Development and Validation of a Variable Displacement Variable Compression Ratio Miller Cycle Technology on an Automotive Gasoline Engine
Abstract
1. Introduction
2. Controlling Equations of the Effective Fuel Consumption Rate and Major Influencing Factors of an ICE
2.1. Controlling Equations of the BSFC
2.2. Portion of Pumping Losses over Indicated Work: PMEP/IMEPHP
2.3. Portion of Friction Losses over Indicated Work: FMEP/IMEPHP
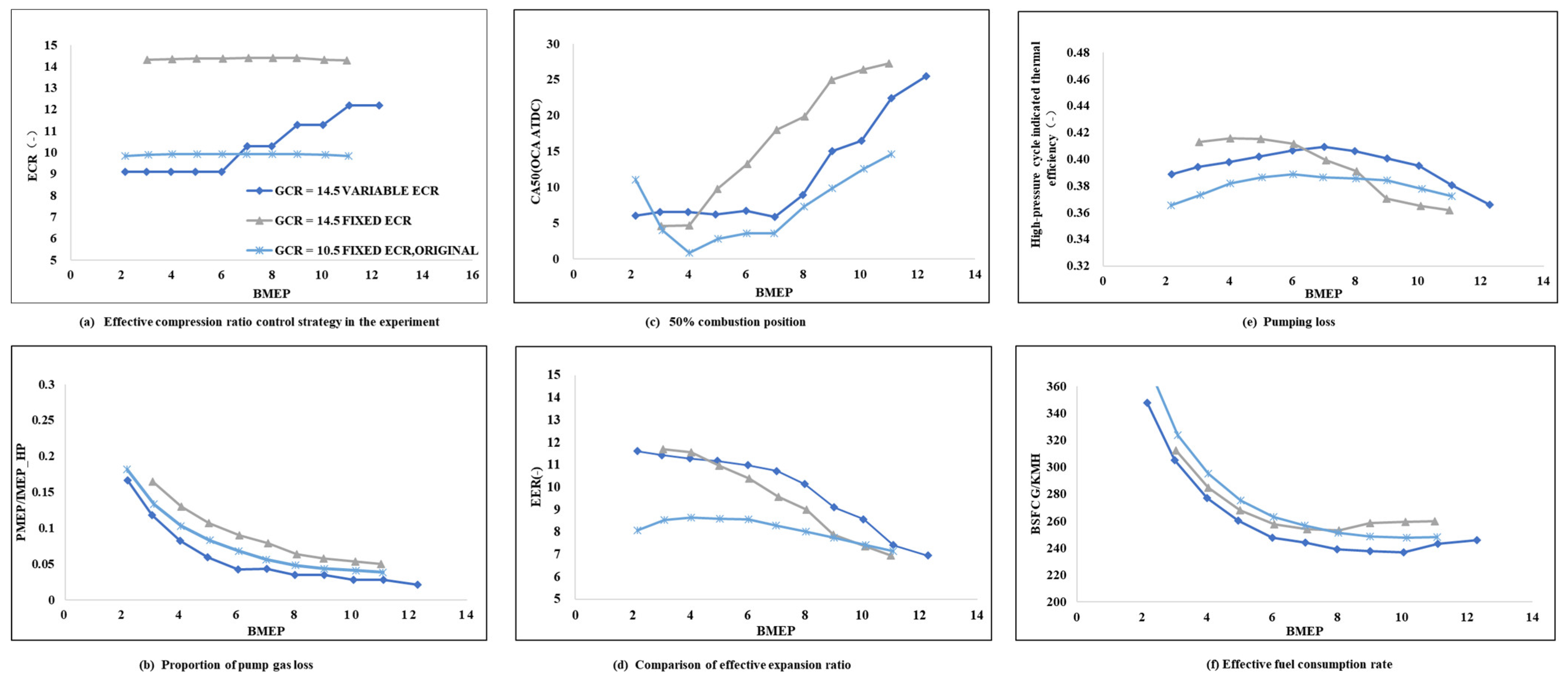
3. Introduction to a Device to Reduce the Pumping Loss and Increase the Expansion Efficiency Simultaneously
4. Conclusions
- The pumping losses at a low to medium load can be significantly reduced by reducing the effective cylinder volume at IVC. However, the effective compression ratio will be reduced too which would result in a drop of in-cylinder thermal efficiency. The overall results of BSFC depends on the engine load; at a low load the pumping loss reduction takes the leading role, while in the medium to high load, the expansion efficiency takes the leading role and ECR/EER becomes more important on engine BSFC;
- Although both ECR and EER have influences on the in-cylinder thermal efficiency, EER’s influence is much more significant. A low ECR but a high EER combination produces higher thermal efficiency than a high ECR but a low EER case;
- Compression pressure and temperature are both influenced by ECR; the formers will then affect the phasing of the combustion. In this way, ECR has a strong indirect influence on EER. Too high an ECR may result in a much later combustion phase, a lower EER and lower thermal efficiency. In addition, a high GCR but moderate ECR combustion system is more favorable to achieve high engine efficiency.
