Next Article in Journal
Application of the Horizontal Soil Stratification and Lateral Profiling Methods for 3D Mapping of the Soil Electrical Resistivity
Previous Article in Journal
Model Supported Business Case Scenario Analysis for Decentral Hydrogen Conversion, Storage and Consumption within Energy Hubs
 
 
Font Type:
Arial Georgia Verdana
Font Size:
Aa Aa Aa
Line Spacing:
Column Width:
Background:
Article

Evolutionary Game Analysis of Co-Opetition Strategy in Energy Big Data Ecosystem under Government Intervention

1
Department of Economic Management, North China Electric Power University, Beijing 102206, China
2
Economic Research Institute, State Grid Jiangsu Electric Power Co., Ltd., Nanjing 210008, China
*
Author to whom correspondence should be addressed.
These authors contributed equally to this work.
Energies 2022, 15(6), 2066; https://doi.org/10.3390/en15062066
Submission received: 19 November 2021 / Revised: 25 February 2022 / Accepted: 9 March 2022 / Published: 11 March 2022

Abstract

This study discusses how to facilitate the barrier-free circulation of energy big data among multiple entities and how to balance the energy big data ecosystem under government supervision using dynamic game theory. First, we define the related concepts and summarize the recent studies and developments of energy big data. Second, evolutionary game theory is applied to examine the interaction mechanism of complex behaviors between power grid enterprises and third-party enterprises in the energy big data ecosystem, with and without the supervision of government. Finally, a sensitivity analysis is conducted on the main factors affecting co-opetition, such as the initial participation willingness, distribution of benefits, free-riding behavior, government funding, and punitive liquidated damages. The results show that both government supervision measures and the participants’ own will have an impact on the stable evolution of the energy big data ecosystem in the dynamic evolution process, and the effect of parameter changes on the evolution is more significant under the state of no government supervision. In addition, the effectiveness of the developed model in this work is verified by simulated analysis. The present model can provide an important reference for overall planning and efficient operation of the energy big data ecosystem.

1. Introduction

Affected by the outbreak of the COVID-19 pandemic, the process of global digital transformation is accelerated by digitized new technologies. Based on the 14th Five-Year Plan, the value of big data becomes increasingly clear because it is gradually integrated into various fields of economic and social development as an element and resource [1]. Energy big data is not only a concrete practice of the national big data strategy in the energy field but also a vital driving force for the transformation and development of the energy industry [2]. Therefore, building new value-added energy data businesses and forming new economic growth points are unstoppable trends in the development of the energy industry.
The leaders of the traditional energy supply chain used to be power grid enterprises, but with the rapid development of energy internet and smart grid, there has been a great deal of energy data generated from businesses and new participants, and this accelerates the establishment of the energy big data ecosystem [3]. The energy big data ecosystem is a cross-border integration among many fields, such as energy, government, and finance supported by advanced information and communication technologies (ICT) [4].
For the energy supply chain enterprises, they can choose to participate in the energy big data service supply chain, which is dominated by power grid enterprises or third-party enterprises represented by technology providers, and there is no doubt that complex co-opetition behaviors between power grid enterprises or third-party enterprises will emerge. Therefore, to achieve a win–win scenario and synergistic development of multi-players in the energy big data ecosystem, it is necessary to develop multi-player co-opetition strategies.
Co-opetition is the dynamic evolution process of cooperation and competition between enterprises [5], which are mutually transformed and interdependent under different scenarios [6]. Considering the bounded rationality and learning mechanisms of the player in the process of co-opetition, evolutionary game theory can solve the multiple equilibria well [7,8,9]. For example, Wang et al. [8] investigated the co-opetition relationship between regional logistics nodes from the perspective of a dynamic evolutionary game. Liu et al. [9] studied the cooperation relationship of collaborative innovation members under government intervention by the methods of evolutionary game theory. They also found that government supervision significantly affected the cooperation strategies of innovation members.
The key of innovation for benefit is to balance the co-opetition in the process of innovation, especially the cooperative innovation among members in the value chain [10]. Enterprises (industry) and research institutions (technology providers) are widely proven to be the core components of the cooperative innovation of enterprises [11,12,13]. However, recent studies [14,15] found that the effect of policy agents (government) is not negligible for the cooperative innovation of enterprises.
For example, Kang et al. studied the behavior of low-carbon supply chain enterprises driven by government policies. They found that the government can stimulate enterprises to reduce carbon emissions by regulating carbon prices [14]. Ji and Miao [15] investigated the effect of corporate social responsibility (CSR) on cooperative innovation under government support. They demonstrated that government support can improve the positive effect of environmental CSR on collaborative innovation. Therefore, the effect of government support or supervision could play a key role in the cooperation and competition between enterprises (industry) and research institutions (technology providers).
To this end, the present study adopts the evolutionary game theory to explore the evolutionary stable strategy (ESS) of the energy big data ecosystem, with and without government supervision. On this basis, we establish a revenue matrix of power grid enterprises and third-party to work out respective replicator dynamics equations. Then, this study also uses the Jacobian matrix to calculate the evolutionary stability strategies and analyze the corresponding stability conditions of the two parties. Finally, MATLAB is used for numerical simulations to determine the evolution paths in different scenarios and analyze the impacts of related parameter changes on the ESS of stakeholders. This research contributes to the guidelines for power grid enterprises and third-party in the development of the energy big data ecosystem. The study answers the following key questions.
  • How to define the energy big data ecosystem? What are the relevant studies?
  • How do different scenarios influence the co-opetition of the power grid enterprises and third-party, and which strategy should be used?
  • How do governments take the supervision measure to promote the balance the development of energy big data ecosystem?
The remainder of the study is organized as follows. Section 2 defines the energy big data ecosystem and reviews its related work. Section 3 builds the framework for the basic model and describes the issue and its corresponding assumption. In this context, the evolutionary analyses between power grid enterprises and third-party, with and without government supervision, are provided. Section 4 analyzes the model and simulation. Section 5 discusses the sensitivity analysis of selected parameters. Section 6 concludes the study and highlights the implications.

2. Literature Review

Big data is a strategic resource. The value of big data is reflected in combination with the new architecture or industry [16]. To study the game strategy between the main players in the energy big data ecosystem, the concept of the energy big data ecosystem is defined first. In this context, an overview of relevant studies is provided. Therefore, the literature review is conducted from two aspects: defining the energy big data ecosystem and related work.

2.1. Defining Energy Big Data Ecosystem

At present, the definition of big data has not been unified in academia. Garner defines big data as an information asset with volume, velocity, and variety with cost-effective and innovative forms of information processing to enhance decision-making [17]. To extend the definition of big data, Demchenko Y et al. proposed [18] that big data is also characterized by value, veracity, dynamic, and linkage. Big data is about extracting the value of data and ensuring the veracity of the raw data in a cost-effective form of information processing that improves decision-making.
All interrelated components can be defined as the big data ecosystem that deals with the evolving data, models, and supporting infrastructure during the whole big data lifecycle [19]. For the energy industry, related concepts with big data ecosystem mainly include Smart Grids, Energy Internet, Ubiquitous Power Internet of Things, etc. Smart Grid refers to a new power grid that highly integrates advanced sensing and measurement technology, communication technology, information technology, computer technology, and control technology with the physical power grid [20].
Energy Internet is the further expansion and deepening of the smart grid. It is a complex multi-network flow system with a power system as the core, internet and other related information technologies as the basis, distributed renewable energy as the main primary energy, and closely coupled with a natural gas network, transportation network, and other systems [21]. Ubiquitous Power Internet of Things refers to the application of ubiquitous IoT (Internet Of Things) technology in power system to realize a holistic perception and ubiquitous connection of energy [22].
The above three concepts focus on realizing the barrier-free circulation of energy flow and business flow through interconnection technology, and data flow acts as an auxiliary tool. However, the energy big data becomes a kind of strategic resource for the stakeholders in the energy system because it is throughout the whole energy industry supply chain.
Therefore, this study defines the energy big data ecosystem as a complex system of multi-agents collaborative innovation with energy data as the “fuel”, technology innovation as the “foundation”, energy data services as the “carrier”, and business model as the “connection channel”. According to the concept of the energy big data ecosystem, the essence of system balance is a value balance. Therefore, the problems of the value evaluation of energy big data service and the game strategy between multi-agents will be extended. This study focuses on the latter.

