Next Article in Journal
Power Plant Transients including Hydraulic Short Circuit Operation Mode
Next Article in Special Issue
Design of a Direct-Liquid-Cooled Motor and Operation Strategy for the Cooling System
Previous Article in Journal
Simultaneous Hydrogen and Ethanol Production from Crude Glycerol by a Microbial Consortium Using Fed-Batch Fermentation
Previous Article in Special Issue
Application of Active Disturbance Rejection in a Bearingless Machine with Split-Winding
 
 
Font Type:
Arial Georgia Verdana
Font Size:
Aa Aa Aa
Line Spacing:
Column Width:
Background:
Article

High-Precision Acquisition Method of Position Signal of Permanent Magnet Direct Drive Servo Motor at Low Speed

1
College of Mechanical and Electrical Engineering, Nanjing University of Aeronautics and Astronautics, Nanjing 211106, China
2
College of Automation, Nanjing University of Aeronautics and Astronautics, Nanjing 211106, China
*
Author to whom correspondence should be addressed.
Energies 2023, 16(11), 4491; https://doi.org/10.3390/en16114491
Submission received: 16 April 2023 / Revised: 28 May 2023 / Accepted: 30 May 2023 / Published: 2 June 2023
(This article belongs to the Special Issue Regulations and Advances in High Performance Electric Motor and Drive)

Abstract

This paper studies a method for high-precision acquisition of position signals for permanent magnet direct drive servo motors at low speed. First of all, the problem of poor position feedback accuracy and sensor feedback delay in the low-speed operation of the permanent magnet direct drive servo motor is analyzed. Secondly, through analysis and simulation, it is found that the interpolation method can play a certain role in compensating the rotor position signal. However, when the speed is close to 0, the output signal of the sensor will fluctuate in a short time, which will affect the speed control accuracy. Therefore, this paper uses the observer method to achieve high-precision acquisition of the position signal of the permanent magnet direct drive servo motor at low speed. The observer method adopts the idea of combining the system model and closed-loop control. Additionally, it makes full use of the parameter information of the motor system. The control performance of the motor can be better guaranteed through the design of the observer parameters and the accuracy of the rotor position estimation result has been greatly improved. Finally, an experimental platform for permanent magnet direct drive servo motors is built, and the rotor position signal acquisition method based on the observer method is verified to have good performance through simulation and experiments. Not only the accuracy of the rotor position estimation result is improved, but also the motor control performance is improved, realizing the stable operation of the permanent magnet direct drive servo motor at low speed.

1. Introduction

Most applications of permanent magnet direct drive servo motors require high precision. For example, the positioning accuracy of aerospace equipment generally needs to reach arc-second level or even sub-arc-second level [1,2]. For the space optical communication turntable, the speed should be a few tenths of a degree per second, and the stability should be about 2.5% [3]. This requires higher-precision position measurement components, but the improvement of sensor accuracy often increases the product volume, the processing difficulty and the manufacturing cost. Moreover, due to the influence of quantization error and limited detection accuracy, the calculation of position/speed at ultra-low speed often has problems of large errors and delays. Accurate feedback signals are the basis of high-performance control. If the feedback delay is large and the precision is low, the effect of the control strategy will be greatly reduced, and it will be difficult to meet the high-performance requirements of fast dynamic response and low-speed stable operation. Therefore, in order to achieve high-precision control of permanent magnet direct drive servo motors, it is necessary to conduct in-depth research on low-latency position/speed acquisition technology with limited precision.
Low-latency position/speed acquisition techniques can be mainly divided into non-model-based interpolation fitting algorithms and model-based observer methods. Interpolation fitting methods include the least square method, the average speed method and the average acceleration method, etc.
Marquette scholars in the United States proposed to use the least square method to process low-resolution position signals [4], which improved the continuity and stability of the signal. However, when the motor starts, it is difficult to estimate the rotor position and speed effectively using this method.
Japanese scholar Morimoto proposed the average speed method [5], and successfully applied it to the permanent magnet synchronous motor drive. Scholars at Ohio State University simplified this algorithm and implemented it through software codes [6]. However, during the actual operation of the motor, external disturbances and torque fluctuations have a certain impact on the acceleration of the motor, resulting in large dynamic errors, and it is difficult to achieve a better closed-loop control of the motor speed. Therefore, the research team at the University of Rome in Italy proposed the average acceleration method [7] that introduces the acceleration reference, which can effectively reduce errors and improve the accuracy of speed and position estimation. At the same time, the fitting method based on deep learning has also become a hot research topic. The literature [8] proposed the transfer learning based on representation learning. The literature [9] proposed a novel variational auto-encoder long short-term memory network and a local weighted deep sub-domain adaptation network. The fitting effect has been significantly increased.
Although the interpolation fitting method can improve the accuracy of the rotor position signal, there is a certain lag and noise in the speed estimation result compared with the actual speed in the control of the speed loop. Therefore, it is difficult for the difference fitting method to achieve good results in applications that require high dynamic control performance of the motor speed. Many different observer design methods have emerged under the continuous learning and innovation of scholars at home and abroad. Model-based observer methods mainly include the full-order state observer method, the extended Kalman filter method and the sliding mode observer method.
American engineer R. E. Kalman first proposed the Kalman filter, which can directly deal with random noise interference using a recursive method and has low dependence on the model [10]. However, it has poor performance at low speeds and large observation errors. Today, the Kalman filter method has been optimized in combination with various algorithms. The literature [11] proposed a novel adaptive approach based on the Kalman filter and the expectation maximum with Rauch–Tung–Striebel which accurately predicts the RUL of the battery. The literature [12] proposes a novel expectation maximization unscented particle filter Wilcoxon rank sum test approach which experimental results represent as the approach that outperforms some existing data-driven methods.
Japanese scholars first proposed the sliding mode control theory. Sliding mode control does not require high accuracy of the model and has certain robustness, so it is more suitable for a permanent magnet synchronous motor control system [13]. Since this method estimates the rotor position through the back electromotive force, the decrease in the magnitude and frequency of the back electromotive force when the speed decreases leads to a large error at low speeds [14].
The full-order state observer uses the mathematical model of the motor to calculate the estimated value of the current state of the system through the directly measurable state of the motor. When the system model is completely accurate with the initial state, the full-order observer can estimate the system state without bias [15]. The extended state observer improved on this basis has also been widely used. The literature [16] proposed a nonlinear rotor position estimation method based on an extended state observer and introduced ideas such as variable structure control to improve the dynamic performance of a faulty motor without position control. The literature [17] aimed at the problem of high-performance control of permanent magnet synchronous motors without position sensors in the full speed range and proposed a hybrid position estimation strategy based on extended state observer (ESO) load torque compensation, which improved the system’s anti-disturbance performance. The literature [18] proposed a motor control method based on a finite-time state observer, which improved the robustness of the permanent magnet synchronous motor system and improved the problem of motor rotor position tracking performance due to load changes. The literature [19] proposed a feedback gain design criterion to ensure the low-speed stable operation of the observer, which improved the dynamic and static performance of the sensorless vector control system in the low-speed region. The literature [20] proposes an adaptive robust control strategy with an event trigger mechanism and an extended state observer. The extended state observer is used to estimate the velocity value and mismatched external disturbance, which improves the performance of position tracking control.
The full-order observer can use the observed motor position, speed and disturbance torque information as the feedback acquisition link of the speed control to achieve more precise control of the motor. Moreover, the observation performance of the full-order observer at low speed is better [21,22,23], which is very suitable for the research of this paper.
This paper first analyzes the problems existing in the low-speed operation of the permanent magnet direct drive servo motor. Then, by analyzing the difference method, it can play a certain role in compensating the rotor position signal, but it also has certain shortcomings. When the motor speed is close to 0, the output signal of the sensor will fluctuate in a short time, which will affect the speed control accuracy. Based on the above analysis, the observer method is proposed to realize the acquisition of the position signal of the permanent magnet direct drive servo motor at low speed. Because the observer method adopts the idea of the combining system model and closed-loop control, it makes full use of the parameter information of the motor system. Therefore, the accuracy of the rotor position estimation results is improved, the stability of speed control is enhanced, and the motor control performance is significantly enhanced. This paper starts with the special structure of the direct drive motor and finds the existing position detection accuracy problem. The innovative application of the extended state observer to the rotor position estimation of the permanent magnet direct drive servo motor has produced very significant results. The position signal acquisition accuracy of the permanent magnet direct drive servo motor during low-speed operation is improved. The control stability of permanent magnet direct drive servo motors is significantly increased.

