Site-Adaptation for Correcting Satellite-Derived Solar Irradiance: Performance Comparison between Various Regressive and Distribution Mapping Techniques for Application in Daejeon, South Korea
Abstract
1. Introduction
2. Data
2.1. Satellite-Derived Datasets
2.2. Ground-Based Observation
- a.
- b.
- c.
- d.
- e.
- f.
- g.
- h.
- i.
3. Methods for Site Adaptation
3.1. Regressive Methods
3.2. Distribution Mapping Methods
3.3. Sequential Methods
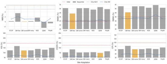
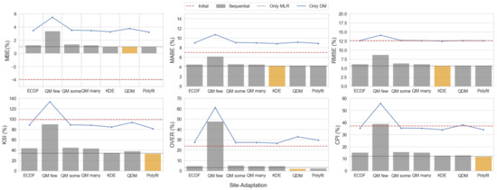
4. Results
4.1. Error Statistics
4.2. Ranking Methodology
4.3. Evaluation of Original Estimates
4.4. Evaluation of Individual Site-Adaptation Techniques
5. Discussion
5.1. Performance of Sequential Site-Adaptation Techniques
5.2. Ranking of Site-Adaptation Methods
6. Conclusions
Supplementary Materials
Author Contributions
Funding
Data Availability Statement
Acknowledgments
Conflicts of Interest
References
- Choi, Y.; Suh, J.; Kim, S.-M. GIS-Based Solar Radiation Mapping, Site Evaluation, and Potential Assessment: A Review. Appl. Sci. 2019, 9, 1960. [Google Scholar] [CrossRef]
- Izadyar, N.; Ong, H.C.; Chong, W.T.; Leong, K.Y. Resource Assessment of the Renewable Energy Potential for a Remote Area: A Review. Renew. Sustain. Energy Rev. 2016, 62, 908–923. [Google Scholar] [CrossRef]
- Kim, S.-M.; Oh, M.; Park, H.-D. Analysis and Prioritization of the Floating Photovoltaic System Potential for Reservoirs in Korea. Appl. Sci. 2019, 9, 395. [Google Scholar] [CrossRef]
- Yang, D.; Wang, W.; Xia, X. A Concise Overview on Solar Resource Assessment and Forecasting. Adv. Atmos. Sci. 2022, 39, 1239–1251. [Google Scholar] [CrossRef]
- Nematollahi, O.; Kim, K.C. A Feasibility Study of Solar Energy in South Korea. Renew. Sustain. Energy Rev. 2017, 77, 566–579. [Google Scholar] [CrossRef]
- Kim, C.K.; Kim, H.-G.; Kang, Y.-H.; Yun, C.-Y.; Kim, B.; Kim, J.Y. Solar Resource Potentials and Annual Capacity Factor Based on the Korean Solar Irradiance Datasets Derived by the Satellite Imagery from 1996 to 2019. Remote Sens. 2021, 13, 3422. [Google Scholar] [CrossRef]
- Koo, Y.; Oh, M.; Kim, S.-M.; Park, H.-D. Estimation and Mapping of Solar Irradiance for Korea by Using COMS MI Satellite Images and an Artificial Neural Network Model. Energies 2020, 13, 301. [Google Scholar] [CrossRef]
- Kim, J.-Y.; Yun, C.-Y.; Kim, C.K.; Kang, Y.-H.; Kim, H.-G.; Lee, S.-N.; Kim, S.-Y. Evaluation of WRF Model-Derived Direct Irradiance for Solar Thermal Resource Assessment over South Korea. AIP Conf. Proc. 2017, 1850, 140013. [Google Scholar] [CrossRef]
- Huang, G.; Li, Z.; Li, X.; Liang, S.; Yang, K.; Wang, D.; Zhang, Y. Estimating Surface Solar Irradiance from Satellites: Past, Present, and Future Perspectives. Remote Sens. Environ. 2019, 233, 111371. [Google Scholar] [CrossRef]
- Kim, C.K.; Holmgren, W.F.; Stovern, M.; Betterton, E.A. Toward Improved Solar Irradiance Forecasts: Derivation of Downwelling Surface Shortwave Radiation in Arizona from Satellite. Pure Appl. Geophys. 2016, 173, 2535–2553. [Google Scholar] [CrossRef]
