A Study of the Interface Fluctuation and Energy Saving of Oil–Water Annular Flow
Abstract
1. Introduction
2. The Governing Equations
2.1. N-S Equations
2.2. LS Approach
2.3. VOF Approach
2.4. Coupled LS and VOF (CLSVOF)
3. Numerical simulation
3.1. Geometry
3.2. Mesh Generation of the Flow Domain
3.3. Solution Strategy
3.4. The Boundary Conditions and the Parameters
4. Results and Discussions
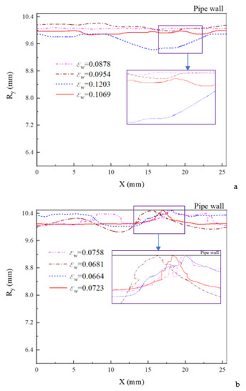
4.1. The Effect of Flow Parameters
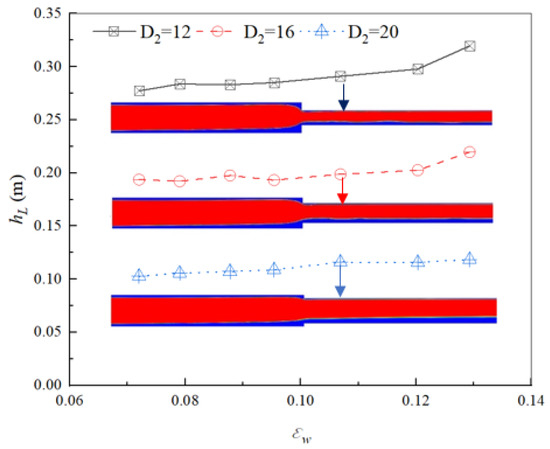
4.2. The Effect of Structures
4.3. The Effect of Fluids’ Properties
5. Conclusions
Author Contributions
Funding
Institutional Review Board Statement
Informed Consent Statement
Data Availability Statement
Conflicts of Interest
References
- Jiang, F.; Li, H.Y.; Mathieu, P.; Gijs, O.; Ruud, H. Simulation of the hydrodynamics in the onset of fouling for oil-water core-annular flow in a horizontal pipe. J. Pet. Sci. Eng. 2021, 207, 109084. [Google Scholar] [CrossRef]
- Praveen, K.; Jashanpreet, S. Computational study on effect of Mahua natural surfactant on the flow properties of heavy crude oil in a 90° bend. Mater. Today: Proc. 2021, 43, 682–688. [Google Scholar]
- Shi, J.; Lao, L.; Yeung, H. Water-lubricated transport of high-viscosity oil in horizontal pipes: The water holdup and pressure gradient. Int. J. Multiph. Flow 2017, 96, 70–85. [Google Scholar] [CrossRef]
- Joseph, D.D.; Bai, R.; Chen, K.P.; Renardy, Y.Y. Core-annular flows. Annu. Rev. Fluid Mech. 1997, 29, 65–90. [Google Scholar] [CrossRef]
- Charles, M.E.; Govier, G.W.; Hodgson, G.W. The horizontal pipeline flow of equal density oil-water mixtures. Can. J. Chem. Eng. 1961, 39, 27–36. [Google Scholar] [CrossRef]
- Hasson, D.; Mann, U.; Nir, A. Annular flow of two immiscible liquids. I. Mechanisms. Can. J. Chem. Eng. 1970, 48, 514–520. [Google Scholar] [CrossRef]
- Bentwich, M. Two-phase axial laminar flow in a pipe with naturally curved surface. Chem. Eng. Sci. 1971, 31, 71–76. [Google Scholar] [CrossRef]
- Ooms, G.; Segal, A.; Vanderwees, A.J.; Meerhoff, R.; Oliemans, R.V.A. A theoretical model for core-annular flow of a very viscous oil core and a water annulus through a horizontal pipe. Int. J. Multiph. Flow 1984, 10, 41–60. [Google Scholar] [CrossRef]
- Oliemans, R.V.A.; Ooms, G.; Wu, H.L.; Duijvestijn, A. Core annular oil/water flow: The turbulent-lubricating–film model and measurements in a 5 cm pipe loop. Int. J. Multiph. Flow 1987, 13, 23–31. [Google Scholar] [CrossRef]
- Bai, R.; Chen, K.; Joseph, D.D. Lubricated pipelining: Stability of core-annular flow: Part 5, Experiments and comparison with theory. J. Fluid Mech. 1992, 240, 97–132. [Google Scholar] [CrossRef]