2. Motor Position Feedback Acquisition Problem at Low Speed

The traditional servo system consists of a high-speed motor plus a reduction mechanism. Because it has an intermediate reduction mechanism, the motor can still run at medium and high speeds when driving low-speed loads. However, for a direct drive servo system, when driving a low-speed load, the speed of the motor is the speed of the load. Therefore, the low-speed or ultra-low-speed operation of the motor is an important state that the direct drive servo system needs to face. For example, the laser communication following system in the aerospace servo requires the motor to rotate at a speed of 0.01 r/min or even lower; the antenna tracks the turntable, and the minimum speed of the motor reaches 0.0017 r/min. In astronomical observation, in order to overcome the influence of the earth’s rotation on the observation, the motor needs to rotate at an ultra-low speed of 1 r/24 h [24]. This paper takes the aerospace servo system as the research object, uses a resolver suitable for harsh environments and analyzes the problems existing in the acquisition of the resolver position feedback signal in detail.
The resolver changes the primary and secondary windings by rotating the rotor, so that the output voltage changes with the rotor position. Then, the rotor position signal is obtained by solving the output voltage. After years of development, resolvers and their decoding algorithms have been integrated, represented by the AD2S series resolver decoding chips, which can provide a maximum resolution of 16 bits. When the decoding accuracy of the resolver is selected as 16 bits, its position feedback resolution is:
θ c = 2 π 2 16 = 2 π 65536 9.587 × 10 5 rad
The speed control cycle is selected as 2 kHz. If the control speed is 0.1 r/min, the motor rotor position moves ΔθTs in each speed control cycle Ts:
Δ θ T s = 0.1 2 π 60 1 2000 5.236 × 10 6 rad
Comparing Equations (1) and (2), it can be seen that when the control speed is 0.1 r/min, the position signal of the position sensor with 16-bit resolution remains unchanged in more than ten control cycles. This will seriously affect the speed control accuracy at low speeds and greatly weaken the controller performance.
At the same time, in the actual digital control system, due to the time it takes for the chip to process data and the delay in obtaining the position signal by the DSP, this also aggravates the position signal acquisition error. The rotor position update map is shown in the Figure 1.
If the rotor position tracking control (RPTC) is used, Δ θ m in the figure is the sampling error of the DSP position signal. At this time, it is used as the feedback of the rotor position tracking control, which will inevitably affect the control performance. There is an error Δ θ m in the feedback input. The transfer function of the RPTC controller is shown in Equation (3).
lim s 0   s θ p * ( s ) θ ( s ) = lim s 0   s [ 1 Φ ( s ) ] R s = 0
In the above equation, θ p * ( s ) is any point on the position trajectory, which is a certain value; θ(s) is the actual position; R is the amplitude of the step command; Φ(s) is the closed-loop transfer function of the system.
Assume that the system output perfectly tracks the input to analyze the effect of position feedback errors.
The system input and output error is:
θ * θ m = Δ θ + Δ θ m
In the above equation, θ* is the given position trajectory.
The transfer function from input to output of RPTC control system is:
H ( s ) = θ ( s ) θ * ( s ) = 2 λ s + 1 K T λ 2 s 2 + 2 λ s + 2 K T + 1
In the above equation, θ*(s) is the dynamic position setting, which is a variable; KT is the torque current constant; and λ is the filter time constant.
The magnitude of the control error caused by the position measurement error can be expressed as:
Δ θ c = Δ θ m H ( s ) = Δ θ m θ ( s ) θ * ( s ) = Δ θ m 1 + 4 λ 2 ω 2 4 λ 2 ω 2 + ( 2 K T + 1 K T λ 2 ω 2 )
Δ θ m Δ θ m 1 / 2 K T + 1 when ω →0 and Δ θ c →0 when ω →∞. Therefore, at low speed, the position feedback measurement error will seriously affect the position control performance of the system.

