Coupling Hydrodynamic and Energy Production Models for Salinity Gradient Energy Assessment in a Salt-Wedge Estuary (Strymon River, Northern Greece)
Abstract
:1. Introduction
2. Method
2.1. Study Site Description
2.2. Model Coupling and SGE Assessment
2.3. Hydrodynamic Model of Strymon River Estuary
2.4. SGE PRO Model of Strymon River Estuary
3. Results
3.1. Energy Production Scenarios
3.1.1. Optimal Energy Production Scenario
3.1.2. Seasonal Energy Production Scenario
3.2. Inter-Relations between River Discharge, Salinity Difference (ΔSSW) and PRO Energy
3.2.1. River Discharge vs. ΔSSW
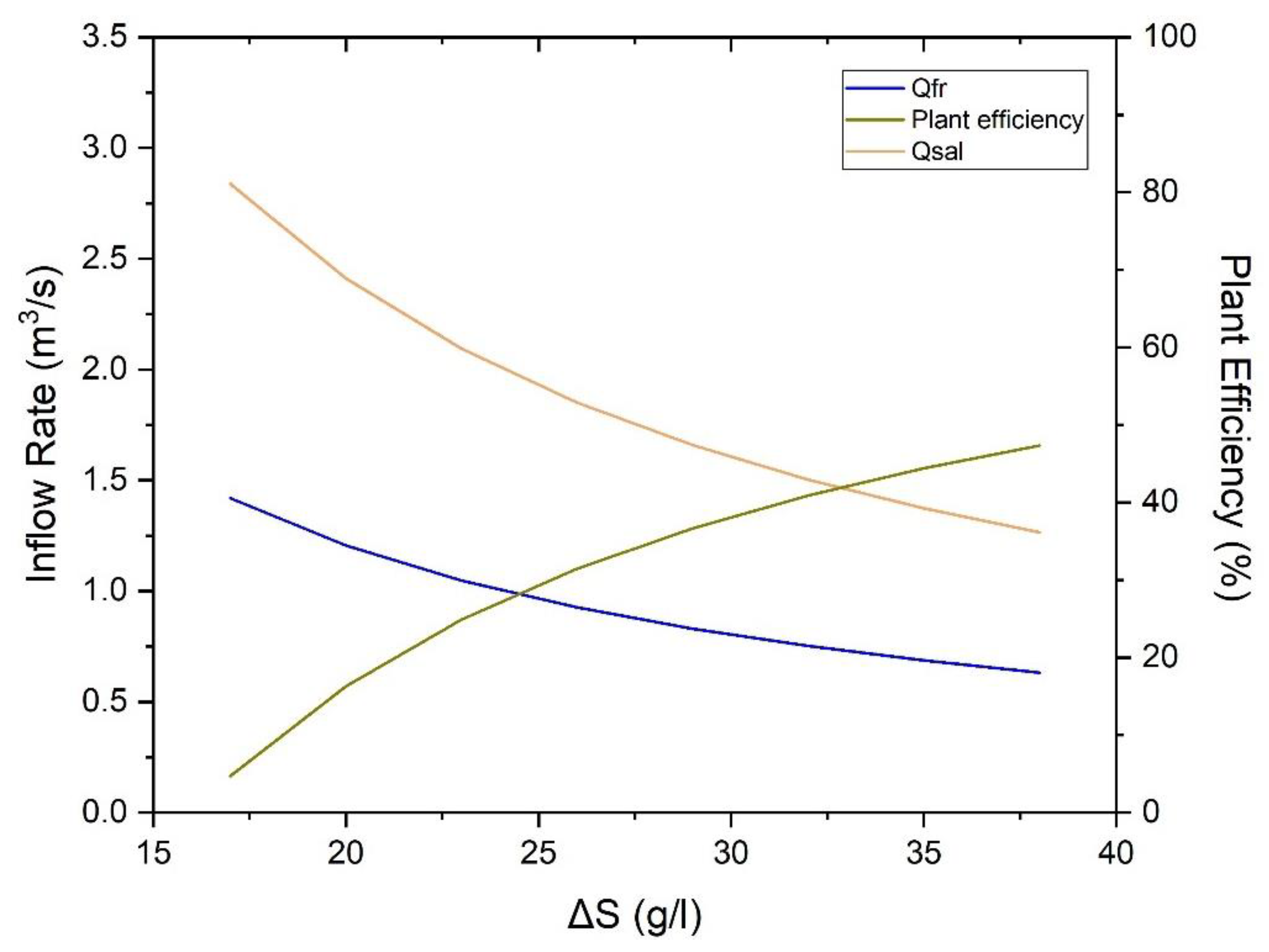
3.2.2. ΔSSW vs. Net Energy Production
3.3. Historical Flow Rate Analysis
3.4. Annual PRO Energy Power Assessment Using Historical River Discharge
3.5. Assessment of Intra-Annual PRO Energy Power of Strymon River
4. Discussion
4.1. Assessment of Mediterranean Rivers SGE
4.2. Strymon River Estuary SGE Assessment
4.3. Social–Environmental Impact of SGE Use
5. Conclusions
Author Contributions
Funding
Institutional Review Board Statement
Informed Consent Statement
Conflicts of Interest
References
- Lindley, D. The energy should always work twice. Nature 2009, 458, 138–142. [Google Scholar] [CrossRef]
- Zhou, Z.; Benbouzid, M.; Charpentier, J.F.; Scuiller, F.; Tang, T. A review of energy storage technologies for marine current energy systems. Renew. Sustain. Energy Rev. 2013, 18, 390–400. [Google Scholar] [CrossRef] [Green Version]
- European Commission. The European Green Deal 2019/640. 2019. Available online: https://eur-lex.europa.eu/legal-content/EN/TXT/?uri=COM:2019:640:FIN (accessed on 12 February 2020).
- Yaqoot, M.; Diwan, P.; Kandpal, T.C. Review of barriers to the dissemination of decentralized renewable energy systems. Renew. Sustain. Energy Rev. 2016, 58, 477–490. [Google Scholar] [CrossRef]
- Arnold, U.; Yildiz, Ö. Economic risk analysis of decentralized renewable energy infrastructures—A Monte Carlo Simulation approach. Renew. Energy 2015, 77, 227–239. [Google Scholar] [CrossRef]
- Goffetti, G.; Montini, M.; Volpe, F.; Gigliotti, M.; Pulselli, F.M.; Sannino, G.; Marchettini, N. Disaggregating the SWOT analysis of marine renewable energies. Front. Energy Res. 2018, 6, 138. [Google Scholar] [CrossRef] [Green Version]
- Wang, Z.; Carriveau, R.; Ting, D.S.K.; Xiong, W.; Wang, Z. A review of marine renewable energy storage. Int. J. Energy Res. 2019, 43, 6108–6150. [Google Scholar] [CrossRef]