2.2. Related Work

Currently, academic research on energy big data focuses on the macroscopic level, technology, and energy big data business models. At the macroscopic level, data-driven intelligent energy applications have been proposed by many countries [23,24,25], such as the “Future Renewable Energy Transmission and Management System” (FREEDM) project is initiated by the Natural Science Foundation of the United States, the “E-Energy plan” proposed by the Federal Ministry of Economic Affairs and Energy initiated of Germany, etc.
Corresponding to energy-intelligent application projects, a large number of intelligent energy technologies have been studied [26,27,28]. For example, big data technologies, such as wireless networks in telecommunications, sensor networks in manufacturing, and big data in computer science. In terms of business models, building energy management (BEM) and home energy management (HEM) are proposed under the scenario of on-site optimization for commercial, industrial, and residential buildings. The positive Energy District (PED) business model is proposed for the smart districts scenario [29,30]. As a hot issue of multi-discipline, the study in the above covers most aspects of the development of the energy big data ecosystem, but there is little guidance concerning the dynamic evolution of behavior strategies among supply chain members.
Evolutionary game theory has been widely applied in the fields of collaborative innovation [31,32], supply chain [33,34], strategic alliance [35,36], because of its bounded rationality and dynamic evolution. At present, the development of the energy big data ecosystem is in the initial stage, due to data security and privacy attributes, internal barriers in the energy industry, immature core technology, etc. [37].
With the continuous improvement of big data technology and the increasing demand of energy consumers for big data services, there will be a shortage of energy data resources, resulting in competition and cooperation among power grid enterprises and third-party enterprises.
Power grid companies and third-party enterprises need to adjust their competition and cooperation strategies according to the changes in the environment. Therefore, the bounded rationality and dynamic evolution premise of evolutionary game theory is in line with the dynamic competition and cooperation characteristics between power grid enterprises and third-party institutions in the energy big data ecosystem.
The concept of co-opetition was proposed by Nalebuff and Brandenburger first [38]. They indicated that the essence of creating value is the process of cooperation, and the essence of striving for value is the process of competition [39]. When the cooperation strategy is adopted by the supply chain members, there will be problems of the benefit distribution and the contradiction between their interests and the overall interests [40]. Shapley value method is a popular method of solving cooperative games based on the benefit distribution problems.
For example, Jia et al. [41] investigated the profit allocation among data contributors via the Shapley value method. However, they only considered the marginal contribution of enterprises and did not take into account other potentially influencing factors, such as risk factors and investment factors of the overall profitability of the supply chain system [42]. By considering the potential influencing factors, some studies [43,44,45,46,47,48] investigated the profit allocation among data contributors by the improved Shapley value methods. For example, by considering the key influencing factors, such as risk, input, and effort, Liu et al. [45] modified the distribution of benefits based on the contribution.
Yang et al. [46] proposed a profit allocation strategy for the cooperation among the power system, heat system, and power-to-gas in the integrated energy system of the park to take into account the operational risk factor. Xu et al. [47] developed a theoretical model for the centralized market income distribution mechanism, based on incorporating three corrective risk factors, ecological investment, and technological level. It should be noted that the above-mentioned profit allocation strategies [43,44,45,46,47,48] are proposed from the static perspective and the condition of absolute rationality [49,50,51,52].
However, in the actual supply chain system, the profit allocation strategies are significantly affected by the condition of bounded rationality and the dynamic evolution of interaction among multi-players. More importantly, there is a lack of research focused on cooperative innovation among enterprises in the energy big data ecosystem; Opportunistic behavior and free-riding are typical behaviors in the process of cooperation when the conflict between individual interests and collective interests.
Opportunistic behavior refers to the false information disclosure and other speculative self-interest behavior under the premise of information asymmetry, which damages the collective interests and is not conducive to the stability of the system. Free-riding is also a form of opportunistic behavior. The term free-riding refers to a member of a group who obtains benefits from group membership but does not undertake a proportional share of the costs of providing the benefits [53].
The effect of policy agents (government) is not negligible for the cooperative innovation of enterprises, especially in the energy sector. This study constructs the evolutionary game model of co-opetition among various players in the energy big data ecosystem under government supervision, and it uses the replicator dynamic analysis method to model the decision-making process of power grid enterprises and third parties. We explore how the dynamic interaction between power grid enterprises and third parties influences the players’ behaviors, and analyze primary factors affecting the energy big data ecosystem development, which can provide useful decision-making guidance for power grid enterprises and third parties.
Following are the differences between our work and the related literature: (1) define the energy big data ecosystem, (2) explore the co-operation behavior among energy big data service supply chain members in the energy big data ecosystem, (3) obtain the optimal strategies of power grid enterprises and third parties, respectively, and (4) analyze the impact of different parameters on the stable state of energy big data ecosystem.

3. Evolutionary Game Modeling between Power Grid Enterprises and Third-Party Enterprises

In this section, a specification for the model framework is provided. Based on the research framework, we put forward the relevant assumptions of the model and construct the corresponding co-opetition model, including profit function and game model. Among them, the profit function is constructed by Shapley value method, and its results are used the input factor of the game model. The game model mainly focuses on the two scenarios of government supervision and non-supervision. The final co-opetition game model is constructed by using the evolutionary game model.

3.1. Model Framework

This section puts forward the research framework. Based on defining relevant concepts in the energy big data ecosystem, this study uses the Shapley value of cost correction and evolutionary game model to build the model. Based on the model building and the defining development stages of the energy big data ecosystem, this study divides the analysis process into two situations: government supervision and non-supervision, and conducts system stability analysis and sensitivity analysis based on different situations, making the analysis conclusion more comprehensive and universal.
In the use of methodology, the main tool used in this study is the toolbox in MATLAB. We use MATLAB to program and analyze the evolutionary game model. In the calculation of Shapley’s value and sensitivity analysis at the end of the study, we also added the use of Excel tools. MATLAB programming and the use of the Excel toolbox facilitate the completion of the model in this study.
Figure 1 shows the framework for the model built in this article. As can be seen from the figure, this study first makes preparations for the model, such as the definition of relevant concepts, the definition of co-opetition relations, and the basic assumptions of the model. Then, we construct the co-opetition game model. The model includes Shapley value construction of benefit distribution function, evolutionary game model construction, and model stability analysis. Based on the model construction, we finally conduct relevant case simulation, sensitivity analysis, and calculation, and put forward relevant suggestions for promoting the co-opetition of all parties in the energy big data ecosystem.

3.2. Model Assumption

This section mainly carries on the related assumptions for the constructed evolutionary game model.
1.
The co-opetition subjects of the energy big data ecosystem: power grid enterprises, third-party enterprises, and government.
In the process of the co-opetition game model of all the players in the energy big data ecosystem, three types of players are considered, including government units, power grid enterprises, and other players (hereinafter collectively referred to as third-party players), which are defined as potential cooperative partners of power grid enterprises. In the game process, the government can participate in the co-opetition of the main players in the energy big data ecosystem as a supervision unit. The government performs its role as a superintendent through relevant incentive and punishment measures to promote the collaborative operation of the data of all the main players.
2.
The selection strategies of power grid enterprises and third-party enterprises are {cooperate, compete}, respectively.
For power grid enterprises and other players, both parties have two strategies to choose from: synergy and competition. Synergy will produce certain costs, and due to information asymmetry, one party will “free-ride” and use opportunistic behavior to realize income increase. However, synergy can also improve the information resources, information service quality, and user satisfaction of both parties. There is no clear relationship between synergy benefits and costs, and different relationships may occur under different initial conditions and strategies. Therefore, for power grid enterprises, the strategy sets of both sides are {cooperate, compete}.
3.
The setting of game revenue matrix between power grid enterprises and third-party enterprises.
Based on the above assumptions, a co-opetition game model between the power grid enterprises under government supervision and the third party is constructed. Table 1 describes the constructed revenue matrix. In the construction of the model, the following parameters are assumed as shown in Table 2.

3.3. Profit Function of Each Entity

When a competitive strategy is applied by a power grid company and a third-party enterprise adopt, their profit function is their independent income, which will not be described here. When a cooperative strategy is adopted the two parties, we judge individual contribution according to the contribution degree of different participants to the alliance, to satisfy basic assumption of fairness. In any case, if an individual does not additional value to the team, the contribution is zero. Within the alliance, Pareto improved distribution rules exist, and each member can recieve more benefits than if they do not join the alliance [55].
Therefore, the Shapley value in a cooperative game is used to measure the distribution strategy of cooperative benefits, and thus the value of the distribution coefficient is more reasonable. The Shapley value was put forward in 1953 by Shapley suggested to decision n people bargaining game, for everyone involved in income distribution proportion in the cooperative game provides a good method, its advantage lies in interests allocation is based on the marginal contribution of each participant to stakeholders, making the interests of all participants allocation more reasonable [56]. According to the Shapley value distribution method, the interest distribution strategy of each player ϕi [v] is:
ϕ i v = S N γ n S v S v S i , i N
where γ n S = S 1 ! n S ! / n ! .
In the formula, γ n S is the weighting factor of each union S. S represents the number of members of Union S. v S is the expected income that the stakeholder S can obtain after participating in the market. v S v S i is the marginal contribution of player iN to alliance S. ϕ i v is called the Shapley value.
Although the Shapley value method considers the expected marginal revenue of the members of the cooperative alliance and avoids the unreasonable distribution of equal revenue, it ignores the impact of capital input on income distribution. Therefore, a cost-based modification algorithm is adopted to modify the Shapley method [57]. The modified algorithm can be expressed as follows:
ϕ i v = C i C t o t a l 1 n v S + ϕ i v
Therefore, combined with the research problem in this study, the above algorithm can be substituted into the scenario, and the values of aR and (1 − a) R can be obtained. The specific calculation flow is shown in Table 3 and Table 4.
The distributed profit of 1 is:
a R = C i C t o t a l 1 n v S + ϕ i v = b 1 2 R 1 C 1 + R 1 + 1 2 R C 1 1 2 T
Similarly, the distributed profit of 2 is:
1 a R = 1 b 1 2 R 2 C 2 + R 2 + 1 2 R C 2 1 2 T
Therefore, according to the solution of Shapley’s value, we can have a more reasonable determination of the value of a.