3. Traditional Interpolation Fitting Method and its Disadvantage Analysis

In order to solve the problem of motor position feedback acquisition at low speed and improve the accuracy of rotor position feedback, the traditional position signal compensation method is the interpolation fitting method.

3.1. Average Acceleration Interpolation

In this paper, the motor uses a resolver to measure the position. The 16-bit digital signal output is decoded using the AD2S80 decoding chip. Within the scope of one revolution of the motor, its output signal is divided into 65,536 parts. Even at low speeds, the position detection period Tp is still a small value. It can be assumed that the acceleration of the motor remains unchanged in one speed control cycle, and the motor speed in the next control cycle can be estimated from this acceleration, that is, the average acceleration method.
It is assumed that the two consecutive position signal update times of the motor are Tp1 and Tp2, respectively. The average acceleration of the motor in these two intervals can be calculated as ω 1 and ω 2 , so the average acceleration is α 1 = ( ω 2 - ω 1 ) / T . According to the acceleration, the speed in the next interval can be estimated as:
ω ^ 3 = ω 2 + a 1 T = 2 ω 2 ω 1
At the same time, in order to make better use of the position sensor signal, before the output signal of the decoding chip is updated, the position interpolation value does not exceed the last position signal feedback value + 1. If the position signal value after interpolation exceeds this value, the position feedback signal is limited to the last position signal feedback value + 1 until the next decoding chip output signal is updated. When the motor reverses, the interpolated position signal will not exceed the previous position signal feedback value − 1 before the next decoding chip output signal is updated.

3.2. Polynomial Fit Interpolation

The average acceleration method regards the motor acceleration as a constant, so the motor position is considered as a quadratic function curve with respect to time. There is a certain gap between this and the actual motor position trajectory, and the error is relatively large in practical applications. In order to get closer to the actual position trajectory of the motor, the curve fitting method based on numerical analysis is introduced into the position signal interpolation algorithm. In order to minimize the complexity of the interpolation algorithm, reduce the unknown coefficients in the polynomial and ensure a more accurate simulation of the position trajectory, a cubic polynomial fitting method is selected for analysis.
The cubic spline interpolation function is defined: if (n + 1) nodes 𝑎 = 𝑥0 < 𝑥1 < ⋯ < 𝑥n = 𝑏 are given in the interval [a, b]. At the same time there is a function y = f(x) which has function values 𝑓(𝑥0), 𝑓(𝑥1), ⋯, 𝑓(𝑥n) at these points. The function S ( x ) satisfies that it is a cubic polynomial in each interval and is second-order derivable. Integrating the second derivative of S(x) twice in succession gives:
S ( x ) = M j ( x j + 1 x ) 3 6 h j + M j + 1 ( x x j ) 3 6 h j + ( y j M j h j 2 6 ) x j + 1 x h j + ( y j + 1 M j + 1 h j 2 6 ) x x j h j
Mj and Mj+1 are the function values of the function S(x) at points xj and xj+1, respectively. hj is the width of the interval [xj, xj+1].
The first derivative of S(x) has the characteristic of being continuous on the small interval [𝑥j, 𝑥j+1], so the following relationship can be obtained by derivation:
h j 1 6 M j 1 + h j 1 3 M j + y j y j 1 h j 1 = h j 3 M j h j 6 M j + 1 + y j + 1 y j h j
According to the previous n nodes, (n − 1) equations in the form of Equation (8) can be written. By combining them with Equation (9), the value of the unknown Mj (j = 0, 1, ..., n − 1) in Equation (8) can be solved. Since two nodes cannot guarantee the accuracy of the algorithm and four nodes will greatly increase the complexity of the algorithm, it is not conducive to the realization of the algorithm. Therefore, this paper selects three nodes, that is, the signal of the position sensor is updated twice. When the position update is detected for the second time, the value of the interpolation function S(x) is calculated, and then the future rotor position of the motor is calculated according to the speed control period Ts.
The control strategy block diagram of improving the position feedback accuracy using an interpolation algorithm is shown in Figure 2.

3.3. Analysis of Disadvantages

In order to illustrate the disadvantages of the traditional interpolation method, the corresponding simulation model is built in Simulink for analysis. The simulation parameters are shown in Table 1. A position sensor module is built to simulate the stepped position signal collected when the actual DSP works. The simulation results are shown in Figure 3.
It can be seen from Figure 3b that the interpolation algorithm can play a certain role in compensating the position signal when the motor runs smoothly. However, when the speed is close to 0, the unstable control of the motor will lead to positive and negative fluctuations in the speed, as shown in Figure 3d. At this time, the output signal of the sensor will fluctuate back and forth in a short period of time, which makes the interpolation algorithm based on the historical data of the position signal have a large estimation error, which seriously affects the accuracy of the position signal acquisition. This point can be clearly seen from the enlarged Figure 3d; this position error will cause the motor speed fluctuation, which manifests as multiple small peak speed fluctuations in Figure 3b,c.
The position signal compensation method based on the average acceleration method has problems in ultra-low speed operation, and the polynomial interpolation algorithm does not use the information of the motor itself, and the estimation results of the interpolation algorithm have certain lag and noise. At the same time, the interpolation algorithm cannot work in the first few speed control cycles of the motor starting, which will inevitably cause the starting current distortion of the motor and affect the starting performance. The observer method makes full use of the relevant information of the motor and uses the closed-loop control idea to ensure system stability and error convergence. The accuracy of the rotor position estimation results is greatly improved compared with the interpolation method. At the same time, the collaborative design of the feedforward compensation channel can also improve the antidisturbance performance of the system and improve the stability of the motor speed. In this paper, the observer is applied to the high-precision acquisition of the position signal of the permanent magnet direct drive servo motor at low speed, and it will be introduced in detail below.

