PF2RM: A Power Fault Retrieval and Recommendation Model Based on Knowledge Graph
Abstract
:1. Introduction
- We reconstruct the ontology layer of the power knowledge graph with grid dispatching business as the core.
- We propose the graph-neighbor fault entity cluster to emphasize the correlation between neighboring project entities to solve the problem of search cold starts.
- We design a user-polymorphic recommendation method to study the user’s search intention from the user’s past state and current state.
2. Related Work
3. Methodology
3.1. Intelligent Fault Analysis Method
3.2. Construction of Multi-Business Power Knowledge Graph
3.3. Graph-Neighbor Fault Entity Cluster
- Step 1: Retrieve the central graph-neighbor entity cluster. First, find the entity set N(k) directly connected to the retrieval central entity n, and make graph-neighbor entity cluster statistics for each neighbor node entity stored in ;
- Step 2: Obtain the graph-neighbor entity cluster. Compare the actual hop count from the central entity in with the value of the sample value K. Then, recursively determine whether the 1 to K layer neighbor entity satisfies the hop count k, and use the satisfying entities as the elements within the graph-neighbor entity cluster ;
- Step 3: Make statistics on the graph-neighbor cluster entity relations. Make traversal statistics for the element connections within the neighbor entity cluster according to the index list of each neighbor cluster node, and calculate the relation number of each entity ;
- Step 4: Merge and sort the elements in . First, group and sort by the relation number to obtain the entity index list with sequence length N/2. Record the sort result as r. Then, compare the r of the two sorted groups of N/2 entity elements from the beginning of the sequence, and place the entity with the larger value of r in the sampling list W(n). After traversal, delete the duplicate index entity in the sampling list. Finally, the entity corresponding to the index in the sampling list is the graph-neighbor entity cluster W(n) of the retrieval central entity.
| Algorithm 1. Graph-Neighbor Fault Entity Cluster | |
| 1: | Input: Sampling entity cluster N(k) |
| 2: | Output: Graph-neighbor entity cluster W(n) |
| 3: | //Central graph-neighbor entity cluster retrieval |
| 4: | while k < preset value do // Get collection of k-jump fault entities. |
| 5: | Recurse (t); // By recursively computing the entities in N(k). |
| 6: | W(k) ← Graph_neighbor(t, k); |
| 7: | end while |
| 8: | //Computation of each entity relation of graph-neighbor cluster |
| 9: | for Entity in W(k) do |
| 10: | for i = 1, 2, …, n do |
| 11: | if n then |
| 12: | Count () // Number of statistical samples. |
| 13: | end if |
| 14: | end for |
| 15: | end for |
| 16: | //Merge and sort the graph-neighbor cluster elements W(k). |
| 13: | for Entity W(k) do |
| 14: | W(k) ← Merge() // Subsuming sorting of element priorities. |
| 15: | end for |
| 16: | returnW(n) |
3.4. User-Polymorphic Retrieval Recommendation
3.4.1. Polymorphic Feature Collection
3.4.2. User Intention Prediction
| Algorithm 2. User Polymorphic Retrieval Recommendation Model | |
| 1: | Input: User retrieval subgraph |
| 2: | Output: User retrieval prediction result W(n) |
| 3: | // Get user retrieval subgraphs |
| 4: | if state = = Implicit then // Determine the search status |
| 5: | ; |
| 6: | else if state = = explicit then |
| 7: | ; |
| 8: | end if |
| 9: | // User retrieval subgraph division |
| 10: | W, D ← Define(); |
| 11: | L ← D-W; |
| 12: | Calculate F; |
| 13: | ← Retrieval_subgraphs ; // Solve retrieval subgraph Sn. |
| 14: | if Re_entity Sn then// Use method PFR for retrieving subgraphs Sn |
| 15: | for i = 0, 1, 2, …, n do |
| 16: | W’n ← Graph_neighbor(Si); |
| 17: | Wn ← re_Merge(W’n); // Summarize and sort the retrieved subgraph Sn. |
| 18: | end for |
| 19: | end if |
| 20: | returnW(n) |
4. Experimental Results and Analysis
4.1. Power Fault Knowledge Graph
4.2. Experimental Data and Model Comparison
- RippleNet [13] is a hybrid recommendation model that propagates user preferences by introducing a knowledge graph, using the original features of users and items and the knowledge graph as input.