- Jia, Z.; Wang, B.; Song, S.; Fan, Y. Blue energy: Current technologies for sustainable power generation from water salinity gradient. Renew. Sustain. Energy Rev. 2014, 31, 91–100. [Google Scholar] [CrossRef]
- Loeb, S. Large-scale power production by pressure-retarded osmosis, using river water and sea water passing through spiral modules. Desalination 2002, 143, 115–122. [Google Scholar] [CrossRef]
- Kim, J.; Jeong, K.; Park, M.J.; Shon, H.K.; Kim, J.H. Recent Advances in Osmotic Energy Generation via Pressure-Retarded Osmosis (PRO): A Review. Energies 2015, 8, 11821–11845. [Google Scholar] [CrossRef] [Green Version]
- Loeb, S. Method and Apparatus for Generating Power Utilizing Pressure-Retarded-Osmosis. U.S. Patent US 3906250, 16 September 1975. [Google Scholar]
- Loeb, S. Production of energy from concentrated brines by pressure-retarded osmosis: I. Preliminary technical and economic correlations. J. Membr. Sci. 1976, 1, 49–63. [Google Scholar] [CrossRef]
- Yip, N.Y.; Elimelech, M. Comparison of energy efficiency and power density in pressure retarded osmosis and reverse electrodialysis. Environ. Sci. Technol. 2014, 48, 11002–11012. [Google Scholar] [CrossRef]
- Post, J.W.; Veerman, J.; Hamelers, H.V.M.; Euverink, G.J.W.; Metz, S.J.; Nymeijer, K.; Buisman, C.J.N. Salinity-gradient power: Evaluation of pressure-retarded osmosis and reverse electrodialysis. J. Membr. Sci. 2007, 288, 218–230. [Google Scholar] [CrossRef] [Green Version]
- Vermaas, D.A.; Guler, E.; Saakes, M.; Nijmeijer, K. Theoretical power density from salinity gradients using reverse electrodialysis. Energy Procedia 2012, 20, 170–184. [Google Scholar] [CrossRef] [Green Version]
- Daniilidis, A.; Vermaas, D.A.; Herber, R.; Nijmeijer, K. Experimentally obtainable energy from mixing river water, seawater or brines with reverse electrodialysis. Renew. Energy 2014, 64, 123–131. [Google Scholar] [CrossRef]
- Stenzel, P.; Wagner, H.J. Osmotic power plants: Potential analysis and site criteria. In Proceedings of the 3rd International Conference on Ocean Energy, Bilbao, Spain, 6–8 October 2010. [Google Scholar]
- Kempener, R.; Neumann, F. Salinity Gradient Energy; International Renewable Energy Agency: Bonn, Germany, 2014; Available online: https://www.irena.org/publications/2014/Jun/Salinity-gradient (accessed on 29 March 2020).