4. Position Signal Acquisition Strategy Based on Position Observation

Many different observer design methods have emerged under the continuous learning and innovation of scholars at home and abroad. It is mainly divided into two categories: the state observer design based on the mechanical motion principle and the state observer design based on the back electromotive force principle. The former is mainly full-order/reduced-order state observers and extended state observers, and the latter is mainly extended Kalman filter and sliding mode observers. The full-order observer can observe the position of the motor as a feedback acquisition link for speed control. Additionally, it has better observation performance at low speed and can realize stable speed control, which is very suitable as the research object of this paper.

4.1. Position Signal Acquisition Strategy Based on Full-Order State Observer

First, a full-order observer is established for the motor system. The system state quantity x = [ θ , ω , T d ] T is selected, and the observer output quantity y = θ. In addition, the load torque TL is counted as a part of the disturbance torque Td. Write the mechanical motion equation of the motor in the form of the space state equation:
x ˙ = A x + B u y = C x
The mechanical equation of motion of the motor is:
J d ω d t = T e T L B a ω
In the above equation, J is the moment of inertia; Ba is the drag coefficient; Te is the electromagnetic torque; TL is the load torque.
Among them, the coefficient matrices A, B, C and the control variable u are, respectively:
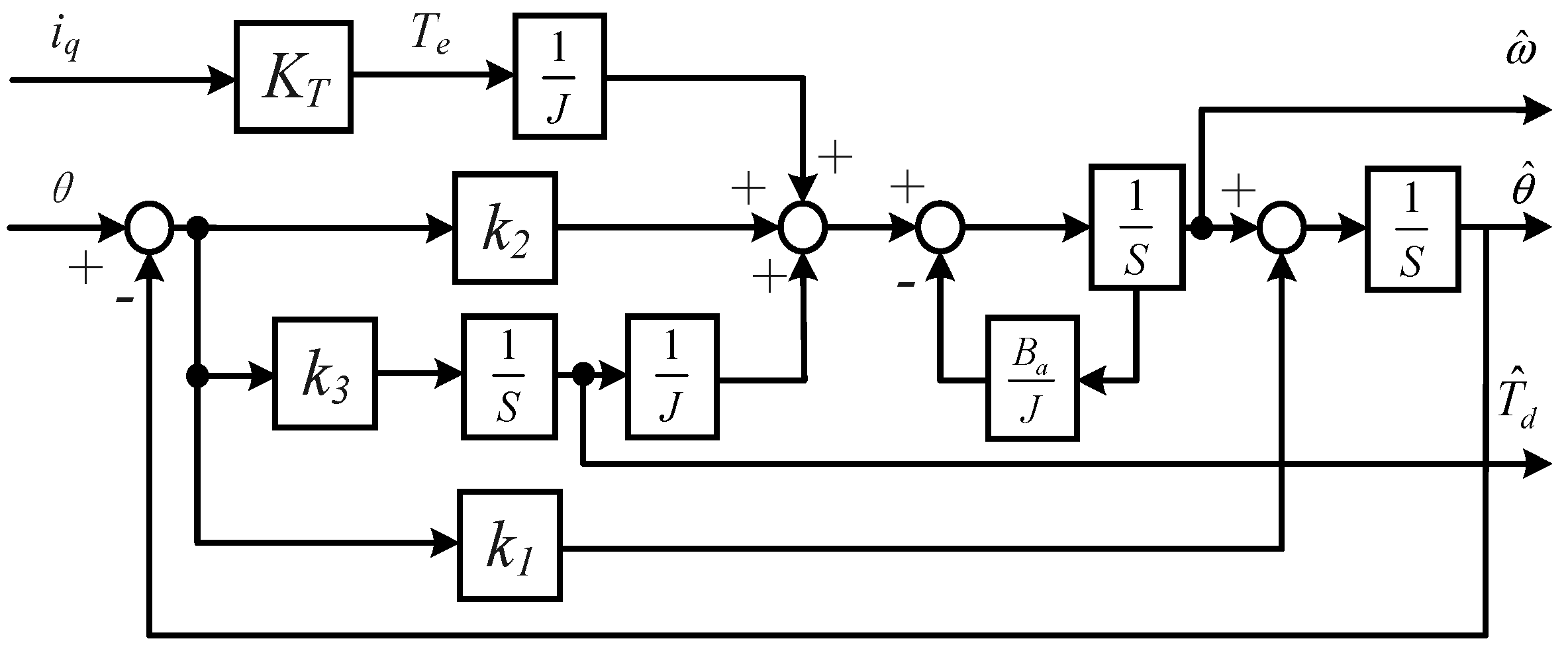
A = 0 1 0 0 B a J 1 J 0 0 0 , B = 0 1 J 0 , C = 1 0 0 , u = T e
Then the full-order observer is:
x ^ ˙ = A x ^ + B u + K ( y y ^ ) y ^ = C x ^
Among them, x ^ and y ^ represent the estimated value of the state quantity and the output quantity of the observer, respectively. K is the observer feedback gain matrix and K = [ k 1 , k 2 , k 3 ] T is defined. The error is defined as e = x x ^ . Then there are:
d e d t = ( A K C ) e = k 1 1 0 k 2 B a J 1 J k 3 0 0 e
The characteristic equation corresponding to Equation (14) is:
det ( s I ( A K C ) ) = s 3 + ( k 1 + B a J ) s 2 + ( k 1 B a J + k 2 ) s k 3 J = 0
It can be seen from Equation (15) that the poles of the characteristic equation are configured by setting different parameters k1, k2, k3 to meet the error convergence speed required by the system. In this paper, the poles of the characteristic equation are configured in the form of multiple roots, and the poles are set at −ω0, which can ensure the stability of the observer and the convergence of the error. The observer gain matrix can be approximated as:
K = k 1 k 2 k 3 = 3 ω 0 3 ω 0 2 3 ω 0 J ω 0 3
where ω0 is the observer bandwidth. The full-order state observer structure designed according to Equation (12) can be represented by Figure 4:
The full-order observer makes full use of various state information of the motor and realizes high-precision tracking of the position signal through error closed-loop feedback. Compared with the interpolation method that cannot obtain the system disturbance information, the full-order observer can estimate and use the system disturbance information Td, which significantly improves the observation accuracy of the position signal. Further considering the form of disturbance, the full-order observer can theoretically realize static-difference-free observation of fixed disturbances. However, in practical applications, disturbances often appear in more complex forms, such as step, sinusoidal and so on. This requires the observer to have a certain ability to track time-varying disturbances, that is, better dynamic performance. The direct method is to expand the state quantity of the motor system.