3.4. The Construction of Evolutionary Game Model

In this section, an evolutionary game model is established to present the co-opetition relationship of the power grid enterprises, third-party enterprises, and the government. The analysis is based on the two scenarios of government supervision and non-supervision and analyzes the stability based on model construction.

3.4.1. The Evolutionary Game Model under Government Supervision

In the model, the power grid enterprise and the third-party enterprises choose the strategy according to their willingness. The power grid enterprise’s willingness to cooperate is x, and the power grid enterprise’s willingness not to cooperate is 1 − x. The willingness of the third-party enterprise to choose collaborative innovation is y, and the willingness of the third-party enterprise to choose not to perform collaborative innovation is 1 − y, x, y ∈ [0, 1].
First, the payment matrix of the co-opetition game under government supervision is shown in Table 1. The dynamic equation of evolutionary dynamic replication between power grid enterprises and third-party enterprises under government supervision can be obtained, where the expected revenue of power grid enterprises choosing the synergy strategy is:
E 11 = y R 1 + a R C 1 b T S + G + 1 y R 1 C 1 b T K
The expected income of power grid enterprises under the competitive strategy is:
E 12 = y R 1 C 1 + K F + 1 y R 1 C 1 F
Therefore, the average expected income of power grid enterprises is:
E 1 = x E 11 + 1 x E 12
The replication dynamic equation for power grid enterprises to choose the synergy strategy is:
F x = d x d t = x E 11 E 1 = x 1 x y a R + G + b S + F K b T
Similarly, the expected revenue of the third-party enterprise under the synergy strategy is:
E 21 = x R 2 + 1 a R C 2 1 b T S + G + 1 x R 2 C 2 1 b T K
The expected revenue of the third-party enterprise choosing the competitive strategy is:
E 22 = x R 2 C 2 + K F + 1 x R 2 C 2 F
Therefore, the average expected income of the third-party enterprise is:
E 2 = y E 21 + 1 y E 22
The replication dynamic equation for third-party enterprises to choose the synergy strategy is:
F y = d y d t = y E 21 E 2 = y 1 y x 1 a R + 1 b S + G + F K 1 b T
By the dynamic equation of replication F(x) and F(y), the evolutionary dynamics of power grid enterprises and third-party enterprises can be obtained, forming a two-dimensional dynamic system:
F x = d x d t = x E 11 E 1 = x 1 x y a R + G + b S + F K b T F y = d y d t = y E 21 E 2 = y 1 y x 1 a R + 1 b S + G + F K 1 b T
Let F(x) = 0 and F(y) = 0, and the local equilibrium points of the system can be obtained as follows:
E 1 0 , 0 , E 2 0 , 1 , E 3 1 , 0 , E 4 1 , 1 , E 5 x , y
where x = K F + 1 b T 1 a R + 1 b S + G , y = K F + b T a R + G + b S , and E5 (x*,y*) exists under the conditions
0 ≤ x* ≤ 1 and 0 ≤ y* ≤ 1.
The Jacobian matrix is:
J = 1 2 x y a R + G + b S + F K b T x 1 x a R + G + b S 1 2 y y 1 y 1 a R + 1 b S + G x 1 a R + 1 b S + G + F K 1 b T

3.4.2. The Evolution Game Model without Government Supervision

Under complete competition, power grid enterprises and third-party enterprises compete and cooperate through the energy big data platform. At this point, the evolutionary game relationship in the energy big data ecosystem is a two-party game. In addition to external incentive policies, each participant will pay more attention to their development and the collaborative relationship with other participants. By simplifying the co-opetition game relationship under government supervision, the co-opetition game matrix between power grid enterprises and other players can be obtained in Table 5.
According to the analysis in part (1), the dynamic equation of replication and Jacobian matrix under no supervision can also be obtained as follows.
F x = d x d t = x E 11 E 1 = x 1 x a R y K b T F y = d y d t = y E 21 E 2 = y 1 y 1 a R x 1 b T K
J = 1 2 x a R y K b T x 1 x a R y 1 y 1 a R 1 2 y 1 a R x 1 b T K
By judging the size of parameters in different scenarios, the values of determinant and trace at different stable points can be obtained, and the final stability strategy of the system can be judged.

4. Model Analysis and Simulation

In this section, model analysis and simulation analysis are carried out. The model analysis part takes the relevant parameters as the benchmark research object and analyzes the system stability under the parameter settings. In the simulation analysis part, the parameters in the model are reasonably assigned, and the results verify the rationality of our model construction and give corresponding suggestions.

4.1. Model Analysis

In the system replication dynamic equation, under the four selection strategies, the revenue of the power grid company is simplified as Ui, I = 1, 2, 3, 4, and that of the third-party company is simplified as uj, j = 1, 2, 3, 4. According to Friedman’s discriminant method, when the Jacobian matrix satisfies the value of determinant greater than zero and traces less than zero, the local equilibrium point is the stable strategy of the system [58].
By solving eigenvalues of different stable points, the determinant value and trace of the matrix under different stable points are obtained, and the final evolution strategy is obtained by judging whether the point is stable. When u1 > u2, U1 > U3—that is, when the grid company chooses the cooperative strategy, and the third-party enterprise chooses the competitive strategy, the profit is less than the cooperative strategy.
In the case that the third-party enterprises choose the cooperative strategy, and the grid enterprises choose the competitive strategy, the benefits are less than the cooperative strategy, both sides will prefer the cooperative strategy, and there are five stable points, E1 (0, 0), E2 (0, 1), E3 (1, 0), E4 (1, 1), E5 (x*, y*). When there are five stability points, the stability of different stability points can be judged, as shown in Table 6.
In this case, E1 (0, 0) and E5 (x*, y*) are selected, regardless of the initial state—that is, both sides choose a competitive strategy or both sides choose a cooperative strategy. The evolution process under different initial states is shown in Figure 2.
From the above analysis, it can be seen that the final strategy selection of each entity in the energy big data ecosystem may tend to be the evolutionarily stable strategy {compete, compete}, or the evolutionarily stable strategy {cooperate, cooperate}.
The relevant parameters in the payment matrix will closely affect the evolution path of the co-competition relationship between the main players in the energy big data ecosystem. This study takes the case of government supervision as an example to analyze the influence of different parameter settings in the model on the evolution stability strategy.
In Figure 2, E1 E3 E5 E2 and E3 E4 E2 E5 together form the area of the square E1 E2 E3 E4. The sum of the total areas is 1. Let S (E1 E3 E5 E2) be S. Then, the area of E3 E4 E2 E5 is 1-S, (S, 1-S) ∈ [0, 1] × [0, 1]. 1-S can represent the probability that the principal policy evolves to E4. The smaller S value is, the greater the probability that the policy eventually evolves to {cooperate, cooperate} and the higher the probability that {cooperate, cooperate} becomes ESS [59]. Therefore, to realize the final state of the energy big data ecosystem, the government should effectively design relevant parameters of supervision in addition to the personal will of each participant in the system, to maximize the probability of the evolution of the system to {cooperate, cooperate}.
Under the condition of government supervision, the area of region S (E1 E3 E5 E2) can be expressed as:
S E 1 E 3 E 5 E 2 = 1 2 x + y = 1 2 K F + 1 b T 1 a R + 1 b S + G + K F + b T a R + G + b S
Let S (E1 E3 E5 E2) take the derivative of government’s financial support G to obtain:
S E 1 E 3 E 5 E 2 G = 1 2 K F + 1 b T 1 a R + 1 b S + G 2 + K F + b T a R + G + b S 2
The value of (∂S (E1 E3 E5 E2))/∂G is less than zero, and with the increase of G, (∂S (E1 E3 E5 E2)))/∂G increases. S (E1 E3 E5 E2) is the minus function of G, reducing the area of the area will be reduced gradually with the increase of G, It tends to evolve to the lower left, which eventually increases the area on the line and finally increases the probability that the co-opetition relationship of the energy big data ecosystem converges to the evolutionarily stable strategy {cooperate, cooperate}.
Let S (E1 E3 E5 E2) take the derivative of the government’s supervision punishment F to obtain:
S E 1 E 3 E 5 E 2 F = 1 2 K F + 1 b T 1 a R + 1 b S + G + K F + b T a R + G + b S
When such a situation exists, K is the speculative benefit of collaborative innovation, F is the supervision penalty of the government. With the increase of F, (∂S (E1 E3 E5 E2))/∂F becomes larger, S (E1 E3 E5 E2) is the minus function of F, and the area of the region will gradually decrease with the increase of F. This tends to evolve to the lower left, which eventually increases the area on the line and finally increases the probability that the co-opetition relationship of the energy big data ecosystem converges to the evolutionarily stable strategy {cooperate, cooperate}.
In the process of F increasing, K − F + (1 − b) T > 0 is still greater than zero. At this point, for the player that does not participate in the collaboration, since the other party pays the cost of the collaboration but does not pay the cost of the collaboration and gains the free-rider benefit, the synergy cost paid by the other party can be counted as part of the benefit. K + (1 − b) T represents the benefits gained in the free-riding behavior, and F is the punishment obtained in the free-riding behavior. Therefore, although the value of F keeps increasing, K − F + (1 − b) T > 0. The non-participation in the synergy can create more benefits for the player; however, with the increase of F, the benefits will decrease. Therefore, the probability of selecting competition will become increasingly smaller. System stability tends to choose the cooperative strategy.
By analyzing the eigenvalues and stability of different scenarios, the evolution paths of different players in the energy big data ecosystem under different conditions, and the evolution strategies finally achieved can be obtained. At the beginning of the ecological system to establish great energy data, under the government-led system, the player realizes orderly participation of data services. At this point, the government can—through relevant macro policy or incentives to improve—improve the competition game model to realize the related parameters and the stability of the ecosystem to achieve the ultimate state of evolution and achieve the ultimate state of orderly cooperation strategy.
After the great energy data ecosystem development matures, participation in the main body of the data service can be solved through its own related game model parameter is set judgment system eventually reaching a steady state, orderly coordinated system. To achieve the ultimate state, the player can adjust the associated state to achieve the ultimate collaborative strategy and to achieve orderly synergies in the energy big data ecosystem.