- Miesen, R.; Beijnon, G.; Duijvestijn, P.E.M.; Oliemans, R.V.A.; Verheggen, T. Interfacial waves in core annular flow. J. Fluid Mech. 1993, 238, 97–117. [Google Scholar] [CrossRef]
- Arney, M.S.; Bai, R.; Guevara, E.; Joseph, D.D.; Liu, K. Friction factor and hold up studies for lubricated pipelining-1. Experiments and correlations. Int. J. Multiph. Flow 1993, 19, 1061–1067. [Google Scholar] [CrossRef]
- Huang, A.; Christodoulou, C.; Joseph, D.D. Friction factor and hold up studies for lubricated pipelining part. 2: Laminar and k–e models of eccentric core flow. Int. J. Multiph. Flow 1994, 20, 481–491. [Google Scholar] [CrossRef]
- Bai, R.; Kelkar, K.; Joseph, D.D. Direct simulation of interfacial waves in a high viscosity ratio and axisymmetric core annular flow. J. Fluid Mech. 1996, 327, 1–34. [Google Scholar] [CrossRef]
- Parda, V.J.W.; Bannwart, A.C. Modeling of vertical core-annular flows and application to heavy oil production. J. Energy Resour. Technol. 2001, 123, 194–199. [Google Scholar] [CrossRef]
- Kao, T.; Choi, H.G.; Bai, R.; Joseph, D.D. Finite element method simulation of turbulent wavy core-annular flows using a k–w turbulence model method. Int. J. Multiph. Flow 2002, 28, 1205–1222. [Google Scholar] [CrossRef]
- Ooms, G.; Poesio, P. Stationary core-annular flow through a horizontal pipe. Phys. Rev. E 2003, 68, 066301. [Google Scholar] [CrossRef]
- Bensakhria, A.; Peysson, Y.; Antonini, G. Experimental study of the pipeline lubrication of heavy oil transport. Oil Gas Sci. Technol. Rev. D IFP Energ. Nouv. 2004, 59, 523–533. [Google Scholar] [CrossRef]
- Rodriguez, O.M.H.; Bannwart, A.C. Experimental study on interfacial waves in a vertical core flow. J. Pet. Sci. Eng. 2006, 54, 140–148. [Google Scholar] [CrossRef]
- Rodriguez, O.M.H.; Bannwart, A.C. Analytical model for interfacial waves in vertical core flow. J. Pet. Sci. Eng. 2006, 54, 173–182. [Google Scholar] [CrossRef]
- Jana, A.K.; Das, G.; Das, P.K. Flow regime identification of two-phase liquid–liquid upflow through vertical pipe. Chem. Eng. Sci. 2006, 61, 1500–1515. [Google Scholar] [CrossRef]
- Ooms, G.; Vuik, C.; Poesio, P. Core-annular flow through a horizontal pipe: Hydrodynamic counterbalancing of buoyancy force on core. Phys. Fluids 2007, 19, 092103. [Google Scholar] [CrossRef]
- Selvam, B.; Talon, L.; Lesshaft, L.; Meiburg, E. Convective/absolute instability in miscible core. J. Fluid Mech. 2009, 618, 323–348. [Google Scholar] [CrossRef][Green Version]
- Sharma, M.; Ravi, P.; Ghosh, S.; Das, G.; Das, P.K. Hydrodynamics of lube oil–water flow through 180° return bends. Chem. Eng. Sci. 2011, 66, 4468–4476. [Google Scholar] [CrossRef]
- Kaushik, V.V.R.; Sumana, G.; Gargi, D.; Prasanta, K.D. CFD simulation of core annular flow through sudden contraction and expansion. J. Pet. Sci. Eng. 2012, 86–87, 153–164. [Google Scholar] [CrossRef]