4.2. Position Signal Acquisition Strategy Based on Extended State Observer

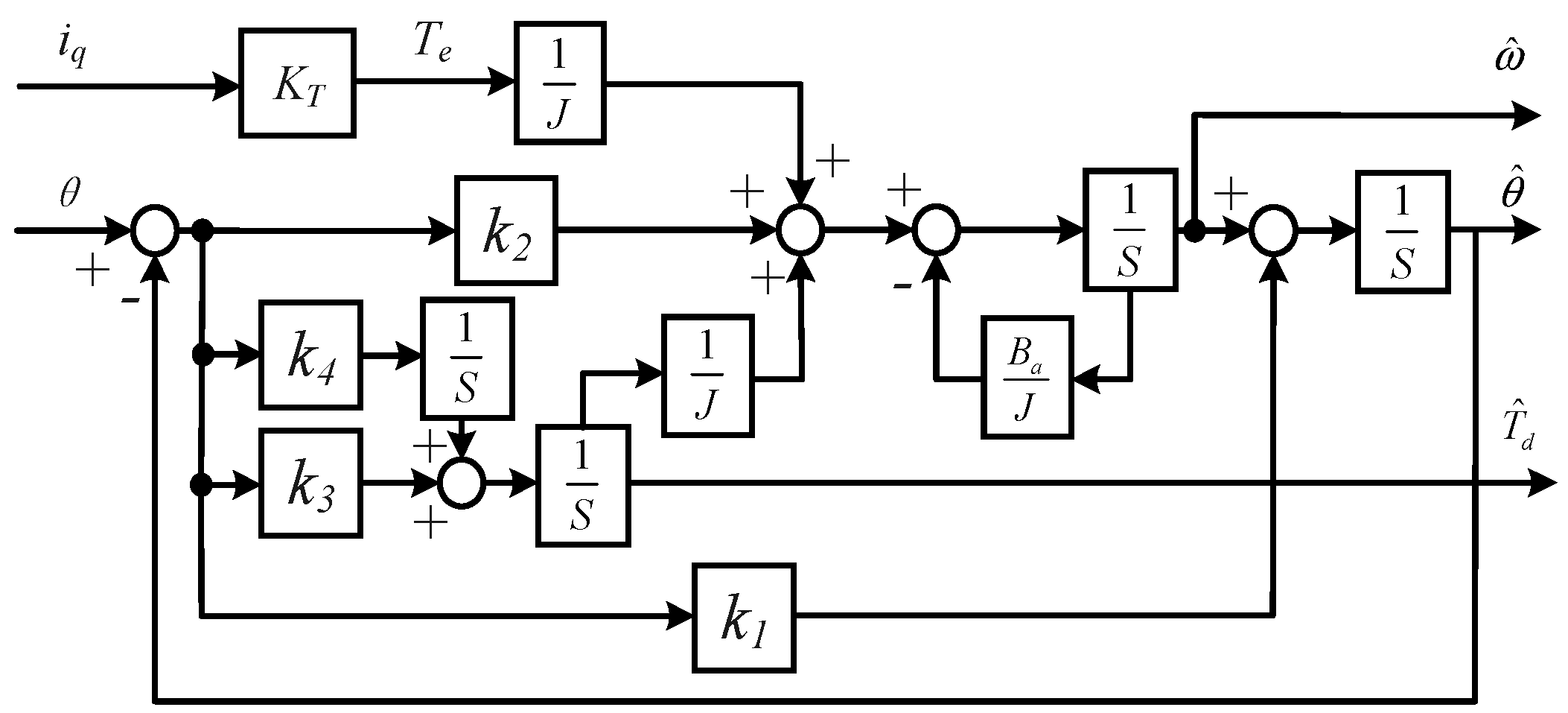
The derivative of the external disturbance T ˙ d is introduced as a new state quantity, thus forming an extended state observer. At this time, the new system state variable x 1 = [ θ , ω , T d , T ˙ d ] T and output y = ω. The system state equation is updated as:
θ ˙ ω ˙ T ˙ d T ¨ d = 0 1 0 0 0 B a J 1 J 0 0 0 0 1 0 0 0 0 θ ω T d T ˙ d + 0 1 J 0 0 T e
Further lead to the fourth-order extended state observer:
θ ^ ˙ ω ^ ˙ T ^ ˙ d T ˙ ^ ˙ d = 0 1 0 0 0 B a J 1 J 0 0 0 0 1 0 0 0 0 θ ^ ω ^ T ^ d T ˙ ^ d + 0 1 J 0 0 T e + k 1 k 2 k 3 k 4 ( θ θ ^ )
Draw the extended state observer structure as shown in Figure 5:
Similarly, by solving the characteristic equation of the observer state error and configuring appropriate poles, the tracking performance of the observer to the position signal is met. The poles of the characteristic equation are configured in the form of multiple roots, and the poles are set at −ω0. The observer gain matrix can be approximated as:
K = k 1 k 2 k 3 k 4 = 4 ω 0 6 ω 0 2 4 ω 0 4 J ω 0 3 J ω 0 4
The fourth-order extended state observer introduces the disturbance derivative into the state quantity, realizes the static error-free tracking of the slope disturbance and can effectively improve the dynamic performance of the observer. Similarly, the second derivative of the disturbance can be further introduced as a new state quantity. In this way, a fifth-order extended state observer is realized to improve the tracking performance of the observer for complex disturbances. However, as the order of the observer increases, its sensitivity to high-frequency noise gradually increases. Therefore, in practical applications, it is necessary to select the order of the observer reasonably according to the system uncertainty and speed control requirements.
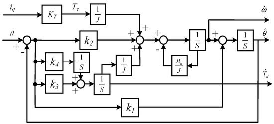
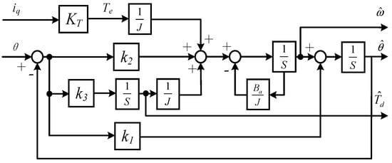
The block diagram of position acquisition and speed control strategy based on observer compensation is shown in Figure 6:

5. Simulation and Experiment

5.1. Simulation

In order to verify the effectiveness of the observer method for the high-precision acquisition of position signals of permanent magnet direct drive servo motors at low speeds, a full-order observer and a fourth-order extended state observer model were built in Simulink and used for position observation. The simulation results are shown in Figure 7.
As shown in Figure 7, using the observer to compensate the position signal can effectively improve the accuracy of the position signal and will not cause the observation error of the position signal when the motor is running forward and reverse. Compared with the interpolation method, when the given speed is 0.1 r/min, the actual speed of the interpolation method fluctuates within the range of [−0.1 r/min~0.3 r/min]. The rotational speed fluctuates within the range of [0 r/min~0.2 r/min] after compensation by the full-order observer. After using the extended state observer to compensate, the actual speed fluctuation range is smaller, the speed is more stable and the motor control performance is better. It can be seen from the position enlargement diagrams in the compensation of the two observers in Figure 8 that the position signal estimation accuracy of the extended state observer is higher than that of the full-order observer. Additionally there is almost no error between the actual position and the given position. Therefore, the control performance of the motor becomes better.

5.2. Experimental Verification

In order to experimentally verify the high-precision acquisition method of the low-speed operating position signal of the permanent magnet servo motor in this paper, an experimental platform for the permanent magnet direct drive servo motor as shown in Figure 8 was built. The hardware of the experimental platform includes: motor driver, permanent magnet direct drive motor and load motor to drag platform. Among them, the main power module, sampling, protection and control circuits form a permanent magnet direct drive motor driver. The driver is composed of four circuit boards in total, which are the core control board, the communication adapter board, the data acquisition board, the power supply and power board.
In order to verify the effectiveness of the position signal acquisition strategy based on the position observer, an ultra-low speed operation experiment was carried out on the experimental platform. The given speed is 0.1 r/min and a load of 0.08 Nm is added in the middle of the experiment. The experimental results are shown in Figure 9.
It can be seen from the figure that the output signal of the position sensor is stepped, and there is a certain delay in its position feedback. At the ultra-low speed of 0.1 r/min, the effect of this delay is more obvious. The motor speed cannot follow the reference, and the steady state fluctuates greatly. The maximum fluctuation of the speed is 1 r/min, and the average speed of the motor is basically stable in the range of [−0.1 r/min~0.2 r/min]. It can be seen from the rotational speed diagram in Figure 10 that when the observer performs position feedback, the actual rotational speed is basically stable at 0.1 r/min with little fluctuation. From the enlarged view of the rotor position in Figure 10, it can be seen that the estimation result of the position observer is more accurate than the output of the sensor, which can effectively reduce the position feedback delay and improve the speed control accuracy. At the same time, the speed stability after adding the extended state observer has been greatly improved compared with before and the speed stability control of the permanent magnet direct drive servo motor has been realized.

6. Conclusions

First of all, this article analyzes the difficulty of obtaining the position signal of the motor at low speed and the influence of the delay of the position signal on the control, and quantifies the influence of the position signal acquisition error on the control of the motor speed with the formula. The commonly used interpolation method for position signal compensation is analyzed and simulated. It is found that when the permanent magnet servo motor is running at low speed, the output signal of the sensor will fluctuate in a short time, which will affect the speed control accuracy. This paper proposes to apply the observer to obtain the rotor position signal of the permanent magnet servo motor. It can make full use of the information of the motor itself to improve the accuracy of the position signal acquisition. The extended state observer is used to estimate the position of the motor, which is used as the closed loop of the system’s position feedback to the given position of the position loop. Finally, the effectiveness of the permanent magnet servo motor observer method for low-speed operation and high-precision position acquisition is verified using simulation experiments. In addition, the fitting method and better filter method based on deep learning may bring better results and we will conduct further in-depth research in the future.

Author Contributions

D.Z. and Z.G. (Zitao Guo) were responsible for the writing of the methodology, simulation verification, and experiments in the paper. The supervision, review and editing of the papers were mainly carried out by Z.D., F.B. and Z.G. (Zijie Gu) All authors have read and agreed to the published version of the manuscript.

Funding

This work was supported in part by the Fundamental Research Funds for the Central Universities of China under Grant NS2021019.

Data Availability Statement

The data used to support the findings of this study are available from the corresponding author upon request.

Conflicts of Interest

The authors declare no conflict of interest.