4.2. Simulation Analysis

In the process of dynamic evolution simulation of the game system using MATLAB, the parameters are set as follows: C1 = 100, C2 = 90, R1 = 140, R2 = 125, R = 35, T = 25, b = 0.6, S = 5, G = 3.5, F = 8, and K = 5. The initial probabilities are set to x = 0.4 and y = 0.6.
1.
Sharpe profit return solution
According to the initial correlation parameter hypothesis, we obtain the income of each subject under the calculation of the cost correction Shapley value.
The distributed profit of 1 is:
a R = C i C 1 n v S + ϕ i v = b 1 2 R 1 C 1 + R 1 + 1 2 R C 1 1 2 T = 30.87209
Similarly, the distributed profit of 2 is:
1 a R = 1 b 1 2 R 2 C 2 + R 2 + 1 2 R C 2 1 2 T = 39.1263
2.
Cooperative competition strategy solution
Based on the calculated initial distribution income of each subject, combined with the constructed evolutionary game payment matrix, we obtain the payment matrix of both parties as shown in Table 7.
The probability evolution diagram of different participant selection strategies can be obtained through MATLAB simulation. As shown in Figure 3, under government control measures, the initial synergy probability of power grid enterprises is 0.4, and that of third-party enterprises is 0.6. However, regardless of the initial willingness of different participants to choose coordination, the final strategy is stable and tends to be the coordination strategy. The initial strategy selection probability obtained through evolution has a short time to reach the final steady-state, which proves that under the control of the government, reasonable parameter setting can make all the subjects in the energy data ecosystem achieve a better cooperative operation state.
As can be seen from the evolution path of energy ecological big data system, the final state of the system is that each player is in an equal position, each player carries out free co-opetition, and the government no longer performs supervision functions. When the government no longer performs the function of government supervision, the power grid company and the third-party enterprise continue the previous revenue model in the initial stage and carry on the co-opetition game.
Figure 4 shows the evolution path of the selection strategies of each player under anarchic supervision. It can be seen from the figure that, in the simulation process, the final evolution strategies of both power grid enterprises and third-party enterprises tend to be collaborative. However, compared with the government supervision, it can be seen from the figure that it takes a longer time for power grid enterprises and third-party enterprises to evolve to the collaborative strategy.
Among these, the probability evolution rate of power grid enterprises is more obvious than that of third-party enterprises. When the government retires from its regulatory function, it should adjust its parameters to reasonably allocate the costs and expenses in the energy big data ecosystem. These measures will enhance the initiative of each body to participate in collaborative development and realize the collaborative development of different bodies in different evolutionary stages.

5. Sensitivity Analysis

In this section, we focus on the influence of parameter design on the steady-state of system evolution based on the simulation analysis in Section 4.2. When analyzing the sensitivity of one parameter, the values of other parameters are consistent with the simulation analysis. Through sensitivity analysis, we finally draw corresponding conclusions in chapter 6, and these can provide a more targeted decision-making basis for promoting better development of the system.

5.1. Punitive Liquidated Damages

To specifically explain the influence of changes of relevant parameters under government supervision on the final ESS of evolutionary game, we assign values to relevant parameters, conduct simulation of evolutionary game, and analyze the stable state of the system under different parameter changes.
In this study, the value of F represents the punitive liquidated damages needed to pay due to government supervision. Figure 5 shows the evolution trend of the system under the changes of F. The height of the bar chart in the figure represents the probability that different players tend to choose the cooperation strategy at different times. The red position in the figure is the moment when the probability of different players choosing the cooperation strategy is 1, which is the stable moment.
As can be seen from the figure, with the increase of F, that is, with the increase of the punitive liquidated damages for each player not choosing the synergy strategy, the convergence speed of the two players to the synergy strategy is improved. This is reflected in the graph—that is, as the value of F increases from 8 to 12, marking the continuous advance of the position of the point with probability 1. The change in F value has a positive relationship with the change of synergetic tendency.