- Reyes-Mendoza, O.; Alvarez-Silva, O.; Chiappa-Carrara, X.; Enriquez, C. Variability of the thermohaline structure of a coastal hypersaline lagoon and the implications for salinity gradient energy harvesting. Sustain. Energy Technol. Assess. 2020, 38, 100645. [Google Scholar] [CrossRef]
- Slocum, A.H.; Haji, M.N.; Trimble, A.Z.; Ferrara, M.; Ghaemsaidi, S.J. Integrated pumped hydro reverse osmosis systems. Sustain. Energy Technol. Assess. 2016, 18, 80–99. [Google Scholar] [CrossRef] [Green Version]
- Tawalbeh, M.; Al-Othman, A.; Abdelwahab, N.; Alami, A.H.; Olabi, A.G. Recent developments in pressure retarded osmosis for desalination and power generation. Renew. Sustain. Energy Rev. 2021, 138, 110492. [Google Scholar] [CrossRef]
- Plaza, R.M. A blue energy option for the Mekong River Basin. An international law analysis on Asian regional cooperation in pioneer osmotic power projects. Sustain. Energy Technol. Assess. 2018, 25, 75–98. [Google Scholar] [CrossRef]
- Zachopoulos, K.; Kokkos, N.; Sylaios, G. Salt wedge intrusion modeling along the lower reaches of a Mediterranean river. Reg. Stud. Mar. Sci. 2020, 39, 101467. [Google Scholar] [CrossRef]
- Haralambidou, K.; Sylaios, G.; Tsihrintzis, V.A. Salt-wedge propagation in a Mediterranean micro-tidal river mouth. Estuar. Coast. Shelf Sci. 2010, 90, 174–184. [Google Scholar] [CrossRef]
- Barlow, P. Saltwater intrusion from the Delaware River during drought-implications for the effect of sea-level rise on coastal aquifers. In Ground Water in Freshwater–Saltwater Environments of the Atlantic coast; Barlow, P., Ed.; US Geological Survey: Reston, VA, USA, 2003; pp. 46–48. [Google Scholar]
- Sylaios, G.; Koutrakis, E.; Kallianiotis, A. Hydrographic variability, nutrient distribution and water mass dynamics in Strymonikos Gulf (Northern Greece). Cont. Shelf Res. 2006, 26, 217–235. [Google Scholar] [CrossRef]
- Hodges, B.; Dallimore, C. Estuary, Lake and Coastal Ocean Model: ELCOM v2.2 Science Manual; Centre for Water Research, University of Western Australia: Perth, Australia, 2006. [Google Scholar]
- Dallimore, C.; Hodges, B.R.; Imberger, J. Coupling an underflow model to a 3D hydrodynamic model. J. Hydraul. Eng. 2003, 129, 748–757. [Google Scholar] [CrossRef]
- Hodges, B.R.; Imberger, J. Simple curvilinear method for numerical methods of open channels. J. Hydraul. Eng. 2001, 127, 949–958. [Google Scholar] [CrossRef]
- Kokkos, N.; Sylaios, G. Modeling the buoyancy-driven Black Sea water outflow into the North Aegean Sea. Oceanologia 2016, 58, 103–116. [Google Scholar] [CrossRef] [Green Version]
- Imberger, J.; Patterson, J. A Dynamic Reservoir Simulation Model-DYRESM: 5. In Transport Models for Inland and Coastal Waters; Fischer, H., Ed.; Academic Press: New York, NY, USA, 1981; pp. 310–361. [Google Scholar]
- Lindström, G.; Pers, C.; Rosberg, J.; Strömqvist, J.; Arheimer, B. Development and testing of the HYPE (Hydrological Predictions for the Environment) water quality model for different spatial scales. Hydrol. Res. 2010, 41, 295–319. [Google Scholar] [CrossRef]
