Research on the Application of Uncertainty Quantification (UQ) Method in High-Voltage (HV) Cable Fault Location
Abstract
1. Introduction
2. Theoretical Basis of the UQ methods
2.1. MCS Method
2.2. PCE Method
2.3. UDRM Method
3. HV Cable Fault Location Model
3.1. HV Cable Fault Location Model
3.2. Case Study of the Fault Location of HV Cable
4. Fault Location Simulation Analysis Based on UQ Method
4.1. The Simulation Based on the Three UQ Methods
- (1)
- MCS method. The MCS method is generally used as a benchmark for methods in the field of uncertainty quantification. When using the MCS method to calculate the uncertainty of the resistivity per unit length of the HV cable fault location problem, it mainly includes the following steps: (a) according to the given distribution type, N samples are randomly generated; (b) substitute the N samples into the HV cable fault location calculation model in turn, and repeat the calculation to obtain the corresponding N sample output values; (c) calculate the relevant statistical characteristics of the sheath current, such as mean, standard deviation, probability density distribution, etc.
- (2)
- PCE method. The focus of the PCE method is the construction of a polynomial model, and then quantitative analysis is performed on its model. The fault location model of high-voltage cables is expressed as a polynomial model shown in (1), and N sampling points are selected in the standard random space and transformed into the original random space. Next, select an appropriate method to obtain the PCE coefficient, and calculate the probability and statistical characteristics of the sheath current value. Considering that the truncation order of the PCE method may have an influence on the calculation results, the PCE methods of the second-order expansion (p = 2), the third-order expansion (p = 3), and the fourth-order expansion (p = 4) were used for simulation.
- (3)
- UDRM. When using the UDRM method, the parameters in the calculation example in Section 3.2 are used as reference values, and the fault location model of the HV cable is expressed as the type shown in (2). Then, the number of integration nodes m corresponding to the random input variables of each dimension is determined. Calculate the corresponding 1-dimensional Gaussian nodes and weights according to the random input variable type, and substitute the given uncertainty factor range into the single-variable element calculation of (6). Thus, the statistical moment of the output voltage of the model can be calculated.