- LibFM [5] is a model based on feature decomposition for click-through-rate prediction, using the original features of users and items as input.
- DeepFM [28] is a deep learning recommendation model. The low-level feature and high-level feature are extracted by the neural network module and the factorization machine module, respectively, and the two extracted parts are input as features.
- CKE [2] (Collaborative Knowledge Embedding) is a recommendation model based on the embedding method, which combines the collaborative filtering method to introduce the knowledge graph to accomplish the recommendation task.
4.3. Cold-Start Recommendation Effect Evaluation
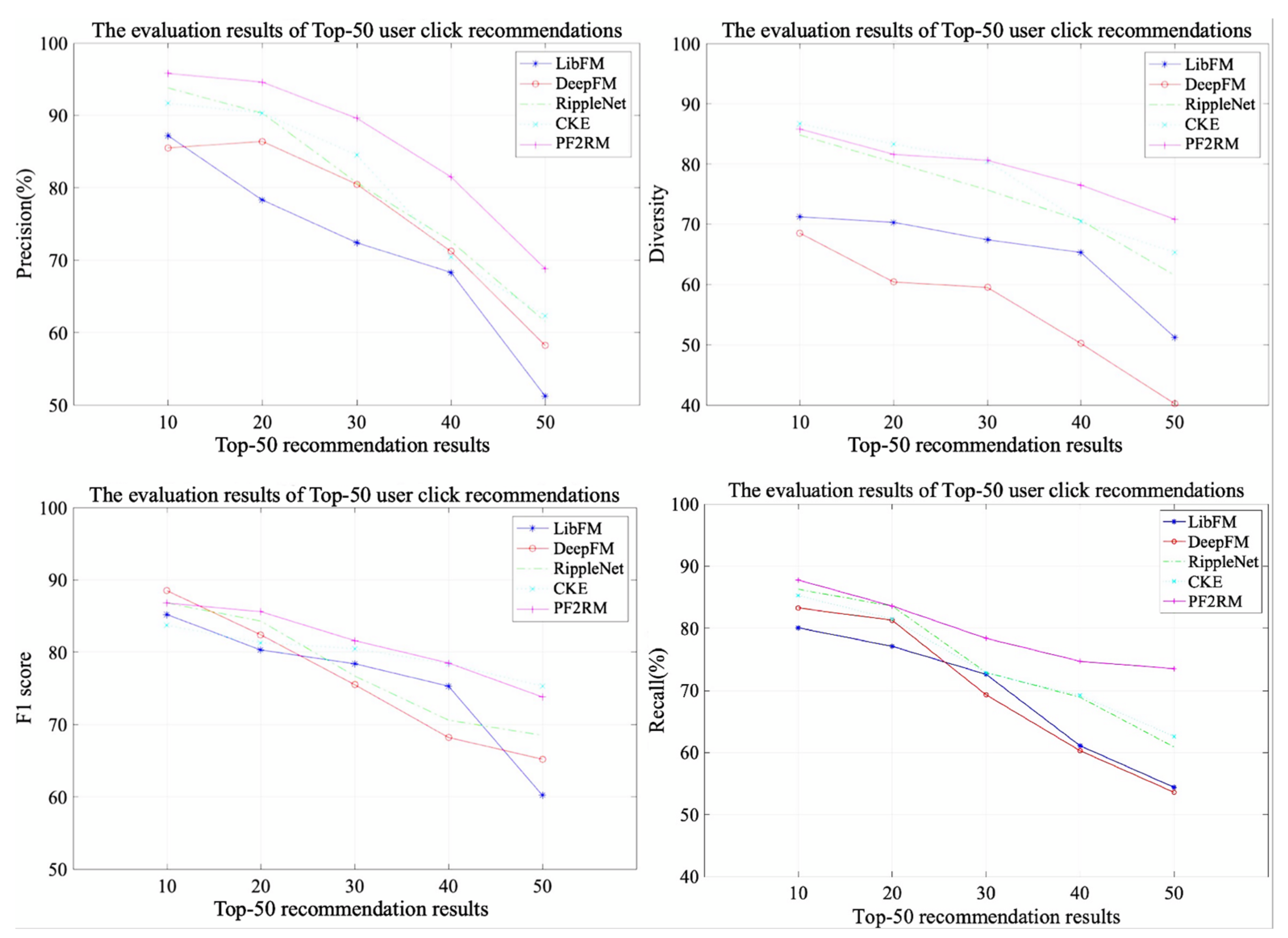
4.4. User Click Recommendation Effect Evaluation
5. Conclusions
Author Contributions
Funding
Data Availability Statement
Conflicts of Interest
References
- Sun, W.; Chen, P.; Xiong, J.; Shen, J. A graph attention recommendation model based on bipartite knowledge graph. Comput. Eng. Appl. pp. 1–10. Available online: http://kns.cnki.net/kcms/detail/11.2127.TP.20210721.1555.008.html (accessed on 21 February 2022).
- Thagard, P. Collaborative Knowledge. NOS 2010, 31, 242–261. [Google Scholar]
- Huang, Q.; Wang, S.; Xu, Q.; Li, L.; Jiang, S. Image video-centric cross-media analysis and reasoning. J. Intell. Syst. 2021, 16, 835–848. [Google Scholar]
- Yu, C.; Zhang, Z.; Kong, L. A comparative study of knowledge graph representation models for link prediction. Data Anal. Knowl. Discov. 2021, 5, 29–44. [Google Scholar]
- Rendle, S. Factorization Machines with libFM. ACM Trans. Intell. Syst. Technol. 2012, 3, 1–22. [Google Scholar] [CrossRef]
- Gao, J.; Liu, Q.; Huang, W. Research on automatic generation of learning paths based on knowledge mapping. Modern Educ. Technol. 2021, 31, 88–96. [Google Scholar]
- Wang, T.; Shi, D.; Wang, Z.; Xu, S.; Xu, H. MRP2Rec: Exploring Multiple-Step Relation Path Semantics for Knowledge Graph-Based Recommendations. IEEE Access 2020, 8, 134817–134825. [Google Scholar] [CrossRef]
- Xie, F.; Zheng, A.; Chen, L.; Zheng, Z. Attentive Meta-graph Embedding for item Recommendation in heterogeneous information networks—ScienceDirect. Knowl. Based Syst. 2020, 211, 106524. [Google Scholar] [CrossRef]
- Liu, Q.; Qin, M. A collaborative matrix decomposition method based on knowledge representation learning. J. Beijing Univ. Technol. 2021, 41, 752–757. [Google Scholar]