- Donnelly, C.; Andersson, J.C.M.; Arheimer, B. Using flow signatures and catchment similarities to evaluate the E-HYPE multi-basin model across Europe. Hydrol. Sci. J. 2016, 61, 255–273. [Google Scholar] [CrossRef]
- Iliopoulou, T.; Aguilar, C.; Arheimer, B.; Bermúdez, M.; Bezak, N.; Ficchì, A.; Koutsoyiannis, D.; Parajka, J.; Polo, M.J.; Thirel, G.; et al. A large sample analysis of European rivers on seasonal river flow correlation and its physical drivers. Hydrol. Earth Syst. Sci. 2019, 23, 73–91. [Google Scholar] [CrossRef] [Green Version]
- Massazza, G.; Tarchiani, V.; Andersson, J.C.M.; Ali, A.; Ibrahim, M.H.; Pezzoli, A.; De Filippis, T.; Rocchi, L.; Minoungou, B.; Gustafsson, D.; et al. Downscaling regional hydrological forecast for operational use in local early warning: HYPE models in the Sirba river. Water 2020, 12, 3504. [Google Scholar] [CrossRef]
- Tonani, M.; Pinardi, N.; Dobricic, S.; Pujol, I.; Fratianni, C. A high-resolution free-surface model of the Mediterranean Sea. Ocean Sci. 2008, 4, 1–14. [Google Scholar] [CrossRef] [Green Version]
- Oddo, P.; Adani, M.; Pinardi, N.; Fratianni, C.; Tonani, M.; Pettenuzzo, D. A nested Atlantic-Mediterranean Sea general circulation model for operational forecasting. Ocean Sci. 2009, 5, 461–473. [Google Scholar] [CrossRef] [Green Version]
- Oddo, P.; Bonaduce, A.; Pinardi, N.; Guarnieri, A. Sensitivity of the Mediterranean sea level to atmospheric pressure and free surface elevation numerical formulation in NEMO. Geosci. Model Dev. 2014, 7, 3001–3015. [Google Scholar] [CrossRef] [Green Version]
- Naghiloo, A.; Abbaspour, M.; Mohammadi-Ivatloo, B.; Bakhtari, K. Modeling and design of a 25MW osmotic power plant (PRO) on Bahmanshir River of Iran. Renew. Energy 2015, 78, 51–59. [Google Scholar] [CrossRef]
- Naghiloo, A.; Abbaspour, M.; Mohammadi-Ivatloo, B.; Bakhtari, K. GAMS based approach for optimal design and sizing of a pressure retarded osmosis power plant in Bahmanshir river of Iran. Renew. Sustain. Energy Rev. 2015, 52, 1559–1565. [Google Scholar] [CrossRef]
- Ansari, A.; Abbaspour, M. Modelling and economic evaluation of pressure-retarded osmosis power plant case study: Iran. Int. J. Ambient Energy 2019, 40, 69–81. [Google Scholar] [CrossRef]
- Gerstandt, K.; Peinemann, K.V.; Skilhagen, S.E.; Thorsen, T.; Holt, T. Membrane processes in energy supply for an osmotic power plant. Desalination 2008, 224, 64–70. [Google Scholar] [CrossRef]
- Zhang, S.; Chung, T.S. Minimizing the instant and accumulative effects of salt permeability to sustain ultrahigh osmotic power density. Environ. Sci. Technol. 2013, 47, 10085–10092. [Google Scholar] [CrossRef]
- Kleiterp, R. The Feasibility of a Commercial OSMOTIC power Plant. Master’s Thesis, Civil Engineering and Geosciences, Delft University of Technology Hydraulic Engineering, Delft, The Netherlands, 19 January 2012. [Google Scholar]