5.2. Government Funding

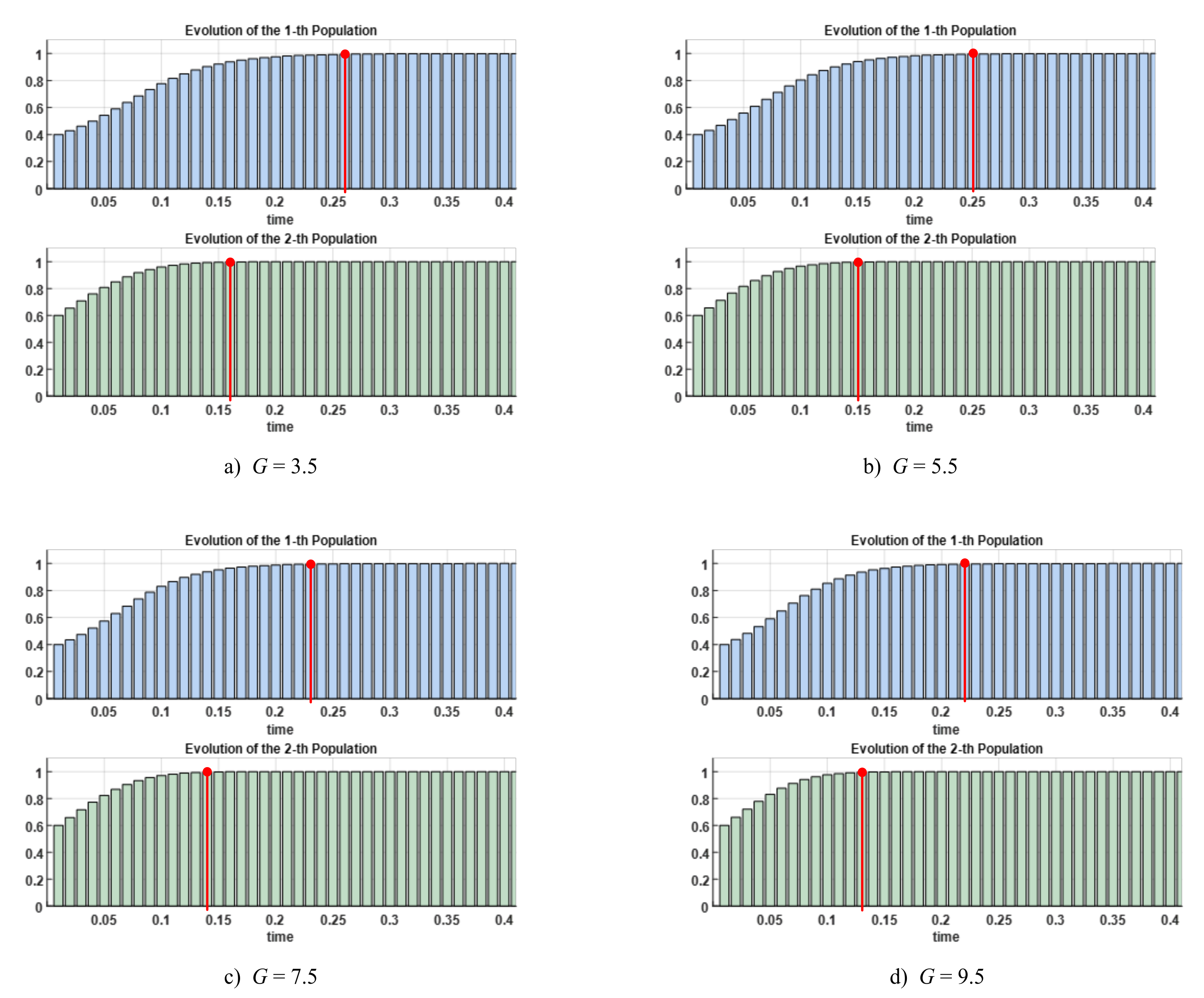
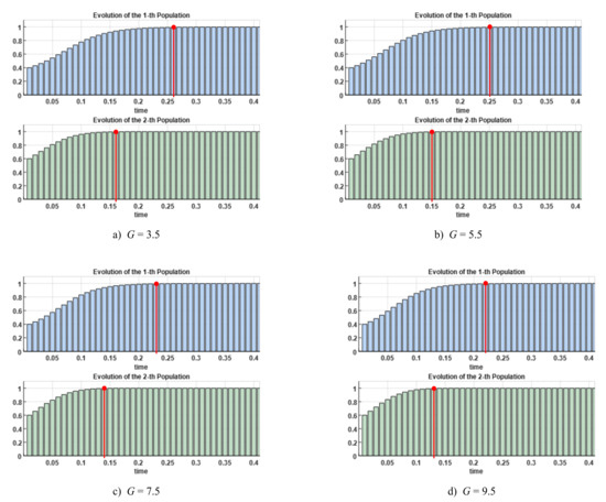
G represents the government funding to other entities actively participating in data service collaboration. Figure 6 shows the evolution trend of the system under the changes of G. The height of the bar chart in the figure represents the probability that different players tend to choose the cooperation strategy at different times. The red position in the figure is the moment when the probability of different players choosing the cooperation strategy is 1, which is the stable moment.
With the increase of G—that is, the government funding obtained by each player when choosing the synergy strategy becomes larger—the convergence speed of the two players to the synergy strategy is improved. This is reflected in the graph—that is, as the value of G increases from 3.5 to 9.5, thus, marking the continuous advance of the position of the point with probability 1. Therefore, the value change of G shows a positive change relationship with the rate at which the system develops towards cooperative intention.

5.3. Reduction of Total Cost

The reduction of total cost input due to preferential policies provided by the government is represented by S. Figure 7 shows the evolution trend of the system under the changes of S. The height of the bar chart in the figure represents the probability that different players tend to choose the cooperation strategy at different times. The red position in the figure is the moment when the probability of different players choosing the cooperation strategy is 1, which is the stable moment.
In our study, the trends of the above four graphs all describe the tendency of each subject to finally choose the synergy strategy. As we can see from Figure 7, with the increase of S, the cost reduction becomes larger, and the convergence speed of the two players to the synergy strategy is improved. This is reflected in the graph, as the value of S increases from 5 to 20, marking the continuous advance of the position of the point with probability 1. The change of S is positively related to the rate at which the system evolves to the cooperative strategy.

5.4. Benefits of Free-Riding

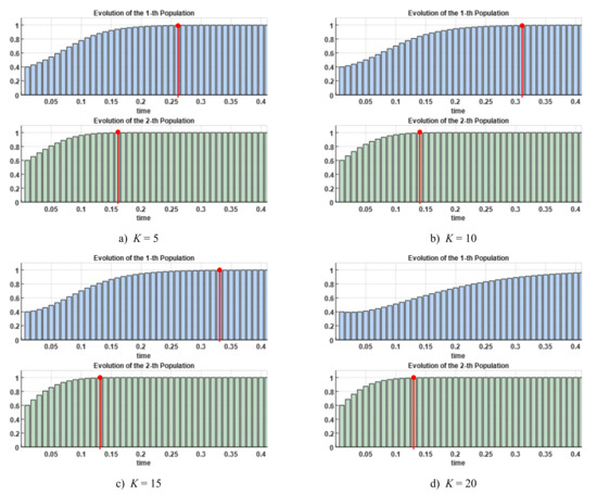
In the system, K indicates the synergistic benefits increased and decreased by the grid enterprises and the third-party enterprises due to the free-riding behavior. With other parameters unchanged, the simulation results of the influence of K change on the evolution of the game system are shown in Figure 8 and Figure 9, respectively. Figure 8 shows the influence of K change on the evolution of the system under the state of government supervision, and Figure 9 shows the influence of K change on the evolution of the system under the state of government supervision.
As can be seen from the figure, when K also increases from 5 to 20, the evolution of collaborative strategy between power grid enterprises and third-party enterprises shows an opposite trend. When the value of K increases, that is, the income generated by free-riding increases in the system, the speed of power grid enterprises choosing the synergy strategy slows down, while the speed of third-party enterprises choosing the synergy strategy accelerates. This is especially true when there is no government oversight, as can be seen from the shift in red. Under the same numerical evolution interval, power grid enterprises tend to evolve to the competitive strategy, while third-party enterprises tend to accelerate the speed of the cooperative strategy

5.5. Initial Probability

For the evolution of the system, the probabilities of power grid enterprises and third-party enterprises initially choosing the coordination strategy are x and y, respectively, which also play a cruicial role in the evolution of the system. Figure 10 shows the influence of changes in the initial probability on the system evolution under government supervision and without government supervision.
It can be seen from the initial state that the final strategies of participants all tend to be cooperative. Therefore, extreme conditions are set for the initial probability. When the initial probability is extremely inclined to cooperative and competitive strategies, the evolution of the system is analyzed. As shown in the figure, under government supervision and non-supervision, the assignment of initial probability has an impact on the evolution time of the system but has no impact on the final state.

5.6. Proportional Coefficient of Cost Apportionment of Power Grid Enterprises

The cost distribution coefficient, which is represented by the symbol b, also has an impact on the system evolution. Figure 11 and Figure 12, respectively, show the influence of cost distribution coefficient on system evolution under government supervision and non-supervision. The figure shows that the cost allocation coefficient for system evolution will produce a certain effect; however, in the conditions of government supervision, cost allocation coefficient, the rate of change and the system tends to collaborative strategy is not a strictly linear relationship. When increasing to a 0.5 b process, the system evolution slows down the rate of cooperative strategy with the increase of b, then shows a rising trend.
When b increases to 0.5, the evolution rate of the system slows down with the increase of b. In government supervision, under the situation of cost allocation coefficient for grid enterprises involved in the process of the impact of relatively large, with the increase of b value, the enterprises tend to choose the strategy of the rate that will be lower. For the third-party enterprises, the b value of participation in the competition and synergy change on the impact of this process is relatively small.