- Kim, C.K.; Kim, H.-G.; Kang, Y.-H.; Yun, C.-Y. Toward Improved Solar Irradiance Forecasts: Comparison of the Global Horizontal Irradiances Derived from the COMS Satellite Imagery over the Korean Peninsula. Pure Appl. Geophys. 2017, 174, 2773–2792. [Google Scholar] [CrossRef]
- Amillo, A.; Huld, T.; Müller, R. A New Database of Global and Direct Solar Radiation Using the Eastern Meteosat Satellite, Models and Validation. Remote Sens. 2014, 6, 8165–8189. [Google Scholar] [CrossRef]
- Ineichen, P.; Barroso, C.S.; Geiger, B.; Hollmann, R.; Marsouin, A.; Mueller, R. Satellite Application Facilities Irradiance Products: Hourly Time Step Comparison and Validation over Europe. Int. J. Remote Sens. 2009, 30, 5549–5571. [Google Scholar] [CrossRef]
- Riihelä, A.; Kallio, V.; Devraj, S.; Sharma, A.; Lindfors, A. Validation of the SARAH-E Satellite-Based Surface Solar Radiation Estimates over India. Remote Sens. 2018, 10, 392. [Google Scholar] [CrossRef]
- Polo, J.; Wilbert, S.; Ruiz-Arias, J.A.; Meyer, R.; Gueymard, C.; Súri, M.; Martín, L.; Mieslinger, T.; Blanc, P.; Grant, I.; et al. Preliminary Survey on Site-Adaptation Techniques for Satellite-Derived and Reanalysis Solar Radiation Datasets. Sol. Energy 2016, 132, 25–37. [Google Scholar] [CrossRef]
- Yang, D.; Gueymard, C.A. Probabilistic Post-Processing of Gridded Atmospheric Variables and Its Application to Site Adaptation of Shortwave Solar Radiation. Sol. Energy 2021, 225, 427–443. [Google Scholar] [CrossRef]
- Polo, J.; Martín, L.; Vindel, J.M. Correcting Satellite Derived DNI with Systematic and Seasonal Deviations: Application to India. Renew. Energy 2015, 80, 238–243. [Google Scholar] [CrossRef]
- Bangarigadu, K.; Hookoom, T.; Ramgolam, Y.K.; Kune, N.F. Analysis of Solar Power and Energy Variability through Site Adaptation of Satellite Data with Quality Controlled Measured Solar Radiation Data. J. Sol. Energy Eng. 2020, 143, 031008. [Google Scholar] [CrossRef]
- Cannon, A.J.; Sobie, S.R.; Murdock, T.Q. Bias Correction of GCM Precipitation by Quantile Mapping: How Well Do Methods Preserve Changes in Quantiles and Extremes? J. Clim. 2015, 28, 6938–6959. [Google Scholar] [CrossRef]
- Mieslinger, T.; Ament, F.; Chhatbar, K.; Meyer, R. A New Method for Fusion of Measured and Model-Derived Solar Radiation Time-Series. Energy Procedia 2014, 48, 1617–1626. [Google Scholar] [CrossRef]
- Schumann, K.; Beyer, H.G.; Meyer, R.; Chhatbar, K. Improving Satellite-Derived Solar Resource Analysis with Parallel Ground-Based Measurements. In Proceedings of the ISES Solar World Congress 2011, Kassel, Germany, 28 August–2 September 2011; pp. 3970–3981. [Google Scholar]
- Polo, J.; Fernández-Peruchena, C.; Salamalikis, V.; Mazorra-Aguiar, L.; Turpin, M.; Martín-Pomares, L.; Kazantzidis, A.; Blanc, P.; Remund, J. Benchmarking on Improvement and Site-Adaptation Techniques for Modeled Solar Radiation Datasets. Sol. Energy 2020, 201, 469–479. [Google Scholar] [CrossRef]