References

  1. Khatri, F.I.; Robinson, B.S.; Semprucci, M.D.; Boroson, D.M. Lunar Laser Communication Demonstration operations architecture. Acta Astronaut. 2015, 111, 77–83. [Google Scholar] [CrossRef]
  2. Wang, J.; Wang, G.; Bai, R.; Li, B.; Zhou, Y. Ground simulation method for arbitrary distance optical transmission of a free- space laser communication system based on an optical fiber nanoprobe. J. Opt. Commun. Netw. 2017, 9, 1136–1144. [Google Scholar] [CrossRef]
  3. Biswas, A.; Srinivasan, M.; Rogalin, R.; Piazzolla, S.; Liu, J.; Schratz, B.; Wong, A.; Alerstam, E.; Wright, M.; Roberts, W.T.; et al. Status of NASA’s deep space optical communication technology demonstration. In Proceedings of the 2017 IEEE International Conference on Space Optical Systems and Applications (ICSOS), Naha, Japan, 14–16 November 2017. [Google Scholar] [CrossRef]
  4. SLiu, S.B.; Giusti, A.; Althoff, M. Velocity Estimation of Robot Manipulators: An Experimental Comparison. IEEE Open J. Control. Syst. 2023, 2, 1–11. [Google Scholar] [CrossRef]
  5. Guo, C.; Gao, X.; Zhang, Q.; Zhu, Y. Fault Tolerance Method of Low-Resolution Hall Sensor in Permanent Magnet Synchronous Machine. IEEE Access 2022, 10, 119162–119169. [Google Scholar] [CrossRef]
  6. Wu, Z.; Zuo, S.; Huang, Z.; Hu, X.; Chen, S.; Liu, C.; Zhuang, H. Effect of Hall Errors on Electromagnetic Vibration and Noise of Integer-Slot Inset Permanent Magnet Synchronous Motors. IEEE Trans. Transp. Electrif. 2023, 9, 522–533. [Google Scholar] [CrossRef]
  7. Oh, S.; Park, J.; Jung, H.; Lee, K.; Lim, H. A Method for Improving Initial Driving Vibration of Electric Scooter with Low Resolution Position Sensors. In Proceedings of the 2022 25th International Conference on Electrical Machines and Systems (ICEMS), Chiang Mai, Thailand, 29 November–2 December 2022. [Google Scholar] [CrossRef]
  8. Zhang, J.; Jiang, Y.; Li, X.; Huo, M.; Luo, H.; Yin, S. An adaptive remaining useful life prediction approach for single battery with unlabeled small sample data and parameter uncertainty. Reliab. Eng. Syst. Saf. 2022, 222, 108357. [Google Scholar] [CrossRef]
  9. Zhang, J.; Jiang, Y.; Li, X.; Luo, H.; Yin, S.; Kaynak, O. Remaining Useful Life Prediction of Lithium-Ion Battery with Adaptive Noise Estimation and Capacity Regeneration Detection. IEEE/ASME Trans. Mechatron. 2023, 28, 632–643. [Google Scholar] [CrossRef]
  10. Cavus, B.; Aktas, M. MPC-Based Flux Weakening Control for Induction Motor Drive with DTC for Electric Vehicles. IEEE Trans. Power Electron. 2023, 38, 4430–4439. [Google Scholar] [CrossRef]
  11. Zhang, J.; Zhang, K.; An, Y.; Luo, H.; Yin, S. An Integrated Multitasking Intelligent Bearing Fault Diagnosis Scheme Based on Representation Learning Under Imbalanced Sample Condition. IEEE Trans. Neural Netw. Learn. Syst. 2023, 1–12. [Google Scholar] [CrossRef]
  12. Zhang, J.; Li, X.; Tian, J.; Jiang, Y.; Luo, H.; Yin, S. A variational local weighted deep sub-domain adaptation network for remaining useful life prediction facing cross-domain condition. Reliab. Eng. Syst. Saf. 2023, 231, 108986. [Google Scholar] [CrossRef]
  13. Sun, X.; Tang, X.; Tian, X.; Wu, J.; Zhu, J. Position Sensorless Control of Switched Reluctance Motor Drives Based on a New Sliding Mode Observer Using Fourier Flux Linkage Model. IEEE Trans. Energy Convers. 2022, 37, 978–988. [Google Scholar] [CrossRef]
  14. Liu, J.M.; Zhu, Z.Q. Novel sensorless control strategy with injection of high-frequency pulsating carrier signal into stationary reference frame. IEEE Trans. Ind. Appl. 2014, 50, 2574–2583. [Google Scholar] [CrossRef]
  15. Bernardes, T.; Montagner, V.F.; Grundling, H.A.; Pinheiro, H. Discrete-time sliding mode observer for sensorless vector control of permanent magnet synchronous machine. IEEE Trans. Ind. Electron. 2014, 61, 1679–1691. [Google Scholar] [CrossRef]
  16. Bounasla, N.; Barkat, S.; Benyoussef, E.; Tounsi, K. Sensorless sliding mode control of a five-phase PMSM using extended Kalman filter. In Proceedings of the 2016 8th International Conference on Modelling, Identification and Control (ICMIC), Algiers, Nigeria, 15–17 November 2016. [Google Scholar] [CrossRef]
  17. Wang, G.; Liu, R.; Zhao, N.; Ding, D.; Xu, D. Enhanced linear ADRC strategy for HF pulse voltage signal injection-based sensorless IPMSM drives. IEEE Trans. Power Electron. 2018, 34, 514–525. [Google Scholar] [CrossRef]
  18. Fu, D.; Zhao, X.; Zhu, J. A novel robust super-twisting nonsingular terminal sliding mode controller for permanent magnet linear synchronous motors. IEEE Trans. Power Electron. 2022, 37, 2936–2945. [Google Scholar] [CrossRef]
  19. Ismail, S.; Shabri, A.; Samsudin, R. A hybrid model of Self-organizing Maps (SOM) and Least Square Support Vector Machine (LSSVM) for time-series forecasting. Expert Syst. Appl. 2011, 38, 10574–10578. [Google Scholar] [CrossRef]
  20. Shen, W.; Liu, S.; Liu, M. Adaptive sliding mode control of hydraulic systems with the event trigger and finite-time disturbance observer. Inf. Sci. 2021, 569, 55–69. [Google Scholar] [CrossRef]
  21. De Angelo, C.; Bossio, G.; Solsona, J.; Garcia, G.; Valla, M. Mechanical sensorless speed control of permanent-magnet AC motors driving an unknown load. IEEE Trans. Ind. Electron. 2006, 53, 406–414. [Google Scholar] [CrossRef]
  22. Ying, F.; Li, Z. A wide-speed mode observer for sensorless direct torque control of a new self-decelerating permanent magnet in-wheel motor. Trans. China Electrotech. Soc. 2014, 29, 141–148. [Google Scholar]
  23. Solsona, J.; Valla, M. Disturbance and nonlinear Luenberger observers for estimating mechanical variables in permanent magnet synchronous motors under mechanical parameters uncertainties. IEEE Trans. Ind. Electron. 2003, 50, 717–725. [Google Scholar] [CrossRef]
  24. Fei, W.; Luk, P.C.-K. Torque ripple reduction of a direct-drive permanent-magnet synchronous machine by material-efficient axial pole pairing. IEEE Trans. Ind. Electron. 2012, 59, 2601–2611. [Google Scholar] [CrossRef]
Figure 1. Motor rotor position update diagram.
Figure 1. Motor rotor position update diagram.
Energies 16 04491 g001
Figure 2. Control block diagram of rotor position signal acquisition based on interpolation method.
Figure 2. Control block diagram of rotor position signal acquisition based on interpolation method.
Energies 16 04491 g002
Figure 3. Interpolation method for estimating position simulation results. (a) is the sensor output position feedback. (b) is the average acceleration interpolation method. (c) is the cubic spline interpolation method. (d) is the partial enlargement of (b,c).
Figure 3. Interpolation method for estimating position simulation results. (a) is the sensor output position feedback. (b) is the average acceleration interpolation method. (c) is the cubic spline interpolation method. (d) is the partial enlargement of (b,c).
Energies 16 04491 g003
Figure 4. Full-order state observer structure diagram.
Figure 4. Full-order state observer structure diagram.
Energies 16 04491 g004
Figure 5. Fourth order extended state observer structure diagram.
Figure 5. Fourth order extended state observer structure diagram.
Energies 16 04491 g005
Figure 6. Block diagram of position signal acquisition strategy based on observer compensation.
Figure 6. Block diagram of position signal acquisition strategy based on observer compensation.
Energies 16 04491 g006
Figure 7. Simulation results of observer based position signal interpolation strategy. (a) is the full-order observer compensation. (b) is the extended state observer compensation.
Figure 7. Simulation results of observer based position signal interpolation strategy. (a) is the full-order observer compensation. (b) is the extended state observer compensation.
Energies 16 04491 g007
Figure 8. Overall hardware diagram of the experimental platform.
Figure 8. Overall hardware diagram of the experimental platform.
Energies 16 04491 g008
Figure 9. Position sensor for feedback experiment.
Figure 9. Position sensor for feedback experiment.
Energies 16 04491 g009
Figure 10. Extended state observer for feedback experiment.
Figure 10. Extended state observer for feedback experiment.
Energies 16 04491 g010
Table 1. Basic parameters of permanent magnet direct drive motors.
Table 1. Basic parameters of permanent magnet direct drive motors.
ParameterNumerical
Value
ParameterNumerical
Value
Rated voltage24 VRotational inertia5.58 kg·mm2
Rated current0.35 ADamping coefficient5.12 × 10−6
Rated speed2650 r/minDC Bus Voltage31 V
Stator resistance2 ΩSpeed control frequency2 kHz
Stator inductance1.23 mHSwitching frequency20 kHz
Polar logarithm4Rated torque60 mNm
Linkage0.013 WbPeak cogging torque42 mNm
Disclaimer/Publisher’s Note: The statements, opinions and data contained in all publications are solely those of the individual author(s) and contributor(s) and not of MDPI and/or the editor(s). MDPI and/or the editor(s) disclaim responsibility for any injury to people or property resulting from any ideas, methods, instructions or products referred to in the content.