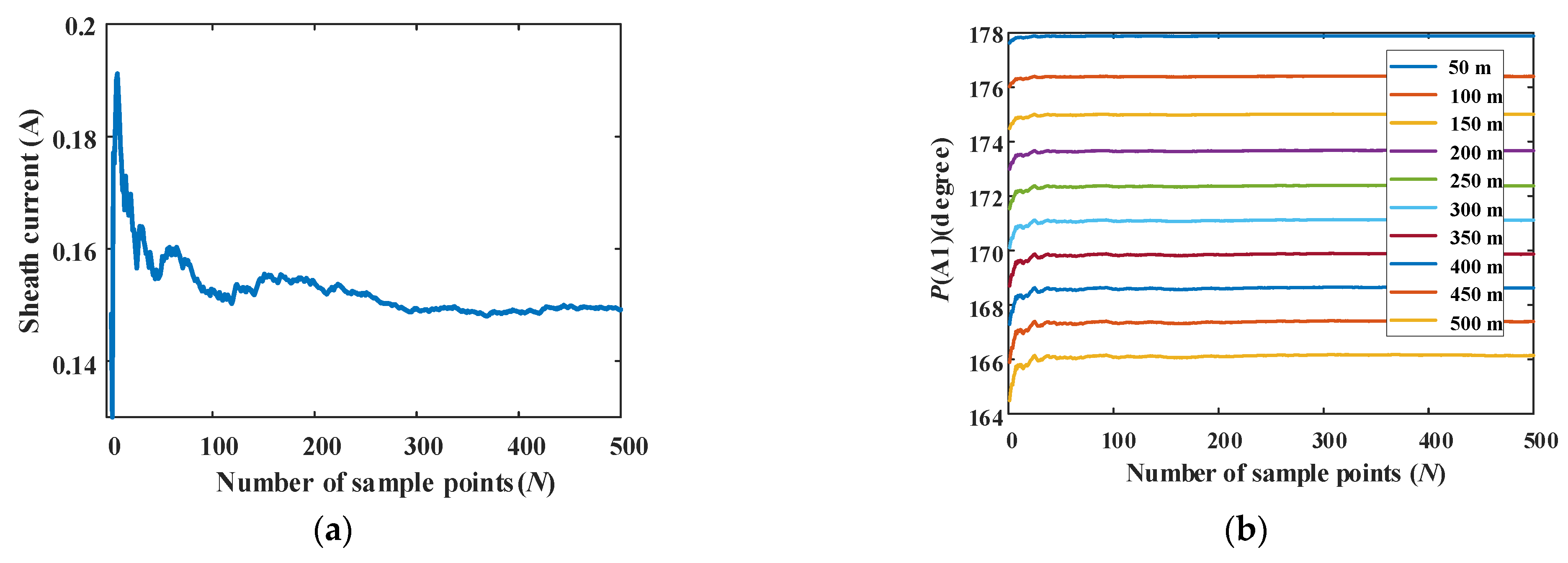
4.2. Quantitative Analysis of the Results
5. Discussion
6. Conclusions
- (1)
- The UQ methods are effective for the simulation analysis of the fault location, and UDRM has certain application prospects for HV fault location in practice.
- (2)
- The quantification results of MCS, PCE, and UDRM are very close, while the mean convergence rate is significantly higher for UDRM.
- (3)
- Compared with MCS, PCE, and UDRM, PCE and UDRM have higher accuracy, MCS and UDRM require less running time.
Author Contributions
Funding
Data Availability Statement
Conflicts of Interest
References
- Zhou, C.; Yi, H.; Dong, X. Review of recent research towards power cable life cycle management. High Volt. 2017, 2, 179–187. [Google Scholar] [CrossRef]
- Teng, C.; Zhou, Y.; Wu, C.; Zhang, L.; Zhang, Y.; Zhou, W. Optimization of the Temperature-Dependent Electrical Resistivity in Epoxy/Positive Temperature Coefficient Ceramic Nanocomposites. IEEE Trans. Dielectr. Electr. Insul. 2021, 28, 468–475. [Google Scholar] [CrossRef]
- Montanari, G.C.; Hebner, R.; Morshuis, P.; Seri, P. An approach to insulation condition monitoring and life assessment in emerging electrical environments. IEEE Trans. Power Deliv. 2019, 34, 1357–1364. [Google Scholar] [CrossRef]
- Suonan, J.; Qi, J. An accurate fault location algorithm for transmission lines based on R-L model parameter identification. Electr. Power Syst. Res. 2005, 76, 17–24. [Google Scholar] [CrossRef]
- Eissa, M. Ground distance relay compensation based on fault resistance calculation. IEEE Trans. Power Deliv. 2006, 29, 1830–1835. [Google Scholar] [CrossRef]
- Sheta, A.N.; Abdulsalam, G.M.; Eladl, A.A. Online tracking of fault location in distribution systems based on PMUs data and iterative support detection. Int. J. Electr. Power Energy Syst. 2021, 128, 106793. [Google Scholar] [CrossRef]
- Xie, L.; Luo, L.; Li, Y.; Zhang, Y.; Cao, Y. A Traveling Wave-Based Fault Location Method Employing VMD-TEO for Distribution Network. IEEE Trans. Dielectr. Electr. Insul. 2020, 35, 1987–1998. [Google Scholar] [CrossRef]
- Zhang, J.; Gong, Q.; Zhang, H.; Wang, Y.; Wang, Y. A Novel Pix2Pix Enabled Traveling Wave-Based Fault Location Method. Sensors 2021, 21, 1633. [Google Scholar] [CrossRef]
- Yu, K.; Zeng, J.; Zeng, X.; Liu, F.; Zu, Y.; Yu, Q.; Zhuo, C. A novel traveling wave fault location method for transmission network based on time linear dependence. Int. J. Electr. Power Energy Syst. 2021, 126, 106608. [Google Scholar] [CrossRef]