- Fernández-Peruchena, C.M.; Polo, J.; Martín, L.; Mazorra, L. Site-Adaptation of Modeled Solar Radiation Data: The SiteAdapt Procedure. Remote Sens. 2020, 12, 2127. [Google Scholar] [CrossRef]
- McGinnis, S.; Nychka, D.; Mearns, L.O. A New Distribution Mapping Technique for Climate Model Bias Correction. In Machine Learning and Data Mining Approaches to Climate Science; Lakshmanan, V., Gilleland, E., McGovern, A., Tingley, M., Eds.; Springer International Publishing: Cham, Switzerland, 2015; pp. 91–99. ISBN 978-3-319-17219-4. [Google Scholar]
- Themeßl, M.J.; Gobiet, A.; Heinrich, G. Empirical-Statistical Downscaling and Error Correction of Regional Climate Models and Its Impact on the Climate Change Signal. Clim. Change 2012, 112, 449–468. [Google Scholar] [CrossRef]
- Ramgolam, Y.K.; Bangarigadu, K.; Hookoom, T. A Robust Methodology for Assessing the Effectiveness of Site Adaptation Techniques for Calibration of Solar Radiation Data. J. Sol. Energy Eng. 2020, 143, 31009. [Google Scholar] [CrossRef]
- Gueymard, C.A. Clear-Sky Irradiance Predictions for Solar Resource Mapping and Large-Scale Applications: Improved Validation Methodology and Detailed Performance Analysis of 18 Broadband Radiative Models. Sol. Energy 2012, 86, 2145–2169. [Google Scholar] [CrossRef]
- Kim, C.K.; Kim, H.-G.; Kang, Y.-H.; Yun, C.-Y.; Lee, Y.G. Intercomparison of Satellite-Derived Solar Irradiance from the GEO-KOMSAT-2A and HIMAWARI-8/9 Satellites by the Evaluation with Ground Observations. Remote Sens. 2020, 12, 2149. [Google Scholar] [CrossRef]
- Gueymard, C.A.; Ruiz-Arias, J.A. Extensive Worldwide Validation and Climate Sensitivity Analysis of Direct Irradiance Predictions from 1-Min Global Irradiance. Sol. Energy 2016, 128, 1–30. [Google Scholar] [CrossRef]
- Cebecauer, T.; Suri, M. Site-Adaptation of Satellite-Based DNI and GHI Time Series: Overview and SolarGIS Approach. AIP Conf. Proc. 2016, 1734, 150002. [Google Scholar] [CrossRef]
- Kasten, F.; Young, A.T. Revised Optical Air Mass Tables and Approximation Formula. Appl. Opt. 1989, 28, 4735–4738. [Google Scholar] [CrossRef] [PubMed]
- Kasten, F. The Linke Turbidity Factor Based on Improved Values of the Integral Rayleigh Optical Thickness. Sol. Energy 1996, 56, 239–244. [Google Scholar] [CrossRef]
- Perez, R.; Ineichen, P.; Seals, R.; Zelenka, A. Making Full Use of the Clearness Index for Parameterizing Hourly Insolation Conditions. Sol. Energy 1990, 45, 111–114. [Google Scholar] [CrossRef]
- Yang, D.; Kleissl, J.; Gueymard, C.A.; Pedro, H.T.C.; Coimbra, C.F.M. History and Trends in Solar Irradiance and PV Power Forecasting: A Preliminary Assessment and Review Using Text Mining. Sol. Energy 2018, 168, 60–101. [Google Scholar] [CrossRef]
- Espinar, B.; Ramírez, L.; Drews, A.; Beyer, H.G.; Zarzalejo, L.F.; Polo, J.; Martín, L. Analysis of Different Comparison Parameters Applied to Solar Radiation Data from Satellite and German Radiometric Stations. Sol. Energy 2009, 83, 118–125. [Google Scholar] [CrossRef]