6. Discussion and Conclusions

Based on evolutionary game theory under bounded rationality, we constructed a game model of co-opetition among multi players in the energy big data ecosystem. According to the internal cooperation mechanism of evolutionary game model, a quantitative representation of system stability was obtained. Furthermore, the analysis results were effectively supported.
As is shown in Section 5, the impacts of the main parameters on the behavior strategies evolution of both parties are revealed by the simulations. The three parameters F, G, and S are mentioned in Section 5.1, Section 5.2 and Section 5.3 as relevant parameters under government supervision. According to sensitivity analysis, the parameter changes of F, G, and S are in a positive relationship with the rate of system evolution to the collaborative strategy. The parameters involved in Section 5.4, Section 5.5 and Section 5.6 are mainly related to the participants’ willingness.
It can be known that the decrease of participants’ willingness, such as the increase and decrease of free-riding benefits, the decrease of initial probability, and the increase of cost, lead to the decrease of the evolution rate of the system to the cooperative strategy. Moreover, in the absence of government supervision, the decrease of the evolution rate of the system to the cooperative strategy is higher than under government supervision. Therefore, appropriate government supervision is conducive to the evolution of cooperation strategy of energy big data ecosystem to an ideal stable state.
The primary conclusions and implications are as follows: (1) Government funding and the punitive liquidated damages under government supervision are conducive to the collaborative development of the energy big data ecosystem. The simulation showed that, under the conditions of high government funding and punitive liquidated damages, the returns of each participant in the system will be affected, and the system tends to be in a state of synergy that will accelerate. This finding implies that government intervention can make the energy big data ecosystem more stable. (2) For the willingness of participants, the difference of initial probability may affect the state trend of the system at the initial stage of evolution, but has relatively little influence on the state trend of the system at the end. The distribution of benefits also has an impact on the evolution of the system; however, the variation trend of the two is not strictly linear and will be affected by other parameters. The benefits of free-riding behavior affect the participants’ initial willingness to participate in the collaboration of the energy big data ecosystem.
Similarly, the higher the benefits of free-riding behavior, the slower the rate of the participants’ final trend toward collaboration, and this trend is particularly obvious when the government does not regulate it. Therefore, the development of an energy big data ecosystem can be promoted by optimizing policy parameters. Enterprises committed to cooperation can be given extra incentives (such as corresponding subsidies, etc.), and certain punishments can be given for competitive behaviors that are not conducive to system stability. Reasonable government measures can improve the willingness of various actors in the energy big data ecosystem to cooperate.
Based on the above conclusions, the following countermeasures and suggestions are proposed: (1) Government can play an incentive role in the construction of energy big data ecosystem by setting coefficients, such as capital investment, cost subsidies, and supervised penalties. Government supervision can create a fair competitive environment for all participants and realize coordinated development. (2) Scientific and reasonable income distribution mechanisms and cost distribution mechanisms should be advocated. Both sides of the game can establish a benign information-sharing mechanism to divide the benefits and costs from the participation of both sides in the synergy process. A reasonable distribution mechanism can help each party to continuously participate in the energy big data ecology and contribute to the sustainable development of the system. (3) Strengthen the cultivation of cooperative consciousness of market subjects. In addition to the reasonable supervision of the government, the willingness of each player is also an essential part of the construction of energy big data ecology. It is necessary to avoid the free-riding behavior of each player, which disrupts the market order driven by interests. The government should fully protect the legitimate rights and interests of all players, and, at the same time, do a good job in the connection and transition mechanism between government supervision and government non-supervision, so that, under the complete market mechanism without government supervision, all players can continue to participate in the benign and promote the development of energy big data ecology.
Compared with existing relevant literature, our study is different from other studies in the following aspects: (1) In most related work, no matter how many participants are in the system, they need to participate in the co-opetition relationship [33,34,35,36]. In reality, however, participants’ orientation needs to be clarified. In this study, the government does not participate in the co-opetition relationship but plays the role of supervision unit. This is the difference between our work and relevant literature. (2) In most evolutionary game studies, the profit distribution coefficient in the process of cooperation is self-determined and lacks rationality [44,45,46]. The modified Shapley value method is applied to better improve the evolutionary game model and form a relatively coherent connection. (3) In terms of parameter settings, the main parameters are fully considered, including relevant influencing factors of evolution within the system, parameters set by the government, and parameters related to the participant’s willingness. In addition, the same parameters in the two scenarios are compared longitudinally, which provides a good basis for the subsequent conclusions of this study.
This study explores the co-opetition relationship between power grid enterprises and third-party enterprises under government intervention. There are some limitations in the present study, which may provide avenues for future research. First, the cooperative strategy of power grid enterprises and third-party enterprises is assumed. However, many of our assumptions are based on theoretical analysis. The energy big data ecosystem is a concept in the initial development stage, and thus there is a gap between our study and reality.
Second, this paper only involves the game between power grid enterprises and third-party enterprises in the context of government intervention. However, with the continuous development of the energy big data ecosystem, it will evolve into a strategic interaction between all possible stakeholders (i.e., government, enterprises, and consumers), which is worthy of in-depth study in the future.

Author Contributions

A.-R.-H.B. and Y.L.: methodology, visualization, and writing of the original draft. J.D.: supervision review and editing. Z.-P.C., Z.-J.C. and C.W.: preliminary investigations. All authors have read and agreed to the published version of the manuscript.

Funding

This research was funded by the Science and Technology Project of State Grid Corporation of China “Construction of Provincial Energy Big Data Ecosystem and Application practice of Data Value-added Service Oriented to Park” (Program NO. 5400-202018223A-0-0-00).

Institutional Review Board Statement

Not applicable.

Informed Consent Statement

Not applicable.

Data Availability Statement

Not applicable.

Acknowledgments

The authors gratefully acknowledge support from the Science and Technology Foundation of State Grid Corporation of China “Construction of Provincial Energy Big Data Ecosystem and Application practice of Data Value-added Service Oriented to Park” (Program NO. 5400-202018223A-0-0-00).

Conflicts of Interest

The authors declare that there are no conflict of interest.

