Specificity of Burning of Porous Combustible Material Used as Cartridge Case
Abstract
1. Introduction
2. Materials and Method
- -
- All propellant grains are ignited simultaneously over the entire surface;
- -
- Propellant grains burn on the outer surface in parallel layers, which means that the burning process is superficial;
- -
- The burning rate is only a function of the gases’ pressure and initial temperature of the propellant grains.
3. Results and Discussion
4. Conclusions
- The applied method of analysis of CVT results enables us to determine the characteristics of the combustion process of combustible case materials. The standard methods of the analysis fail in this case.
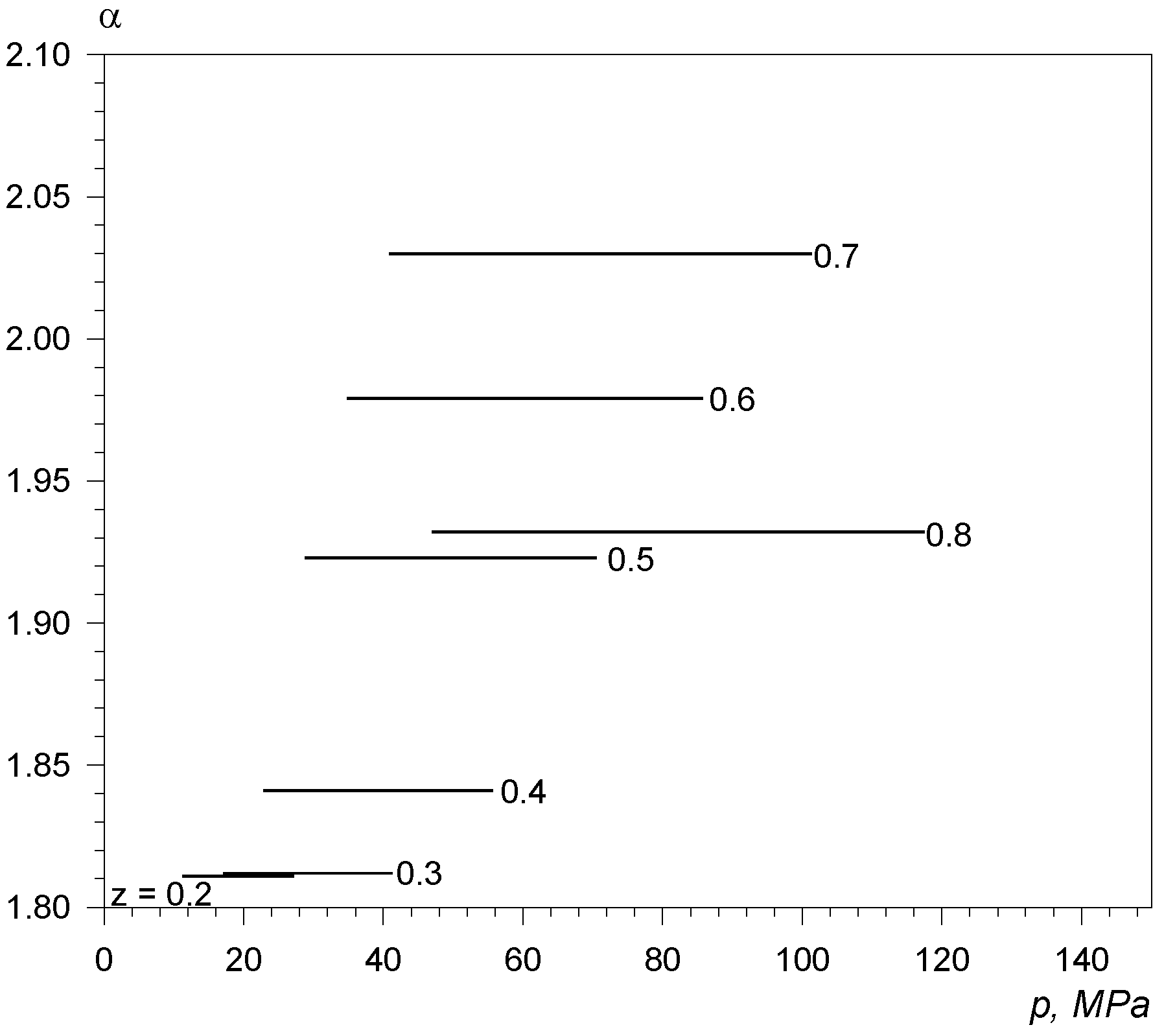
- The results obtained proved the strong dependence of the burning rate on pressure. The exponent value in the burning law is 1.9 and it is about twice as large as the exponent value for typical propellants.