Author Contributions
Funding
Data Availability Statement
Conflicts of Interest
Glossary
| Nomenclature | |
| high-pressure cycle indicated thermal efficiency | |
| low heating value of fuel [J/kg] | |
| excess air coefficient | |
| combustion efficiency | |
| adiabatic efficiency | |
| expansion efficiency | |
| intake pressure | |
| polytropic exponent (-) | |
| exhaust pressure | |
| normalized heat release rate [1/(°CA)] | |
| instantaneous expansion ratio [-] | |
| crank angle [°CA] | |
| cylinder volume at the exhaust valve opening | |
| cylinder volume at the current combustion phase | |
| Abbreviations | |
| GDI | gasoline direct injection |
| VVT | variable valve timing |
| EGR | exhaust gas recirculation |
| ECR | effective compression ratio |
| EER | effective expansion ratio |
| IVC | intake valve closing |
| IVO | intake valve opening |
| EVC | exhaust valve closing |
| EVO | exhaust valve opening |
| VVL | variable valve lift |
| ICE | Internal combustion engine |
| BSFC | brake specific fuel consumption |
| ICE | Internal combustion engine |
| SOC | start of combustion |
| EOC | end of combustion |
| TDC | top dead center |
| BDC | bottom dead center |
| PMEP | pumping mean effective pressure |
| FMEP | friction mean effective pressure |
References
- Lou, Z.; Zhu, G. Review of Advancement in Variable Valve Actuation of Internal Combustion Engines. Appl. Sci. 2020, 10, 1216. [Google Scholar] [CrossRef]
- Yu, X.; Zhao, Z.; Huang, Y.; Shi, W.; Guo, Z.; Li, Z.; Du, Y.; Jin, Z.; Li, D.; Wang, T. Experimental study on the effects of EGR on combustion and emission of an SI engine with gasoline port injection plus ethanol direct injection. Fuel 2021, 305, 121421. [Google Scholar] [CrossRef]
- Zou, P.; Liu, J.; Zhou, X.; Chen, Z.; Luo, B.; Shen, D.; Duan, X.; Fu, J. Effect of a novel mechanical CVVL system on economic performance of a turbocharged spark-ignition engine fuelled with gasoline and ethanol blend. Fuel 2020, 263, 116697. [Google Scholar] [CrossRef]
- Benedikt, K.; Drexler, G.; Eder, T.; Eisenkoelbl, M.; Luttermann, C.; Schleusener, M. Further development of BMW’s fully-variable valve control system valvetronic. MTZ Worldw. 2005, 66, 10–13. [Google Scholar] [CrossRef]
- Wittek, K.; Geiger, F.; Andert, J.; Martins, M.; Cogo, V.; Lanzanova, T. Experimental investigation of a variable compression ratio system applied to a gasoline passenger car engine. Energy Convers. Manag. 2019, 183, 753–763. [Google Scholar] [CrossRef]
- Sun, X.; Xie, M.; Zhou, F.; Wu, X.; Fu, J.; Liu, J. Hierarchical evolutionary construction of neural network models for an Atkinson cycle engine with double injection strategy based on the PSO-Nadam algorithm. Fuel 2023, 333, 126531. [Google Scholar] [CrossRef]
- Chen, B.; Zhang, L.; Han, J.; Zhang, Q. A combination of electric supercharger and Miller Cycle in a gasoline engine to improve thermal efficiency without performance degradation. Case Stud. Therm. Eng. 2019, 14, 100429. [Google Scholar] [CrossRef]
- Li, T.; Gao, Y.; Wang, J.; Chen, Z. The Miller cycle effects on improvement of fuel economy in a highly boosted, high compression ratio, direct-injection gasoline engine: EIVC vs. LIVC. Energy Convers. Manag. 2014, 79, 59–65. [Google Scholar] [CrossRef]