- Dashti, R.; Salehizadeh, S.M.; Shaker, H.R.; Tahavori, M. Fault Location in Double Circuit Medium Power Distribution Networks Using an Impedance-Based Method. Appl. Sci. 2018, 8, 1034. [Google Scholar] [CrossRef]
- Bahmanyar, A.; Jamali, S. Fault location in active distribution networks using non-synchronized measurements. Int. J. Electr. Power Energy Syst. 2017, 93, 451–458. [Google Scholar] [CrossRef]
- Dashti, R.; Ghasemi, M.; Daisy, M. Fault location in power distribution network with presence of distributed generation resources using impedance based method and applying π line model. Energy 2018, 159, 344–360. [Google Scholar] [CrossRef]
- Lopes, F.V.; Dantas, K.M.; Silva, K.M.; Costa, F.B. Accurate Two-Terminal Transmission Line Fault Location Using Traveling Waves. IEEE Trans. Power Deliv. 2018, 33, 873–880. [Google Scholar] [CrossRef]
- Borghetti, A.; Bosetti, M.; Nucci, C.A.; Paolone, M. Integrated Use of Time-Frequency Wavelet Decompositions for Fault Location in Distribution Networks: Theory and Experimental Validation. IEEE Trans. Power Deliv. 2010, 25, 3139–3146. [Google Scholar] [CrossRef]
- Alexandre, P.; Alves, S.; Antonio, C.S.L.; Suzana, M.S. Fault location on transmission lines using complex-domain neural networks. Electr. Power Energy Syst. 2012, 43, 720–727. [Google Scholar]
- Preece, R.; Milanovic, J.V. Assessing the Applicability of Uncertainty Importance Measures for Power System Studies. IEEE Trans. Power Syst. 2016, 31, 2076–2084. [Google Scholar] [CrossRef]
- Feinberg, J.; Langtangen, H.P. Chaospy: An Open Source Tool for Designing Methods of Uncertainty Quantification. J. Comput. Sci. 2015, 11, 46–57. [Google Scholar] [CrossRef]
- Yasuda, M.; Sekimoto, K. Spatial Monte Carlo integration with annealed importance sampling. Phys. Rev. E 2021, 103, 052118. [Google Scholar] [CrossRef]
- Fox, J.; Kten, G. Polynomial Chaos as a Control Variate Method. SIAM J. Sci. Comput. 2021, 43, A2268–A2294. [Google Scholar] [CrossRef]
- Yuan, X.; Liu, S.; Valdebenito, M.A.; Faes, M.G.R.; Jerez, D.J.; Jensen, H.A.; Beer, M. Decoupled reliability-based optimization using Markov chain Monte Carlo in augmented space. Adv. Eng. Softw. 2021, 157–158, 103020. [Google Scholar] [CrossRef]
- Bhusal, R.; Subbarao, K. Generalized Polynomial Chaos Expansion Approach for Uncertainty Quantification in Small Satellite Orbital Debris Problems. J. Astronaut. Sci. 2020, 67, 225–253. [Google Scholar] [CrossRef]
- Tripathy, R.K.; Ilias, B. Deep UQ: Learning deep neural network surrogate models for high dimensional uncertainty quantification. J. Comput. Phys. 2018, 375, 565–588. [Google Scholar] [CrossRef]