- Chou, D.; Wu, J.; Liu, Z.; Tu, Z.; Hu, X.; Li, C.; Su, H.; Xia, Y.; Gao, X.; Pan, Z.; et al. Research on key technologies and applications of intelligent medical and health care integration service platform. J. Intell. Syst. 2021, 16, 972–988. [Google Scholar]
- Chen, J.; Yu, J.; Lu, W.; Qian, Y.; Li, P. IR-Rec: An interpretive rules-guided recommendation over knowledge graph. Inf. Sci. 2021, 563, 326–341. [Google Scholar] [CrossRef]
- Li, Z.; Yang, Y.; Wang, X. Rule-based shortest path query algorithm. J. Softw. 2019, 30, 515–536. [Google Scholar]
- Wang, H.; Zhang, F.; Wang, J.; Zhao, M.; Li, W.; Xie, X.; Guo, M. RippleNet. In Proceedings of the 27th ACM International Conference on Information and Knowledge Management, Turin, Italy, 22–26 October 2018; pp. 417–426. [Google Scholar]
- Yu, Y.; Du, Q.; Yue, B.; Xiang, J.; Xu, G.; Leng, Y. A review of recommendation research based on reinforcement learning. Comput. Sci. 2021, 48, 1–18. [Google Scholar]
- Tao, Y.; Yu, L.; Wu, Z. CoTransH: A translation model for semantic relationship prediction in the knowledge graph of scien-tific and technical documents. Intell. Theory Pract. 2021, 44, 187–196. [Google Scholar] [CrossRef]
- Chen, Y.; Mensah, S.; Ma, F.; Wang, H.; Jiang, Z. Collaborative Filtering Grounded on Knowledge Graphs. Pattern Recognit. Lett. 2021, 107, 2411–2502. [Google Scholar] [CrossRef]
- Zhang, Y.; Wang, W.; Liu, H.; Gu, R.; Hao, Y. Collaborative filtering recommendation algorithm based on knowledge graph embedding. Comput. Appl. Res. 2021, 38, 3590–3596. [Google Scholar] [CrossRef]
- Wang, L.; Li, S.; Liu, H. A news recommendation method incorporating knowledge graph and differential privacy. Comput. Appl. 2021, 1–9. Available online: http://kns.cnki.net/kcms/detail/51.1307.TP.20210727.1429.006.html (accessed on 21 February 2022).
- Wang, H.; Ding, J.; Hu, F.; Wang, X. A review of large-scale enterprise-level knowledge graph practices. Comput. Eng. 2020, 46, 1–13. [Google Scholar]
- Tian, L.; Zhang, Z.; Zhang, J.; Zhou, W.; Zhou, X. A review of knowledge graphs - representation, construction, inference and knowledge hypergraph theory. Comput. Appl. 2021, 41, 2161–2186. [Google Scholar]
- Hao, Y.; Zhang, J.; Wu, M.; Wu, X. A framework for rapid construction and application of domain knowledge graphs. J. Intell. Syst. 2021, 16, 871–884. [Google Scholar]