- Ooms, G.; Pourquié, M.J.B.M.; Beerens, J.C. On the levitation force in horizontal core-annular flow with a large viscosity ratio and small density ratio. Phys. Fluids 2013, 25, 032102. [Google Scholar] [CrossRef]
- Jiang, F.; Wang, Y.; Ou, J.J.; Xiao, Z.M. Numerical simulation on oil-water annular flow though the π bend. Ind. Eng. Chem. Res. 2014, 53, 8235–8244. [Google Scholar] [CrossRef]
- Abubakar, A.; Al-Wahaibi, Y.; Al-Wahaibi, T.; Al-Hashmi, A.; Al-Ajmi, A.; Eshrati, M. Effect of low interfacial tension on flow patterns, pressure gradients and holdups of medium-viscosity oil/water flow in horizontal pipe. Exp. Therm. Fluid Sci. 2015, 68, 58–67. [Google Scholar] [CrossRef]
- Loh, W.L.; Premanadhan, V.K. Experimental investigation of viscous oil-water flows in pipeline. J. Pet. Sci. Eng. 2016, 147, 87–97. [Google Scholar] [CrossRef]
- Shi, J.; Gourma, M.; Yeung, H. CFD simulation of horizontal oil-water flow with matched density and medium viscosity ratio in different flow regimes. J. Pet. Sci. Eng. 2017, 151, 373–383. [Google Scholar] [CrossRef]
- Parisa, S.; Ian, A.F. Stable core-annular horizontal flows in inaccessible domains via a triple-layer configuration. Chem. Eng. Sci.: X 2019, 3, 100028. [Google Scholar]
- Brauner, N. Two-phase liquid liquid annular flow. Int. J. Multiph. Flow 1991, 17, 59–76. [Google Scholar] [CrossRef]
- Rovinsky, J.; Brauner, N.; Moalem, M.D. Analytical solution for laminar two-phase flow in a fully eccentric core annular configuration. Int. J. Multiph. Flow 1997, 23, 523–543. [Google Scholar] [CrossRef]
- Garmroodi, M.; Ahmadpour, A. A numerical study on two-phase core-annular flows of waxy crude oil/water in inclined pipes. Chem. Eng. Res. Des. 2020, 159, 362–376. [Google Scholar] [CrossRef]
- Sharma, A.; Al-Sarkhi, A.; Sarica, C.; Zhang, H.Q. Modeling of oil–water flow using energy minimization concept. Int. J. Multiph. Flow 2011, 37, 326–335. [Google Scholar] [CrossRef]
- Al-Wahaibi, T.; Abubakar, A.; Al-Hashmi, A.R.; Al-Wahaibi, Y.; Al-Ajmi, A. Energy analysis of oil-water flow with drag-reducing polymer in different pipe inclinations and diameters. J. Pet. Sci. Eng. 2017, 149, 315–321. [Google Scholar] [CrossRef]
- Coelho, N.M.D.A.; Taqueda, M.E.S.; Souza, N.M.O.; de Paiva, J.L.; Santos, A.R.; Lia, L.R.B.; de Moraes, M.S.; de Moraes, D., Jr. Energy Savings on Heavy Oil Transportation through Core Annular Flow Pattern: An Experimental Approach. Int. J. Multiph. Flow 2020, 122, 103127. [Google Scholar] [CrossRef]
- Albadawi, A.; Donoghue, D.B.; Robinson, A.J.; Murray, D.B.; Delauré, Y.M.C. On the analysis of bubble growth and detachment at low Capillary and Bond numbers using Volume of Fluid and Level Set methods. Chem. Eng. Sci. 2013, 90, 77–91. [Google Scholar] [CrossRef]