- Kim, Y.C.; Elimelech, M. Potential of osmotic power generation by pressure retarded osmosis using seawater as feed solution: Analysis and experiments. J. Membr. Sci. 2013, 429, 330–337. [Google Scholar] [CrossRef]
- Aggidis, G.A.; Luchinskaya, E.; Rothschild, R.; Howard, D.C. The costs of small-scale hydro power production: Impact on the development of existing potential. Renew. Energy 2010, 35, 2632–2638. [Google Scholar] [CrossRef]
- Skilhagen, S.E.; Dugstad, J.E.; Aaberg, R.J. Osmotic power—Power production based on the osmotic pressure difference between waters with varying salt gradients. Desalination 2008, 220, 476–482. [Google Scholar] [CrossRef]
- Alvarez-Silva, O.; Winter, C.; Osorio, A.F. Salinity gradient energy at river mouths. Environ. Sci. Technol. Lett. 2014, 1, 410–415. [Google Scholar] [CrossRef]
- Alvarez-Silva, O.A.; Osorio, A.F.; Winter, C. Practical global salinity gradient energy potential. Renew. Sustain. Energy Rev. 2016, 60, 1387–1395. [Google Scholar] [CrossRef]
- Alvarez-Silva, O.A. Implementing salinity gradient energy at river mouths. In Pressure Retarded Osmosis: Renewable Energy Generation and Recovery; Touati, K., Tadeo, F., Kim, J.H., Silva, O.A.A., Chae, S.H., Eds.; Academic Press: London, UK, 2017; pp. 153–171. [Google Scholar]
- Saki, S.; Uzal, N.; Gökçek, M.; Ates, N. Predicting potential of pressure retarded osmosis power for different estuaries in Turkey. Environ. Prog. Sustain. Energy 2019, 38, 13085. [Google Scholar] [CrossRef]
- Sharma, M.; Chakraborty, A.; Kuttippurath, J.; Yadav, A.K. Potential power production from salinity gradient at the Hooghly estuary system. Innov. Energy Res. 2018, 7, 1463–2576. [Google Scholar] [CrossRef]
- Ortega, S.; Stenzel, P.; Alvarez-Silva, O.; Osorio, A.F. Site-specific potential analysis for pressure retarded osmosis (PRO) power plants—The León River example. Renew. Energy 2014, 68, 466–474. [Google Scholar] [CrossRef]
- Psiloglou, B.E.; Giannakopoulos, C.; Majithia, S.; Petrakis, M. Factors affecting electricity demand in Athens, Greece and London, UK: A comparative assessment. Energy 2009, 34, 1855–1863. [Google Scholar] [CrossRef]
- Tyralis, H.; Karakatsanis, G.; Tzouka, K.; Mamassis, N. Exploratory data analysis of the electrical energy demand in the time domain in Greece. Energy 2017, 134, 902–918. [Google Scholar] [CrossRef]













| Symbol | Description | % | Value | Unit | 
|---|---|---|---|---|
| Ep | Potential energy production | 100% | 8.76 | (GWh/yr) | 
| Eloss | Intake and outfall losses | −1.2% | −0.11 | (GWh/yr) | 
| Ecpt | Pretreatment energy losses | −5.7% | −0.50 | (GWh/yr) | 
| Elb | Membrane losses | −3.3% | −0.29 | (GWh/yr) | 
| Etltg | Transmission and generation losses | −42.4% | −3.71 | (GWh/yr) | 
| Enet | Net energy production | 47.3% | 4.15 | (GWh/yr) | 
| ΔSSW (g/L) | Number of Obs. | Number of Days | % | Mean Salinity (g/L) | Qsal (m3/s) | Qfr (m3/s) | Qbr (m3/s) | Efficiency (%) | Enet (MWh/day) | 