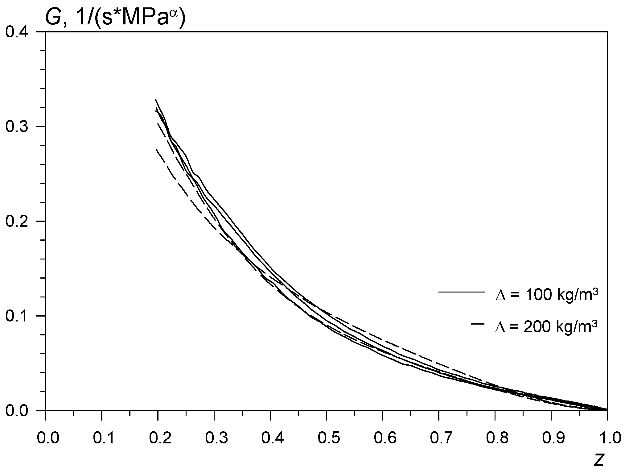
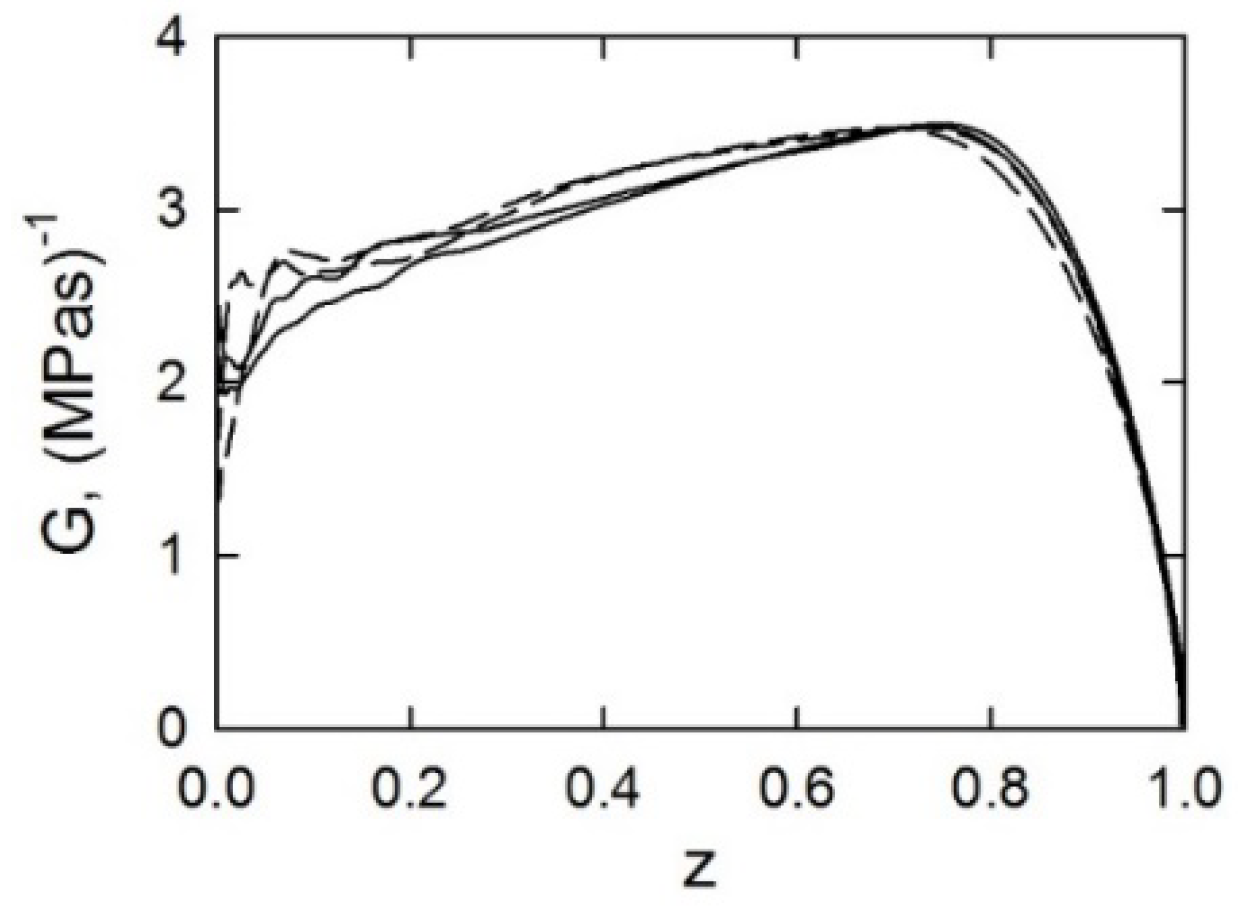
- Due to the porous structure of the combustible case material, the geometric model of burning and Equation (2) cannot be used to determine the burning rate r(p) according to the method described in STANAG 4115. The process of combustion of the material is close to volumetric.