References

  1. Central Committee of the Communist Party of China. Outline of the Fourteenth Five-Year Plan of the National Economic and Social Development of the People’s Republic of China and the Vision 2035. 12 March 2021. Available online: http://www.gov.cn/xinwen/2021-03/13/content_5592681.htm (accessed on 18 November 2021).
  2. Tian, S.; Luan, W.; Zhang, D.; Liang, H.; Sun, Y. Technical Forms and Key Technologies on Energy Internet. Proc. CSEE 2015, 35, 3482–3494. [Google Scholar]
  3. Zhou, K.; Yang, S.; Shao, Z. Energy internet: The business perspective. Appl. Energy 2016, 178, 212–222. [Google Scholar] [CrossRef]
  4. Zhou, K.; Fu, C.; Yang, S. Big data driven smart energy management: From big data to big insights. Renew. Sustain. Energy Rev. 2016, 56, 215–225. [Google Scholar] [CrossRef]
  5. Baierl, R.; Anokhin, S.; Grichnik, D. Coopetition in corporate venture capital: The relationship between network attributes, corporate innovativeness, and financial performance. Int. J. Technol. Manag. 2016, 71, 58–80. [Google Scholar] [CrossRef]
  6. Bengtsson, M.; Kock, S. “Coopetition” in business Networks—To cooperate and compete simultaneously. Ind. Mark. Manag. 2000, 29, 411–426. [Google Scholar] [CrossRef]
  7. Ji, S.F.; Zhao, D.; Luo, R.J. Evolutionary game analysis on local governments and manufacturers’ behavioral strategies: Impact of phasing out subsidies for new energy vehicles. Energy 2019, 189, 116064. [Google Scholar] [CrossRef]
  8. Wang, D.Z.; Lang, M.X.; Sun, Y. Evolutionary game analysis of co-opetition relationship between regional logistics nodes. J. Appl. Res. Technol. 2014, 12, 251–260. [Google Scholar] [CrossRef][Green Version]
  9. Liu, W.; Yang, J. The evolutionary game theoretic analysis for sustainable cooperation relationship of collaborative innovation network in strategic emerging industries. Sustainability 2018, 10, 4585. [Google Scholar] [CrossRef]
  10. Gnyawali, D.R.; Park, B.J.R. Co-opetition between giants: Collaboration with competitors for technological innovation. Res. Policy 2011, 40, 650–663. [Google Scholar] [CrossRef]
  11. Shan, H.; Li, Y.; Shi, J. Influence of supply chain collaborative innovation on sustainable development of supply chain: A study on Chinese enterprises. Sustainability 2020, 12, 2978. [Google Scholar] [CrossRef]
  12. Liew, M.S.; Shahdan, T.T.; Lim, E.S. Strategic and tactical approaches on university-industry collaboration. Procedia Soc. Behav. Sci. 2012, 56, 405–409. [Google Scholar] [CrossRef][Green Version]
  13. Yin, Y.; Qin, S.F. A smart performance measurement approach for collaborative design in Industry 4.0. Adv. Mech. Eng. 2019, 11, 1687814018822570. [Google Scholar] [CrossRef]
  14. Wang, C.; Hu, Q. Knowledge sharing in supply chain networks: Effects of collaborative innovation activities and capability on innovation performance. Technovation 2020, 94, 102010. [Google Scholar] [CrossRef]
  15. Fawcett, S.E.; Jones, S.L.; Fawcett, A.M. Supply chain trust: The catalyst for collaborative innovation. Bus. Horiz. 2012, 55, 163–178. [Google Scholar] [CrossRef]
  16. Casanovas, P.; De Koker, L.; Mendelson, D.; Watts, D. Regulation of Big data: Perspectives on strategy, policy, law and privacy. Health Technol. 2017, 7, 335–349. [Google Scholar] [CrossRef]
  17. Günther, W.A.; Mehrizi, M.H.R.; Huysman, M.; Feldberg, F. Debating big data: A literature review on realizing value from big data. J. Strateg. Inf. Syst. 2017, 26, 191–209. [Google Scholar] [CrossRef]
  18. Demchenko, Y.; Laat, C.D.; Membrey, P. Defining architecture components of the Big Data Ecosystem. In Proceedings of the International Conference on Collaboration Technologies & Systems, Minneapolis, MN, USA, 19–23 May 2014. [Google Scholar]
  19. Bourne, P.E.; Lorsch, J.R.; Green, E.D. Perspective: Sustaining the big-data ecosystem. Nature 2015, 527, S16–S17. [Google Scholar] [CrossRef]
  20. Jiang, H.; Wang, K.; Wang, Y.; Gao, M.; Zhang, Y. Energy big data: A survey. IEEE Access 2016, 4, 3844–3861. [Google Scholar] [CrossRef]
  21. Hossein Motlagh, N.; Mohammadrezaei, M.; Hunt, J.; Zakeri, B. Internet of Things (IoT) and the energy sector. Energies 2020, 13, 494. [Google Scholar] [CrossRef]
  22. Dongsheng, Y.; Daohao, W.; Bowen, Z.; Qiyu CHEn, Z.Y.; Guoyi, X.U.; Mingjian, C.U.I. Key technologies and application prospects of ubiquitous power internet of things. Power Gener. Technol. 2019, 40, 107–114. [Google Scholar]
  23. Mohammadi, M.; Noorollahi, Y.; Mohammadi-Ivatloo, B.; Yousefi, H. Energy hub: From a model to a concept—A review. Renew. Sustain. Energy Rev. 2017, 80, 1512–1527. [Google Scholar] [CrossRef]
  24. Hussain, S.M.; Nadeem, F.; Aftab, M.A.; Ali, I.; Ustun, T.S. The emerging energy internet: Architecture, benefits, challenges, and future prospects. Electronics 2019, 8, 1037. [Google Scholar] [CrossRef]
  25. Ma, T.; Wu, J.; Hao, L.; Lee, W.J.; Yan, H.; Li, D. The optimal structure planning and energy management strategies of smart multi energy systems. Energy 2018, 160, 122–141. [Google Scholar] [CrossRef]
  26. Ma, J.; Cheng, J.C. Estimation of the building energy use intensity in the urban scale by integrating GIS and big data technology. Appl. Energy 2016, 183, 182–192. [Google Scholar] [CrossRef]
  27. Yang, C.T.; Chen, S.T.; Liu, J.C.; Liu, R.H.; Chang, C.L. On construction of an energy monitoring service using big data technology for the smart campus. Clust. Comput. 2020, 23, 265–288. [Google Scholar] [CrossRef]
  28. Marinakis, V. Big data for energy management and energy-efficient buildings. Energies 2020, 13, 1555. [Google Scholar] [CrossRef]
  29. Gao, Y.; Li, S.; Fu, X.; Dong, W.; Lu, B.; Li, Z. Energy management and demand response with intelligent learning for multi-thermal-zone buildings. Energy 2020, 210, 118411. [Google Scholar] [CrossRef]
  30. Zhang, X.; Penaka, S.R.; Giriraj, S.; Sánchez, M.N.; Civiero, P.; Vandevyvere, H. Characterizing positive energy district (PED) through a preliminary review of 60 existing projects in europe. Buildings 2021, 11, 318. [Google Scholar] [CrossRef]
  31. Kong, X.; Xu, Q.; Zhu, T. Dynamic evolution of knowledge sharing behavior among enterprises in the cluster innovation network based on evolutionary game theory. Sustainability 2020, 12, 75. [Google Scholar] [CrossRef]
  32. Hou, J.; Li, B. The evolutionary game for collaborative innovation of the IoT industry under government leadership in China: An IoT infrastructure perspective. Sustainability 2020, 12, 3648. [Google Scholar] [CrossRef]
  33. Tian, Y.; Govindan, K.; Zhu, Q. A system dynamics model based on evolutionary game theory for green supply chain management diffusion among Chinese manufacturers. J. Clean. Prod. 2014, 80, 96–105. [Google Scholar] [CrossRef]
  34. Babu, S.; Mohan, U. An integrated approach to evaluating sustainability in supply chains using evolutionary game theory. Comput. Oper. Res. 2018, 89, 269–283. [Google Scholar] [CrossRef]
  35. Xu, Y.; Yu, B.; Wang, Y.; Chen, Y. A stochastic evolutionary game perspective on the stability of strategic alliances against external opportunism. J. Syst. Sci. Complex 2015, 28, 978–996. [Google Scholar] [CrossRef]
  36. Zhang, L.; Xue, L.; Zhou, Y. How do low-carbon policies promote green diffusion among alliance-based firms in China? An evolutionary-game model of complex networks. J. Clean. Prod. 2019, 210, 518–529. [Google Scholar] [CrossRef]
  37. Liu, W.; Long, S.; Xie, D.; Liang, Y.; Wang, J. How to govern the big data discriminatory pricing behavior in the platform service supply chain? An examination with a three-party evolutionary game model. Int. J. Prod. Econ. 2021, 231, 107910. [Google Scholar] [CrossRef]
  38. Brandenburger, A.M.; Nalebuff, B.J. Co-Opetition; Currency: New York, NY, USA, 2011. [Google Scholar]
  39. Giest, S.; Mukherjee, I. Behavioral instruments in renewable energy and the role of big data: A policy perspective. Energy Policy 2018, 123, 360–366. [Google Scholar] [CrossRef]
  40. Feng, T.T.; Gong, X.L.; Guo, Y.H.; Yang, Y.S.; Pan, B.B.; Li, S.P.; Dong, J. Electricity cooperation strategy between China and ASEAN countries under ‘The Belt and Road’. Energy Strateg. Rev. 2020, 30, 100512. [Google Scholar] [CrossRef]
  41. Ji, H.; Miao, Z. Corporate social responsibility and collaborative innovation: The role of government support. J. Clean. Prod. 2020, 260, 121028. [Google Scholar] [CrossRef]
  42. Zhang, Y.J.; Wang, A.D.; Da, Y.B. Regional allocation of carbon emission quotas in China: Evidence from the Shapley value method. Energy Policy 2014, 74, 454–464. [Google Scholar] [CrossRef]
  43. Yu, H.; Zhang, M. Data pricing strategy based on data quality. Comput. Ind. Eng. 2017, 112, 1–10. [Google Scholar] [CrossRef]
  44. Xu, Z.; Peng, Z.; Yang, L.; Chen, X. An improved shapley value method for a green supply chain income distribution mechanism. Int. J. Environ. Res. Public Health 2018, 15, 1976. [Google Scholar] [CrossRef]
  45. Gao, E.; Sowlati, T.; Akhtari, S. Profit allocation in collaborative bioenergy and biofuel supply chains. Energy 2019, 188, 116013. [Google Scholar] [CrossRef]
  46. Liu, X.; Wang, X.; Guo, H.; An, X. Benefit Allocation in Shared Water-Saving Management Contract Projects Based on Modified Expected Shapley Value. Water Resour. Manag. 2021, 35, 39–62. [Google Scholar] [CrossRef]
  47. Yang, S.; Tan, Z.; Zhao, R.; De, G.; Li, H.; Ju, L. Operation optimization and income distribution model of park integrated energy system with power-to-gas technology and energy storage. J. Clean. Prod. 2020, 247, 119090. [Google Scholar] [CrossRef]
  48. Yang, S.; Tan, Z.; Lin, H.; Li, P.; De, G.; Ju, L. A two-stage optimization model for Park Integrated Energy System operation and benefit allocation considering the effect of Time-Of-Use energy price. Energy 2020, 195, 117013. [Google Scholar] [CrossRef]
  49. Miao, C.; Fang, D.; Sun, L.; Luo, Q.; Yu, Q. Driving effect of technology innovation on energy utilization efficiency in strategic emerging industries. J. Clean. Prod. 2018, 170, 1177–1184. [Google Scholar] [CrossRef]
  50. Chen, Y.; Duan, L.; Zhang, W. Effect of user involvement in supply chain cloud innovation: A game theoretical model and analysis. J. Glob. Inf. Manag. 2020, 28, 23–38. [Google Scholar] [CrossRef]
  51. Da, B.; Liu, C.; Liu, N.; Fan, S. Strategies of Two-Level Green Technology Investments for Coal Supply Chain under Different Dominant Modes. Sustainability 2021, 13, 3643. [Google Scholar] [CrossRef]
  52. Wang, L.; Watanabe, T. A Stackelberg game theoretic analysis of incentive effects under perceived risk for China’s straw-based power plant supply chain. Energies 2016, 9, 455. [Google Scholar] [CrossRef]
  53. Hailong, X.; Changyuan, G.; Lili, Z.; Shuchen, Z. Research on Dynamic Evolutionary Game Model of Data Resource Sharing among Big Data Alliance Members: Based on the Perspective of Sharing Positivity. Bus. Rev. 2020, 32, 155. [Google Scholar]
  54. Mohebbi, S.; Li, X. Coalitional game theory approach to modeling suppliers’ collaboration in supply networks. Int. J. Prod. Econ. 2015, 169, 333–342. [Google Scholar] [CrossRef]
  55. Gou, Z.; Deng, Y. Dynamic Model of Collaboration in Multi-Agent System Based on Evolutionary Game Theory. Games 2021, 12, 75. [Google Scholar] [CrossRef]
  56. Vasile, A.; Costea, C.E.; Viciu, T.G. An evolutionary game theory approach to market co-opetition. Adv. Complex Syst. 2012, 15, 1250044. [Google Scholar] [CrossRef]
  57. Kittner, N.; Lill, F.; Kammen, D.M. Energy storage deployment and innovation for the clean energy transition. Nat. Energy 2017, 2, 17125. [Google Scholar] [CrossRef]
  58. Ge, M.; Bangui, H.; Buhnova, B. Big data for internet of things: A survey. Future Gener. Comput. Syst. 2018, 87, 601–614. [Google Scholar] [CrossRef]
  59. Su, Y.; Yu, Y.; Zhang, N. Carbon emissions and environmental management based on Big Data and Streaming Data: A bibliometric analysis. Sci. Total Environ. 2020, 733, 138984. [Google Scholar] [CrossRef]
Figure 1. The roadmap of the model framework built in this study.
Figure 1. The roadmap of the model framework built in this study.
Energies 15 02066 g001
Figure 2. Evolution steady-state diagram.
Figure 2. Evolution steady-state diagram.
Energies 15 02066 g002
Figure 3. Evolution path of the system under government supervision.
Figure 3. Evolution path of the system under government supervision.
Energies 15 02066 g003
Figure 4. Evolution path of the system under anarchic supervision.
Figure 4. Evolution path of the system under anarchic supervision.
Energies 15 02066 g004
Figure 5. Influence of F change on system evolution.
Figure 5. Influence of F change on system evolution.
Energies 15 02066 g005
Figure 6. Influence of G change on system evolution.
Figure 6. Influence of G change on system evolution.
Energies 15 02066 g006
Figure 7. Influence of S change on system evolution.
Figure 7. Influence of S change on system evolution.
Energies 15 02066 g007
Figure 8. Influence of K change on system evolution (under government supervision).
Figure 8. Influence of K change on system evolution (under government supervision).
Energies 15 02066 g008
Figure 9. Influence of K change on system evolution (without government supervision).
Figure 9. Influence of K change on system evolution (without government supervision).
Energies 15 02066 g009
Figure 10. Influence of initial probability change on system evolution.
Figure 10. Influence of initial probability change on system evolution.
Energies 15 02066 g010
Figure 11. Influence of b change on system evolution (under government supervision).
Figure 11. Influence of b change on system evolution (under government supervision).
Energies 15 02066 g011
Figure 12. Influence of b change on system evolution (without government supervision).
Figure 12. Influence of b change on system evolution (without government supervision).
Energies 15 02066 g012
Table 1. Evolutionary game matrix of both parties under government supervision.
Table 1. Evolutionary game matrix of both parties under government supervision.
Evolutionary Game MatrixThird-Party Enterprise
Cooperate (y)Compete (1 − y)
Power grid enterprisesCooperate (x)R1 + aR-C1-b(T-S) + GR1-C1-bT-K
R2 + (1-a)R-C2-(1-b)(T-S) + GR2-C2 + K-F
Compete (1 − x)R1-C1 + K-FR1-C1-F
R2-C2-(1-b)T-KR2-C2-F
Table 2. Assumptions about the system parameters.
Table 2. Assumptions about the system parameters.
ParametersDescription
R1The normal income of power grid enterprises when they adopt the competitive strategy
R2The normal income obtained by the third-party player when it adopts the competitive strategy
RThe additional income after the participation of both parties
aThe proportional coefficient of income apportionment of power grid enterprises
1 − aProportional coefficient of cost allocation of other entities
C1The total cost paid by the grid enterprise to develop data services
C2The total cost paid by other entities to develop data services
TThe extra cooperation cost when the power grid enterprise and the third-party main body adopt the cooperation strategy
bProportional coefficient of cost apportionment of power grid enterprises
1 − bProportion coefficient of other players
SThe reduction of total cost input due to preferential policies provided by the government
GThe government funding to other entities actively participating in data service collaboration
FThe punitive liquidated damages need to pay due to government supervision
KThe synergistic benefits increased and decreased by the grid enterprises and the third-party enterprises due to the free-riding behavior, which comes into being because of the problem of unequal resource endowment and different goals pursued by each player in the energy big data ecosystem [54].
ESSThe evolutionary stable strategy of the system.
Table 3. Expected earnings of different alliances.
Table 3. Expected earnings of different alliances.
Serial NumberLeague FormProfit
1{1}R1C1
2{2}R2C2
3{1, 2}R1 + R2 + RC1C2T
Table 4. Shapley value solution.
Table 4. Shapley value solution.
S{1}{1, 2}
v (S)R1C1R1 + R2 + RC1C2T
v (S − {1})0R2C2
v(S) − v(S − {1})R1C1R1 + RC1T
|S|12
γ(|S|)1/21/2
γ(|S|)[v(S) − v(S − {1})]1/2*(R1C1)1/2*(R1 + RC1T)
“*” represents the multiplication sign.
Table 5. The evolutionary game matrix of the two parties without government supervision.
Table 5. The evolutionary game matrix of the two parties without government supervision.
Evolutionary Game MatrixThird-Party Enterprise
Cooperate (y)Compete (1 − y)
Power grid enterprisescooperate (x)R1 + aR − C1 − bTR1 − C1 − bT − K
R2 + (1 − a)R − C2 − (1 − b)TR2 − C2 + K
compete (1 − x)R1 − C1 + KR1 − C1
R2C2 − (1 − b)TKR2C2
Table 6. The asymptotic stability condition.
Table 6. The asymptotic stability condition.
PointsEigenvalueStability
E1 (0, 0)λ1 < 0 λ2 < 0ESS (evolutionary stable strategy)
E2 (0, 1)λ1 < 0 λ2 > 0Unstable point
E3 (1, 0)λ1 > 0 λ2 > 0Unstable point
E4 (1, 1)λ1 < 0 λ2 > 0ESS
E5 (x*, y*)λ1 < 0 λ2 < 0Saddle point
Table 7. Simulation analysis of the payment matrix of power grid enterprises and third-party enterprises.
Table 7. Simulation analysis of the payment matrix of power grid enterprises and third-party enterprises.
Evolutionary Game MatrixThird-Party Enterprise
Cooperate (y)Compete (1 − y)
Power grid enterprisesCooperate (x)62.37209320
69.62629832
Compete (1 − x)3732
2027
Publisher’s Note: MDPI stays neutral with regard to jurisdictional claims in published maps and institutional affiliations.