|---|---|---|---|---|---|---|---|---|---|
| 15.0–20.9 | 246 | 3.4 | 1.6 | 19.7 | 2.8–2.3 | 1.4–1.2 | 4.1–3.3 | 1.9–19.4% | 0.30–4.66 | 
| 21.0–25.9 | 988 | 13.7 | 14.1 | 24.4 | 2.3–1.9 | 1.2–0.9 | 3.3–2.7 | 19.4–31.5% | 4.66–7.55 | 
| 26.0–30.9 | 2989 | 41.5 | 45.0 | 28.9 | 1.9–1.6 | 0.9–0.8 | 2.7–2.3 | 31.5–39.6% | 7.55–9.50 | 
| 31.0–36.0 | 2617 | 36.3 | 39.3 | 32.4 | 1.6–1.3 | 0.8–0.7 | 2.3–1.9 | 39.6–45.4% | 9.50–10.90 | 
| River | Country | Tidal Range (m) | Qmean (m3/s) | ΔS (g/L) | Theoretical Potential (MW) | Technical Energy (GWh/year) | Enet 1 MW PRO (GWh/year) | 
|---|---|---|---|---|---|---|---|
| Ebro * | SP | 0.2 | 424 | 37.7 | 899 | 402 | 4.15 | 
| Rhone * | FR | 0.1 | 1693 | 38.1 | 4300 | 5600 | 4.17 | 
| Nile | EG | 0.2 | 1254 | 38.7 | 2608 | 4579 | 4.21 | 
| Po* | IT | 0.5 | 1511 | 37.8 | 650 | 4900 | 4.15 | 
| Strymon * | GR | 0.2 | 60 | 37.9 | 11 | 58 | 4.15 | 
| Ceyhan | TR | 0.2 | 150 | 39.1 | 99 | 167 | 4.24 | 
| Sakarya | TR | 0.2 | 146 | 39.0 | 103 | 164 | 4.22 | 
| Meric | TR | 0.2 | 188 | 39.1 | 421 | 208 | 4.23 | 
| Büyük Menderes | TR | 0.1 | 98.5 | 38.9 | 640 | 290 | 4.22 | 
| Vjosa | AL | 0.1 | 145.8 | 38.1 | 1371 | 394 | 4.17 | 
| Evros * | GR | 0.2 | 109.9 | 36.9 | 780 | 352 | 4.09 | 
| Acheloos * | GR | 0.1 | 51.8 | 39.0 | 171 | 56 | 4.22 | 
| Aliakmon | GR | 0.2 | 50.1 | 37.0 | 160 | 119 | 4.10 | 
| Nestos | GR | 0.2 | 40 | 36.5 | 81 | 114 | 4.06 | 
| Publisher’s Note: MDPI stays neutral with regard to jurisdictional claims in published maps and institutional affiliations. | 
© 2022 by the authors. Licensee MDPI, Basel, Switzerland. This article is an open access article distributed under the terms and conditions of the Creative Commons Attribution (CC BY) license (https://creativecommons.org/licenses/by/4.0/).
Share and Cite
Zachopoulos, K.; Kokkos, N.; Elmasides, C.; Sylaios, G. Coupling Hydrodynamic and Energy Production Models for Salinity Gradient Energy Assessment in a Salt-Wedge Estuary (Strymon River, Northern Greece). Energies 2022, 15, 2970. https://doi.org/10.3390/en15092970
Zachopoulos K, Kokkos N, Elmasides C, Sylaios G. Coupling Hydrodynamic and Energy Production Models for Salinity Gradient Energy Assessment in a Salt-Wedge Estuary (Strymon River, Northern Greece). Energies. 2022; 15(9):2970. https://doi.org/10.3390/en15092970
Chicago/Turabian StyleZachopoulos, Konstantinos, Nikolaos Kokkos, Costas Elmasides, and Georgios Sylaios. 2022. "Coupling Hydrodynamic and Energy Production Models for Salinity Gradient Energy Assessment in a Salt-Wedge Estuary (Strymon River, Northern Greece)" Energies 15, no. 9: 2970. https://doi.org/10.3390/en15092970
APA StyleZachopoulos, K., Kokkos, N., Elmasides, C., & Sylaios, G. (2022). Coupling Hydrodynamic and Energy Production Models for Salinity Gradient Energy Assessment in a Salt-Wedge Estuary (Strymon River, Northern Greece). Energies, 15(9), 2970. https://doi.org/10.3390/en15092970
 
         
                                                




 
       