- Lorenzo, A.T.; Holmgren, W.F.; Cronin, A.D. Irradiance Forecasts Based on an Irradiance Monitoring Network, Cloud Motion, and Spatial Averaging. Sol. Energy 2015, 122, 1158–1169. [Google Scholar] [CrossRef]
- Kim, C.K.; Kim, H.-G.; Kang, Y.-H.; Yun, C.-Y.; Lee, S.-N. Evaluation of Global Horizontal Irradiance Derived from CLAVR-x Model and COMS Imagery over the Korean Peninsula. New Renew. Energy 2016, 12, 13–20. [Google Scholar] [CrossRef]
- Ogunjobi, K.O.; Kim, Y.J.; He, Z. Influence of the Total Atmospheric Optical Depth and Cloud Cover on Solar Irradiance Components. Atmos. Res. 2004, 70, 209–227. [Google Scholar] [CrossRef]
- Frisch, R.; Waugh, F.V. Partial Time Regressions as Compared with Individual Trends. Econometrica 1933, 1, 387–401. [Google Scholar] [CrossRef]
- Lovell, M.C. Seasonal Adjustment of Economic Time Series and Multiple Regression Analysis. J. Am. Stat. Assoc. 1963, 58, 993–1010. [Google Scholar] [CrossRef]











| Name | Family | Reference |
|---|---|---|
| Linear regression | Regressive | [18,30] |
| Polynomial regression | Regressive | [20] |
| Multilinear regression | Regressive | [22,23] |
| Quantile mapping (incl. ECDF Mapping, Kernel Density Estimation (KDE)) | Distribution mapping | [19,24] |
| Quantile delta mapping | Distribution mapping | [19] |
| Polynomial fit of ECDF | Distribution mapping | [21] |
| Method | MBE (%) | r1 | MABE (%) | r2 | RMSE (%) | r3 | KSI (%) | r4 | OVER (%) | r5 | CPI (%) | r6 | Overall Rank |
|---|---|---|---|---|---|---|---|---|---|---|---|---|---|
| Initial | −5.04 | 18 | 14.36 | 9 | 21.8 | 17 | 136.62 | 17 | 63.68 | 17 | 60.98 | 17 | 17 |
| LIN | −3.52 | 17 | 15.26 | 17 | 21.89 | 18 | 168.93 | 18 | 81.87 | 18 | 73.65 | 18 | 18 |
| POLY | −1.09 | 16 | 14.69 | 12 | 20.29 | 9 | 53.48 | 4 | 8.96 | 7 | 25.76 | 7 | 8 |
| MLR | −0.67 | 14 | 11.18 | 4 | 16.46 | 1 | 100.29 | 14 | 31.3 | 15 | 41.13 | 14 | 11 |
| ECDF | 0.37 | 8 | 14.67 | 11 | 20.79 | 11 | 86.82 | 10 | 13.58 | 10 | 35.5 | 10 | 10 |
| QM few | 1.04 | 15 | 15.59 | 18 | 21.39 | 16 | 103.71 | 15 | 29.01 | 14 | 43.87 | 15 | 16 |
| QM some | 0.41 | 9 | 14.71 | 13 | 20.82 | 12 | 86.55 | 9 | 12.88 | 8 | 35.27 | 8 | 9 |
| QM many | 0.37 | 7 | 14.67 | 10 | 20.79 | 10 | 86.38 | 8 | 13.32 | 9 | 35.32 | 9 | 7 |
| KDE | 0.22 | 3 | 14.74 | 14 | 20.83 | 13 | 87.38 | 11 | 14.71 | 11 | 35.93 | 11 | 12 |
| QDM | 0.41 | 10 | 15.02 | 16 | 21.03 | 15 | 96.82 | 13 | 24.72 | 13 | 40.9 | 13 | 15 |
| Polyfit | 0.18 | 1 | 14.76 | 15 | 20.94 | 14 | 96.07 | 12 | 18.87 | 12 | 39.21 | 12 | 13 |
| MLR-ECDF | −0.25 | 4 | 11.23 | 6 | 16.6 | 6 | 54.01 | 6 | 1.62 | 4 | 22.21 | 5 | 5 |
| MLR-QM few | 0.28 | 6 | 12.27 | 8 | 17.44 | 8 | 109.27 | 16 | 33.78 | 16 | 44.48 | 16 | 14 |
| MLR-QM some | −0.21 | 2 | 11.28 | 7 | 16.64 | 7 | 54.3 | 7 | 1.43 | 3 | 22.25 | 6 | 6 |
| MLR-QM many | −0.25 | 5 | 11.23 | 5 | 16.59 | 5 | 53.56 | 5 | 1.64 | 5 | 22.1 | 4 | 3 |
| MLR-KDE | −0.45 | 11 | 11.15 | 2 | 16.47 | 2 | 49.27 | 1 | 1 | 2 | 20.8 | 1 | 1 |
| MLR-QDM | −0.59 | 12 | 11.15 | 1 | 16.56 | 4 | 52.89 | 3 | 1.9 | 6 | 21.98 | 3 | 4 |
| MLR-Polyfit | −0.67 | 13 | 11.15 | 3 | 16.54 | 3 | 51.53 | 2 | 0.5 | 1 | 21.28 | 2 | 2 |