- The burning rate of the tested combustible case material is high enough to cause complete burning out of the case during the shot.
Author Contributions
Funding
Conflicts of Interest
References
- Zimmerman, F. Development of 7.62-mm and 38-mm combustible cartridge case ammunition. J. Spacecr. Rocket. 1969, 6, 312–314. [Google Scholar] [CrossRef]
- Zimmerman, F. The Development of Small Caliber Combustible Cartridge Case Ammunition. In Proceedings of the ICRPG/AIAA 3rd Solid Propulsion Conference, Atlantic City, NJ, USA, 4–6 June 1968. [Google Scholar]
- Corner, J. Theory of the Interior Ballistics of Guns; John Wiley & Sons: New York, NY, USA, 1950. [Google Scholar]
- Serebrakov, M. Interior Ballistics; Wydawnictwo MON: Warszawa, Poland, 1955. (In Polish) [Google Scholar]
- Baer, P.G. Practical Interior Ballistic Analysis of Guns. In Progress in Astronautics and Aeronautics, Interior Ballistics of Guns; American Institute of Aeronautics and Astronautics: Washington, DC, USA, 1979; Volume 66, pp. 37–66. [Google Scholar]
- Carlucci, D.E.; Jacobson, S.S. Ballistics. Theory and Design of Guns and Ammunition; CRC Press: Boca Raton, FL, USA; London, UK; New York, NY, USA, 2008. [Google Scholar]
- STANAG 4367; Thermodynamic Interior Ballistic Model with Global Parameters. 2nd ed. Military Agency for Standardization: Brussels, Belgium, 2000.
- STANAG 4115; Definition and Determination of Ballistic Properties of Gun Propellants. 2nd ed. Military Agency for Standardization: Brussels, Belgium, 1997.
- Yang, W.; Ying, S. Microcellular Foaming of Cellulose Acetate Binder-Based Combustible Objects by Supercritical CO2. In Proceedings of the 29th International Symposium on Ballistics, Edinburgh, UK, 9–13 May 2016; Volume 1, pp. 535–545. [Google Scholar]
- Yang, W.; Yang, J.; Zhang, Y.; Ying, S. A comparative study of combustible cartridge case materials. Def. Technol. 2017, 13, 127–130. [Google Scholar]
- Ding, Y.; Ying, S.; Xiao, Z.; Wu, X. Cell structure of microcellular combustible object foamed by supercritical carbon dioxide. Def. Technol. 2019, 15, 419–425. [Google Scholar]
- Chen, X.; Xu, F.; Ying, S. Research on Burning Characteristics of Microfoam Propellants. In Proceedings of the 26th International Symposium on Ballistics, Miami, FL, USA, 12–16 September 2011; Volume 1, pp. 680–685. [Google Scholar]
- Li, Y.; Yang, W.; Ying, S. Research on Burning Behaviors of Foamed Gun Propellants. In Proceedings of the 28th International Symposium on Ballistics, Atlanta, GA, USA, 22–26 September 2014; Volume 1, pp. 331–340. [Google Scholar]
- Yang, W.; Li, Y.; Ying, S. Burning characteristics of microcellular combustible objects. Def. Technol. 2014, 10, 106–110. [Google Scholar] [CrossRef]
- Nie, K.; Di, J.; Zhao, N.; Li, R.; Li, Y.; Zhang, W. Theoretical Analysis on the Effect of Burning Rate of Combustible Cartridge on Interior Ballistic Performance. In Proceedings of the 30th International Symposium on Ballistics, Long Beach, CA, USA, 11–15 September 2017; Volume 1, pp. 697–704. [Google Scholar]
- Colburn, J.W.; Robbins, F.W. Combustible Cartridge Case Ballistic Characterization; BRL Memorandum Report BRL-MR 3835; Ballistic Research Laboratory: Harford County, Aberdeen Proving Ground, MD, USA, 1990. [Google Scholar]
- Yang, W.; Li, Y.; Ying, S. Burning Characteristics of Microcellular Combustible Objects Fabricated by a Confined Foaming Process. Propellants Explos. Pyrotech. 2015, 40, 27–32. [Google Scholar] [CrossRef]
