermal) | |
|---|---|---|---|---|
| Min | Max | |||
| Baseline | Normal (Water draw dependent) | 0 | 300: >= 1 GPM | 300 |
| 600: >=0.3 GPM | 600 | |||
| 900: <0.3 GPM | 900 | |||
| No load-up | Shed | 1000 | 1500 | 1500 |
| Realistic load-up | load-up | −300 * | 0 | 1800 |
| Shed | 1000 | 1500 | ||
| Max load-up | load-up | −1000 * | 0 | 2500 |
| Shed | 1000 | 1500 | ||
| CVR Case | Aggregate EWH Energy [MWh] | Average Individual EWH Energy [kWh] | Daily Energy Reduction [%] | CVR Factor [-] |
|---|---|---|---|---|
| V p.u. 1.05 | 1.639 | 1.139 | 0.04 | −0.008 |
| V p.u. 1.00 | 1.640 | 1.138 | - * | - * |
| V p.u. 0.95 | 1.638 | 1.137 | 0.07 | 0.014 |
| V p.u. 0.90 | 1.643 | 1.140 | −0.18 | −0.018 |
Disclaimer/Publisher’s Note: The statements, opinions and data contained in all publications are solely those of the individual author(s) and contributor(s) and not of MDPI and/or the editor(s). MDPI and/or the editor(s) disclaim responsibility for any injury to people or property resulting from any ideas, methods, instructions or products referred to in the content. |
© 2023 by the authors. Licensee MDPI, Basel, Switzerland. This article is an open access article distributed under the terms and conditions of the Creative Commons Attribution (CC BY) license (https://creativecommons.org/licenses/by/4.0/).
Share and Cite
Alden, R.E.; Gong, H.; Rooney, T.; Branecky, B.; Ionel, D.M. Electric Water Heater Modeling for Large-Scale Distribution Power Systems Studies with Energy Storage CTA-2045 Based VPP and CVR. Energies 2023, 16, 4747. https://doi.org/10.3390/en16124747
Alden RE, Gong H, Rooney T, Branecky B, Ionel DM. Electric Water Heater Modeling for Large-Scale Distribution Power Systems Studies with Energy Storage CTA-2045 Based VPP and CVR. Energies. 2023; 16(12):4747. https://doi.org/10.3390/en16124747
Chicago/Turabian StyleAlden, Rosemary E., Huangjie Gong, Tim Rooney, Brian Branecky, and Dan M. Ionel. 2023. "Electric Water Heater Modeling for Large-Scale Distribution Power Systems Studies with Energy Storage CTA-2045 Based VPP and CVR" Energies 16, no. 12: 4747. https://doi.org/10.3390/en16124747
APA StyleAlden, R. E., Gong, H., Rooney, T., Branecky, B., & Ionel, D. M. (2023). Electric Water Heater Modeling for Large-Scale Distribution Power Systems Studies with Energy Storage CTA-2045 Based VPP and CVR. Energies, 16(12), 4747. https://doi.org/10.3390/en16124747