- Huang, Z.-M.; Shen, K.; Wang, L.; Chen, W.-G.; Pan, J.-Y. Experimental study on the effects of the Miller cycle on the performance and emissions of a downsized turbocharged gasoline direct injection engine. Adv. Mech. Eng. 2020, 12, 1687814020918720. [Google Scholar] [CrossRef]
- Xu, J.; Guo, T.; Feng, Y.; Sun, M. Numerical investigation of Miller cycle with EIVC and LIVC on a high compression ratio gasoline engine. Sci. Prog. 2021, 104, 00368504211023640. [Google Scholar] [CrossRef] [PubMed]
- Millo, F.; Accurso, F.; Zanelli, A.; Rolando, L. Numerical investigation of 48 V electrification potential in terms of fuel economy and vehicle performance for a lambda-1 gasoline passenger car. Energies 2019, 12, 2998. [Google Scholar] [CrossRef]
- Wang, Y.; Zu, B.; Xu, Y.; Wang, Z.; Liu, J. Performance analysis of a Miller cycle engine by an indirect analysis method with sparking and knock in consideration. Energy Convers. Manag. 2016, 119, 316–326. [Google Scholar] [CrossRef]
- Pandey, J.K.; Kumar, G. Effect of variable compression ratio and equivalence ratio on performance, combustion and emission of hydrogen port injection SI engine. Energy 2021, 239, 122468. [Google Scholar] [CrossRef]
- Xia, Y.; Li, Y.; Liao, C.; Liu, J.; Wang, S.; Qiao, J.; Zhang, S. On the quantitative relationship of the in-cylinder heat to work conversion process of natural gas spark ignited engine under steady state and transient operation conditions. Energy 2021, 221, 119607. [Google Scholar] [CrossRef]
- Yuan, Z.; Liu, J.; Fu, J.; Liu, Q.; Wang, S.; Xia, Y. Quantitative analysis on the thermodynamics processes of gasoline engine and correction of the control equations for heat-work conversion efficiency. Energy Convers. Manag. 2017, 132, 388–399. [Google Scholar] [CrossRef]
- Modiyani, R.; Kocher, L.; Van Alstine, D.; Koeberlein, E.; Stricker, K.; Meckl, P.; Shaver, G. Effect of intake valve closure modulation on effective compression ratio and gas exchange in turbocharged multi-cylinder engines utilizing EGR. Int. J. Engine Res. 2011, 12, 617–631. [Google Scholar] [CrossRef]
- Niu, Q.; Sun, B.; Zhang, D.; Luo, Q. Research on performance optimization and fuel-saving mechanism of an Atkinson cycle gasoline engine at low speed and part load. Fuel 2020, 265, 117010. [Google Scholar] [CrossRef]
- Siqueira Mazzaro, R.; de Morais Hanriot, S.; Jorge Amorim, R.; Américo Almeida Magalhães Júnior, P. Numerical analysis of the air flow in internal combustion engine intake ducts using Herschel-Quincke tubes. Appl. Acoust. 2020, 165, 107310. [Google Scholar] [CrossRef]
- Wróblewski, P.; Iskra, A. Problems of Reducing Friction Losses of a Piston-Ring-Cylinder Configuration in a Combustion Piston Engine with an Increased Isochoric Pressure Gain. In SAE Technical Paper; SAE International: Warrendale, PA, USA, 2020. [Google Scholar]
- Wróblewski, P. Reduction of friction energy in a piston combustion engine for hydrophobic and hydrophilic multilayer nanocoatings surrounded by soot. Energy 2023, 271, 126974. [Google Scholar] [CrossRef]
- Shen, D.Z.; Liang, J.C. Strong Eddy Current Variable Miller Cycle Internal Combustion Engine. CN114412639A, 29 April 2022. [Google Scholar]












| Item | Engine #1 | Engine #2 | Engine #3 | Engine #4 | Engine #5 | Engine #6 |
|---|---|---|---|---|---|---|