- Yang, W.; Ying, S. Burning Characteristics of Microcellular Combustible Ordnance Materials. Propellants Explos. Pyrotech. 2016, 41, 136–141. [Google Scholar] [CrossRef]
- Yan, W.; Li, Q.; Zhang, Y.; Wang, Q. Experiment of Combustion Completeness and Mechanical Intensity of Combustible Seals in Gun Propellant Charge. In Proceedings of the 31st International Symposium on Ballistics, Hyderabad, India, 4–8 November 2019; Volume 1, pp. 574–578. [Google Scholar]
- Li, M.; Hu, R.; Xu, M.; Wang, Q.; Yang, W. Burning characteristics of high density foamed GAP/CL-20 propellants. Def. Technol. 2022, 18, 1914–1921. [Google Scholar] [CrossRef]
- Trebinski, R.; Leciejewski, Z.; Surma, Z.; Fikus, B. Some Considerations on the Methods of Analysis of Closed Vessel Test Data. In Proceedings of the 29th International Symposium on Ballistics, Edinburgh, UK, 9–13 May 2016; Volume 1, pp. 607–617. [Google Scholar]
- Trebinski, R.; Leciejewski, Z.; Surma, Z. Modifications of the Closed Vessel Test Results Analysis Method. In Proceedings of the 31st International Symposium on Ballistics, Hyderabad, India, 4–7 November 2019; Volume 1, pp. 11–21. [Google Scholar]
- Fikus, B.; Dorochowicz, A.; Surma, Z.; Kijewski, J.; Leciejewski, Z.; Michalski, J.; Trebinski, R. Investigations of Middle-Caliber Anti-Aircraft Cannon Interior Ballistics including Heat Transfer Problem in Estimation of Critical Burst Length. Processes 2022, 10, 607. [Google Scholar] [CrossRef]
- Wurster, S. Solid Propellant Burn Rate Measurement in a Micro Closed Bomb. In Proceedings of the 30th International Symposium on Ballistics, Long Beach, CA, USA, 11–15 September 2017; Volume 1, pp. 485–495. [Google Scholar]
- Trebinski, R.; Leciejewski, Z.; Surma, Z. Determining Burning Rate of Fine-Grained Propellants in Closed Vessel Tests. Energies 2022, 15, 2680. [Google Scholar] [CrossRef]














| Parameter | Value |
|---|---|
| Sample shape | slab |
| Width (mm) | 10 |
| Length (mm) | 20 |
| Web thickness (mm) | 3.3 |
| Parameter | Uncorrected Heat Losses | Corrected Heat Losses |
|---|---|---|
| f (MJ/kg) | 0.4914 | 0.5166 |
| η (dm3/kg) | 1.742 | 1.615 |
Publisher’s Note: MDPI stays neutral with regard to jurisdictional claims in published maps and institutional affiliations. |
© 2022 by the authors. Licensee MDPI, Basel, Switzerland. This article is an open access article distributed under the terms and conditions of the Creative Commons Attribution (CC BY) license (https://creativecommons.org/licenses/by/4.0/).
Share and Cite
Surma, Z.; Leciejewski, Z.; Trębiński, R. Specificity of Burning of Porous Combustible Material Used as Cartridge Case. Energies 2022, 15, 8469. https://doi.org/10.3390/en15228469
Surma Z, Leciejewski Z, Trębiński R. Specificity of Burning of Porous Combustible Material Used as Cartridge Case. Energies. 2022; 15(22):8469. https://doi.org/10.3390/en15228469
Chicago/Turabian StyleSurma, Zbigniew, Zbigniew Leciejewski, and Radosław Trębiński. 2022. "Specificity of Burning of Porous Combustible Material Used as Cartridge Case" Energies 15, no. 22: 8469. https://doi.org/10.3390/en15228469
APA StyleSurma, Z., Leciejewski, Z., & Trębiński, R. (2022). Specificity of Burning of Porous Combustible Material Used as Cartridge Case. Energies, 15(22), 8469. https://doi.org/10.3390/en15228469