- Li, M.; Zhou, C.; Zhou, W. A Revised Model for Calculating HV Cable Sheath Current under Short-circuit Fault Condition and Its Application for Fault Location—Part 1: The Revised Model. IEEE Trans. Power Deliv. 2019, 34, 1674–1683. [Google Scholar] [CrossRef]
- Vaughan, A.S.; Hosier, I.L.; Dodd, S.J.; Sutton, S.J. On the structure and chemistry of electrical trees in polyethylene. J. Phys. D-Appl. Phys. 2006, 39, 962–978. [Google Scholar] [CrossRef]












| Serial Number | Structure | Outer Radius/mm |
|---|---|---|
| 1 | Core conductor (copper) | 17.0 |
| 2 | Inner semi-conductive shield | 18.4 |
| 3 | Main insulation (cross-linked polyethylene, XLPE) | 34.4 |
| 4 | Outer semi-conductive shield | 35.4 |
| 5 | Water-blocking layer (semiconductor material) | 39.4 |
| 6 | Metal sheath (aluminum) | 43.9 |
| 7 | Jacket (Polyvinyl chloride, PVC) | 48.6 |
| Cvar | Model Stability |
|---|---|
| ≤0.2 | The fluctuation is very small and very stable |
| >0.2, ≤0.4 | Small fluctuations, basically stable |
| >0.4, ≤0.6 | Generally volatile, less stable |
| >0.6, ≤0.8 | High volatility, unstable |
| >0.8 | Highly variable and random |
| Methods | m | s | Cov | Cvar | Mape | t/s |
|---|---|---|---|---|---|---|
| MCS | 0.1492 | 0.0025 | 0.0026 | 0.3386 | 0.2975 | 0.133 |
| PCE_2 | 0.1393 | 0.0187 | 0.0004 | 0.1346 | 0.1023 | 0.554 |
| PCE_3 | 0.1384 | 0.0180 | 0.0003 | 0.1304 | 0.1000 | 0.572 |
| PCE_4 | 0.1373 | 0.0176 | 0.0003 | 0.1285 | 0.0990 | 0.651 |
| UDRM | 0.1498 | 0.0486 | 0.0024 | 0.3247 | 0.2891 | 0.438 |
| Methods | m | s | Cov | Cvar | Mape | t/s |
|---|---|---|---|---|---|---|
| MCS | 0.1363 | 5.39 × 10−6 | 2.91 × 10−11 | 3.96 × 10−5 | 3.46 × 10−5 | 0.183 |
| PCE_2 | 0.1363 | 2.37 × 10−6 | 5.65 × 10−12 | 1.74 × 10−5 | 0 | 0.547 |
| PCE_3 | 0.1363 | 2.30 × 10−6 | 5.31 × 10−12 | 1.69 × 10−5 | 0 | 0.629 |
| PCE_4 | 0.1363 | 2.32 × 10−6 | 5.37 × 10−12 | 1.70 × 10−5 | 0 | 0.685 |
| UDRM | 0.1362 | 2.08 × 10−7 | 4.33 × 10−14 | 1.53 × 10−6 | 0.0004 | 0.429 |
| Methods | m | s | Cov | Cvar | Mape | t/s |
|---|---|---|---|---|---|---|
| MCS | 0.1488 | 0.0478 | 0.0023 | 0.3212 | 0.2819 | 0.121 |
| PCE_2 | 0.1389 | 0.0178 | 3.16 × 10−4 | 0.1281 | 0.1009 | 0.541 |
| PCE_3 | 0.1395 | 0.0192 | 3.70 × 10−4 | 0.1379 | 0.1110 | 0.553 |
| PCE_4 | 0.1385 | 0.0178 | 3.18 × 10−4 | 0.1287 | 0.0991 | 0.688 |
| UDRM | 0.1306 | 0.0032 | 1.04 × 10−5 | 0.0248 | 0.0417 | 0.408 |
| Methods | m | s | Cov | Cvar | Mape | t/s |
|---|---|---|---|---|---|---|
| MCS | 177.95 | 0.1639 | 0.0269 | 9.21 × 10−4 | 7.79 × 10−4 | 12.78 |