| Engine type | In-line four-cylinder, four stroke | In-line four-cylinder, four stroke | In-line four-cylinder, four stroke | In-line four-cylinder, four stroke | Single cylinder, four stroke | In-line four-cylinder, four stroke |
| Displacement (L) | 1.5 | 1.5 | 1.4 | 1.6 | 0.67 | 1.5 |
| Bore (mm) | 76 | 79 | 74.5 | 79.7 | 98 | 73.5 |
| Stroke (mm) | 82.6 | 76.5 | 80 | 81.1 | 89.3 | 88 |
| Connecting rod length (mm) | 133.2 | 133.2 | 132.8 | 138.5 | 152.7 | 141.51 |
| Compression ratio (-) | 10 | 10 | 10.5 | 9.5 | 10.5 | 10.5 |
| Intake type | Turbocharged, Inter-cooled, Dual VVT | Turbocharged, Intercooled, Dual VVT | Turbocharged, Inter-cooled, Dual VVT | Turbocharged, Inter-cooled, Dual VVT | Naturally Aspirated | Turbocharged, Inter-cooled, Dual VVT |
| Inject type | GDI | GDI | GDI | GDI | GDI | GDI |
| Rated power (kW) | 125 | 133 | 96 | 140 | / | 132 |
| Maximum torque (N·m) | 230 | 240 | 225 | 240 | / | 300 |
| Equipment Name | Type | Precision |
|---|---|---|
| AVL electric dynamometer | INDY S22-2/0525-1BV-1 | Torque: ±0.5% F.S Speed: ±1 r/min |
| Dynamometer control system | PUMA OPEN1.4.1 | ±0.5% F.S |
| Fuel consumption meter | 7351 CST | ±0.12% F.S |
| Data acquisition system | PUMA | Resolution: 15 Bit Sampling rate: 1–200 Hz |
| Fuel temperature control system | 753C | ±2 °C |
| Coolant temperature control system | 553 CONSYSCOOL 553-200 | ±2 °C |
| Oil temperature control system | 554 CONSYSLUBE 554 | ±2 °C |
| Mass air flow meter | TP16A.00 | ±1% F.S |
| λ analysis meter | ETAS | ±0.01 |
| Combustion analyzer | INDISET ADVANCED PLUS | / |
Disclaimer/Publisher’s Note: The statements, opinions and data contained in all publications are solely those of the individual author(s) and contributor(s) and not of MDPI and/or the editor(s). MDPI and/or the editor(s) disclaim responsibility for any injury to people or property resulting from any ideas, methods, instructions or products referred to in the content. |
© 2023 by the authors. Licensee MDPI, Basel, Switzerland. This article is an open access article distributed under the terms and conditions of the Creative Commons Attribution (CC BY) license (https://creativecommons.org/licenses/by/4.0/).
Share and Cite
Yang, H.; Zhang, L.; Liu, J.; Fu, J.; Shen, D.; Yuan, Z. Development and Validation of a Variable Displacement Variable Compression Ratio Miller Cycle Technology on an Automotive Gasoline Engine. Energies 2023, 16, 4480. https://doi.org/10.3390/en16114480
Yang H, Zhang L, Liu J, Fu J, Shen D, Yuan Z. Development and Validation of a Variable Displacement Variable Compression Ratio Miller Cycle Technology on an Automotive Gasoline Engine. Energies. 2023; 16(11):4480. https://doi.org/10.3390/en16114480
Chicago/Turabian StyleYang, Huiyong, Lei Zhang, Jingping Liu, Jianqin Fu, Dazi Shen, and Zhipeng Yuan. 2023. "Development and Validation of a Variable Displacement Variable Compression Ratio Miller Cycle Technology on an Automotive Gasoline Engine" Energies 16, no. 11: 4480. https://doi.org/10.3390/en16114480
APA StyleYang, H., Zhang, L., Liu, J., Fu, J., Shen, D., & Yuan, Z. (2023). Development and Validation of a Variable Displacement Variable Compression Ratio Miller Cycle Technology on an Automotive Gasoline Engine. Energies, 16(11), 4480. https://doi.org/10.3390/en16114480