| GHI | DNI | |||
|---|---|---|---|---|
| Clear-Sky | Cloudy-Sky | Clear-Sky | Cloudy-Sky | |
| Intercept | 0.6165 | 0.0201 | 0.8654 | 1.1743 |
| Var1 | 0.8100 | 1.2495 | 0.0430 | - |
| Var2 | −0.4718 | −0.4536 | −0.0021 | −0.0027 |
| Var3 | 0.0002 | 0.0016 | −0.5110 | −0.1718 |
| Var4 | −0.0060 | 0.0310 | - | −0.1975 |
| R-squared | 0.783 | 0.580 | 0.271 | 0.347 |
| F-statistics | 4192 | 1997 | 575.7 | 1025 |
| Case | Best Method | MBE (%) | MABE (%) | RMSE (%) | KSI (%) | OVER (%) | CPI (%) | ||||||
|---|---|---|---|---|---|---|---|---|---|---|---|---|---|
| Init. | SA | Init. | SA | Init. | SA | Init. | SA | Init. | SA | Init. | SA | ||
| GHI, all | MLR-KDE | −5.0 | −0.4 | 14.4 | 11.1 | 21.8 | 16.47 | 136.6 | 49.3 | 63.7 | 1 | 61.0 | 20.8 |
| GHI, clear | MLR-Polyfit | −4.0 | 1.0 | 7.0 | 4.3 | 12.6 | 5.73 | 98.7 | 33.05 | 23.84 | 2.25 | 36.9 | 11.7 |
| GHI, cloudy | MLR-QM some | −6.7 | −2.8 | 26.5 | 22.2 | 36.1 | 30.55 | 134.4 | 51.27 | 56.26 | 4.3 | 65.7 | 29.2 |
| DNI, all | Polyfit | 13.5 | −2.0 | 37.2 | 31.5 | 62.8 | 52.7 | 292.6 | 72.61 | 203.6 | 6.7 | 155.5 | 46.2 |
| DNI, clear | Polyfit | 6.7 | 1.3 | 23.7 | 23.6 | 36.0 | 35.1 | 194.6 | 68.9 | 125.6 | 7.47 | 98.04 | 36.6 |
| DNI, cloudy | Polyfit | 50.6 | −19.9 | 110.3 | 73.9 | 206.8 | 135.4 | 250.3 | 122.5 | 157.1 | 60.98 | 205.2 | 113.5 |
Publisher’s Note: MDPI stays neutral with regard to jurisdictional claims in published maps and institutional affiliations. |
© 2022 by the authors. Licensee MDPI, Basel, Switzerland. This article is an open access article distributed under the terms and conditions of the Creative Commons Attribution (CC BY) license (https://creativecommons.org/licenses/by/4.0/).
Share and Cite
Dhata, E.F.; Kim, C.K.; Kim, H.-G.; Kim, B.; Oh, M. Site-Adaptation for Correcting Satellite-Derived Solar Irradiance: Performance Comparison between Various Regressive and Distribution Mapping Techniques for Application in Daejeon, South Korea. Energies 2022, 15, 9010. https://doi.org/10.3390/en15239010
Dhata EF, Kim CK, Kim H-G, Kim B, Oh M. Site-Adaptation for Correcting Satellite-Derived Solar Irradiance: Performance Comparison between Various Regressive and Distribution Mapping Techniques for Application in Daejeon, South Korea. Energies. 2022; 15(23):9010. https://doi.org/10.3390/en15239010
Chicago/Turabian StyleDhata, Elvina Faustina, Chang Ki Kim, Hyun-Goo Kim, Boyoung Kim, and Myeongchan Oh. 2022. "Site-Adaptation for Correcting Satellite-Derived Solar Irradiance: Performance Comparison between Various Regressive and Distribution Mapping Techniques for Application in Daejeon, South Korea" Energies 15, no. 23: 9010. https://doi.org/10.3390/en15239010
APA StyleDhata, E. F., Kim, C. K., Kim, H.-G., Kim, B., & Oh, M. (2022). Site-Adaptation for Correcting Satellite-Derived Solar Irradiance: Performance Comparison between Various Regressive and Distribution Mapping Techniques for Application in Daejeon, South Korea. Energies, 15(23), 9010. https://doi.org/10.3390/en15239010