- Duan, Y.; Shao, L.; Cui, L.; Gao, H. Knowledge Graph Based Personalized Test Recommendation in Cloud. J. Chin. Comput. Syst. 2018, 39, 2743–2747. [Google Scholar]
- Google Knowledge Graph [EB/OL]. Available online: https://en.wikipedia.org/wiki/Knowledge_graph (accessed on 12 February 2022).
- Hu, Z.; Wang, J.; Yan, Y.; Zhao, P.; Chen, J.; Huang, J. Neural graph personalized ranking for Top-N Recommendation. Knowl. Based Syst. 2020, 213, 106426. [Google Scholar] [CrossRef]
- Jiao, J.; Wang, S.; Zhang, X.; Wang, L.; Feng, Z.; Wang, J. gMatch: Knowledge base question answering via semantic matching. Knowl. Based Syst. 2021, 228, 107270. [Google Scholar] [CrossRef]
- Huang, H.; Chen, Y.; Lou, B.; Hongzhou, Z.; Wu, J.; Yan, K. Constructing Knowledge Graph from Big Data of Smart Grids. In Proceedings of the 2019 10th International Conference on Information Technology in Medicine and Education (ITME), Qingdao, China, 23–25 August 2019; pp. 637–641. [Google Scholar]
- Tang, Y.; Liu, T.; Liu, G.; Li, J.; Dai, R.; Yuan, C. Enhancement of Power Equipment Management Using Knowledge Graph. In Proceedings of the 2019 IEEE Innovative Smart Grid Technologies—Asia (ISGT Asia), Chengdu, China, 21–24 May 2019; pp. 905–910. [Google Scholar]
- Guo, H.; Tang, R.; Ye, Y.; Li, Z.; He, X. DeepFM: A Factorization-Machine based Neural Network for CTR Prediction. In Proceedings of the Twenty-Sixth International Joint Conference on Artificial Intelligence, Melbourne, Australia, 19–25 August 2017. [Google Scholar]
- Li, J.; Xu, Z.; Tang, Y.; Zhao, B.; Tian, H. Deep Hybrid Knowledge Graph Embedding for Top-N Recommendation. In Proceedings of the 17th International Conference on Hybrid Learning and Education, Guangzhou, China, 23–25 September 2020; pp. 59–70. [Google Scholar]










| Top Level | Middle Level | Bottom Level |
|---|---|---|
| Power Failures | Fault type | name, attribute, phenomenon, cause, processing task, expert experience |
| Fault case | location, scenario, type, phenomenon, maintenance task, retrieval feature | |
| Fault record | time, location, type, phenomenon, cause, processing task, maintenance result | |
| Research | definition, application scenario, safety regulations, expert experience, analysis process | |
| Inspection tasks | maintenance content, application scenario, operation steps, expert experience | |