Share and Cite

MDPI and ACS Style

Zhang, D.; Dong, Z.; Bu, F.; Gu, Z.; Guo, Z. High-Precision Acquisition Method of Position Signal of Permanent Magnet Direct Drive Servo Motor at Low Speed. Energies 2023, 16, 4491. https://doi.org/10.3390/en16114491

AMA Style

Zhang D, Dong Z, Bu F, Gu Z, Guo Z. High-Precision Acquisition Method of Position Signal of Permanent Magnet Direct Drive Servo Motor at Low Speed. Energies. 2023; 16(11):4491. https://doi.org/10.3390/en16114491

Chicago/Turabian Style

Zhang, Deli, Zhaopeng Dong, Feifei Bu, Zijie Gu, and Zitao Guo. 2023. "High-Precision Acquisition Method of Position Signal of Permanent Magnet Direct Drive Servo Motor at Low Speed" Energies 16, no. 11: 4491. https://doi.org/10.3390/en16114491

APA Style

Zhang, D., Dong, Z., Bu, F., Gu, Z., & Guo, Z. (2023). High-Precision Acquisition Method of Position Signal of Permanent Magnet Direct Drive Servo Motor at Low Speed. Energies, 16(11), 4491. https://doi.org/10.3390/en16114491

Note that from the first issue of 2016, this journal uses article numbers instead of page numbers. See further details here.

Article Metrics

Back to TopTop