Share and Cite

MDPI and ACS Style

Bao, A.-R.-H.; Liu, Y.; Dong, J.; Chen, Z.-P.; Chen, Z.-J.; Wu, C. Evolutionary Game Analysis of Co-Opetition Strategy in Energy Big Data Ecosystem under Government Intervention. Energies 2022, 15, 2066. https://doi.org/10.3390/en15062066

AMA Style

Bao A-R-H, Liu Y, Dong J, Chen Z-P, Chen Z-J, Wu C. Evolutionary Game Analysis of Co-Opetition Strategy in Energy Big Data Ecosystem under Government Intervention. Energies. 2022; 15(6):2066. https://doi.org/10.3390/en15062066

Chicago/Turabian Style

Bao, A-Ru-Han, Yao Liu, Jun Dong, Zheng-Peng Chen, Zhen-Jie Chen, and Chen Wu. 2022. "Evolutionary Game Analysis of Co-Opetition Strategy in Energy Big Data Ecosystem under Government Intervention" Energies 15, no. 6: 2066. https://doi.org/10.3390/en15062066

APA Style

Bao, A.-R.-H., Liu, Y., Dong, J., Chen, Z.-P., Chen, Z.-J., & Wu, C. (2022). Evolutionary Game Analysis of Co-Opetition Strategy in Energy Big Data Ecosystem under Government Intervention. Energies, 15(6), 2066. https://doi.org/10.3390/en15062066

Note that from the first issue of 2016, this journal uses article numbers instead of page numbers. See further details here.

Article Metrics

Back to TopTop