- Yamamoto, F.; Okano, Y.; Dost, S. Validation of the S-CLSVOF method with the density-scaled balanced continuum surface force model in multiphase systems coupled with thermocapillary flows. Int. J. Numer. Method Fluids 2017, 83, 223–244. [Google Scholar] [CrossRef]
- Jiang, F.; Wang, K.; Skote, M.; Wong, T.N.; Duan, F. The effects of oil property and inclination angle on oil–water core annular flow through U-Bends. Heat Transf. Eng. 2018, 39, 536–548. [Google Scholar] [CrossRef]
- Jiang, F.; Wang, K.; Skote, M.; Wong, T.N.; Duan, F. Simulation of non-Newtonian oil-water core annular flow through return bends. Heat Mass Transf. 2018, 54, 37–48. [Google Scholar] [CrossRef]















| Flow Domain | Number of Cells | Number of Nodes |
|---|---|---|
| Horizontal pipe | 225,240 | 231,495 |
| Sudden-contraction pipe | 1,987,200 | 2,020,681 |
| Elbow pipe | 1,117,200 | 1,137,236 |
| Return pipe | 177,185 | 187,327 |
| Oil Name | Density (kg/m3) | Fluid Consistency Coefficient | Flow Behavior Index | Surface Tension (N/m) | hL under v = 0.8 m/s | hL under v = 1 m/s |
|---|---|---|---|---|---|---|
| CMC1 | 999.9 | 0.089 | 0.789 | 0.0714 | 0.130 | 0.152 |
| CMC2 | 1000.0 | 0.469 | 0.658 | 0.0718 | 0.231 | 0.256 |
| CMC3 | 1000.4 | 0.972 | 0.615 | 0.0727 | 0.264 | 0.275 |
| CMC4 | 1000.8 | 0.00218 | 0.948 | 0.0735 | 0.129 | 0.143 |
| CMC5 | 1001.2 | 0.00419 | 0.910 | 0.0745 | 0.133 | 0.148 |
| CMC6 | 1001.3 | 0.00588 | 0.871 | 0.075 | 0.141 | 0.151 |
| CMC7 | 1001.5 | 0.00692 | 0.850 | 0.0755 | 0.146 | 0.161 |
Publisher’s Note: MDPI stays neutral with regard to jurisdictional claims in published maps and institutional affiliations. |
© 2022 by the authors. Licensee MDPI, Basel, Switzerland. This article is an open access article distributed under the terms and conditions of the Creative Commons Attribution (CC BY) license (https://creativecommons.org/licenses/by/4.0/).
Share and Cite
Jiang, F.; Chang, J.; Huang, H.; Huang, J. A Study of the Interface Fluctuation and Energy Saving of Oil–Water Annular Flow. Energies 2022, 15, 2123. https://doi.org/10.3390/en15062123
Jiang F, Chang J, Huang H, Huang J. A Study of the Interface Fluctuation and Energy Saving of Oil–Water Annular Flow. Energies. 2022; 15(6):2123. https://doi.org/10.3390/en15062123
Chicago/Turabian StyleJiang, Fan, Jiaqing Chang, Haitao Huang, and Junhong Huang. 2022. "A Study of the Interface Fluctuation and Energy Saving of Oil–Water Annular Flow" Energies 15, no. 6: 2123. https://doi.org/10.3390/en15062123
APA StyleJiang, F., Chang, J., Huang, H., & Huang, J. (2022). A Study of the Interface Fluctuation and Energy Saving of Oil–Water Annular Flow. Energies, 15(6), 2123. https://doi.org/10.3390/en15062123