| PCE_2 | 178.07 | 0.0674 | 0.0045 | 3.79 × 10−4 | 1.07 × 10−4 | 13.12 |
| PCE_3 | 178.08 | 0.0655 | 0.0043 | 3.68 × 10−4 | 1.22 × 10−4 | 13.14 |
| PCE_4 | 178.16 | 0.0646 | 0.0042 | 3.62 × 10−4 | 3.98 × 10−4 | 13.45 |
| UDRM | 178.12 | 0.0102 | 1.04 × 10−4 | 5.72 × 10−5 | 1.94 × 10−4 | 13.33 |
| Methods | m | s | Cov | Cvar | Mape | t/s |
|---|---|---|---|---|---|---|
| MCS | 177.96 | 0.3282 | 0.1077 | 0.0018 | 7.06 × 10−4 | 12.89 |
| PCE_2 | 178.07 | 0.1317 | 0.0174 | 7.40 × 10−4 | 1.13 × 10−4 | 13.27 |
| PCE_3 | 178.07 | 0.1301 | 0.0169 | 7.31 × 10−4 | 8.08 × 10−5 | 13.28 |
| PCE_4 | 178.06 | 0.1314 | 0.0173 | 7.38 × 10−4 | 1.70 × 10−4 | 13.42 |
| UDRM | 178.13 | 0.0253 | 6.40 × 10−4 | 1.42 × 10−4 | 2.51 × 10−4 | 13.32 |
| Methods | m | s | Cov | Cvar | Mape | t/s |
|---|---|---|---|---|---|---|
| MCS | 177.96 | 0.0139 | 1.94 × 10−4 | 7.84 × 10−5 | 7.10 × 10−4 | 12.93 |
| PCE_2 | 178.05 | 0.0055 | 3.06 × 10−4 | 3.11 × 10−5 | 2.34 × 10−4 | 13.53 |
| PCE_3 | 178.12 | 0.0060 | 3.58 × 10−5 | 3.36 × 10−5 | 1.95 × 10−4 | 13.49 |
| PCE_4 | 178.09 | 0.0056 | 3.11 × 10−5 | 3.13 × 10−5 | 1.90 × 10−5 | 13.43 |
| UDRM | 178.09 | 0.0011 | 1.22 × 10−6 | 6.19 × 10−6 | 3.30 × 10−5 | 13.37 |
Publisher’s Note: MDPI stays neutral with regard to jurisdictional claims in published maps and institutional affiliations. |
© 2022 by the authors. Licensee MDPI, Basel, Switzerland. This article is an open access article distributed under the terms and conditions of the Creative Commons Attribution (CC BY) license (https://creativecommons.org/licenses/by/4.0/).
Share and Cite
Yang, B.; Xia, Z.; Gao, X.; Tu, J.; Zhou, H.; Wu, J.; Li, M. Research on the Application of Uncertainty Quantification (UQ) Method in High-Voltage (HV) Cable Fault Location. Energies 2022, 15, 8447. https://doi.org/10.3390/en15228447
Yang B, Xia Z, Gao X, Tu J, Zhou H, Wu J, Li M. Research on the Application of Uncertainty Quantification (UQ) Method in High-Voltage (HV) Cable Fault Location. Energies. 2022; 15(22):8447. https://doi.org/10.3390/en15228447
Chicago/Turabian StyleYang, Bin, Zhanran Xia, Xinyun Gao, Jing Tu, Hao Zhou, Jun Wu, and Mingzhen Li. 2022. "Research on the Application of Uncertainty Quantification (UQ) Method in High-Voltage (HV) Cable Fault Location" Energies 15, no. 22: 8447. https://doi.org/10.3390/en15228447
APA StyleYang, B., Xia, Z., Gao, X., Tu, J., Zhou, H., Wu, J., & Li, M. (2022). Research on the Application of Uncertainty Quantification (UQ) Method in High-Voltage (HV) Cable Fault Location. Energies, 15(22), 8447. https://doi.org/10.3390/en15228447