| Topology | Power equipment | equipment name, equipment number, usage regulations, operating parameters, fault records, neighbor cluster node, production information |
| Cross node | operating parameters, power equipment, load | |
| Line node | up-connect equipment, down-connect equipment, line attributes, operating parameters | |
| Responsibility | responsibility, location information, holder, contact information | |
| Department staff | name, department, position, contact information | |
| Department information | holder name, contact information, function, department staff | |
| Retrieval information | user ID, retrieval feature, retrieval history |
| Model | NDCG | AUC |
|---|---|---|
| LibFM | 0.38 | 76.3 |
| DeepFM | 0.32 | 85.4 |
| RippleNet | 0.63 | 88.2 |
| CKE | 0.57 | 86.6 |
| PF2RM | 0.60 | 89.1 |
| Model | P (Precision) | R (Recall) | F1 Score | D (Diversity) |
|---|---|---|---|---|
| LibFM | 0.83 | 0.72 | 0.77 | 0.65 |
| DeepFM | 0.82 | 0.80 | 0.81 | 0.58 |
| RippleNet | 0.85 | 0.81 | 0.83 | 0.77 |
| CKE | 0.83 | 0.79 | 0.81 | 0.83 |
| PF2RM | 0.87 | 0.80 | 0.83 | 0.80 |
Publisher’s Note: MDPI stays neutral with regard to jurisdictional claims in published maps and institutional affiliations. |
© 2022 by the authors. Licensee MDPI, Basel, Switzerland. This article is an open access article distributed under the terms and conditions of the Creative Commons Attribution (CC BY) license (https://creativecommons.org/licenses/by/4.0/).
Share and Cite
Liang, K.; Zhou, B.; Zhang, Y.; Li, Y.; Zhang, B.; Zhang, X. PF2RM: A Power Fault Retrieval and Recommendation Model Based on Knowledge Graph. Energies 2022, 15, 1810. https://doi.org/10.3390/en15051810
Liang K, Zhou B, Zhang Y, Li Y, Zhang B, Zhang X. PF2RM: A Power Fault Retrieval and Recommendation Model Based on Knowledge Graph. Energies. 2022; 15(5):1810. https://doi.org/10.3390/en15051810
Chicago/Turabian StyleLiang, Kun, Baoxian Zhou, Yiying Zhang, Yiping Li, Bo Zhang, and Xiankun Zhang. 2022. "PF2RM: A Power Fault Retrieval and Recommendation Model Based on Knowledge Graph" Energies 15, no. 5: 1810. https://doi.org/10.3390/en15051810
APA StyleLiang, K., Zhou, B., Zhang, Y., Li, Y., Zhang, B., & Zhang, X. (2022). PF2RM: A Power Fault Retrieval and Recommendation Model Based on Knowledge Graph. Energies, 15(5), 1810. https://doi.org/10.3390/en15051810

