Abnormal Time-Domain Current Spectrum of Inorganic Insulating Powder under DC Voltage
Abstract
1. Introduction
2. Materials and Methods
2.1. Sample Preparation
2.2. Measurement System for the Current TDS
2.3. Measurement Procedure for TDS
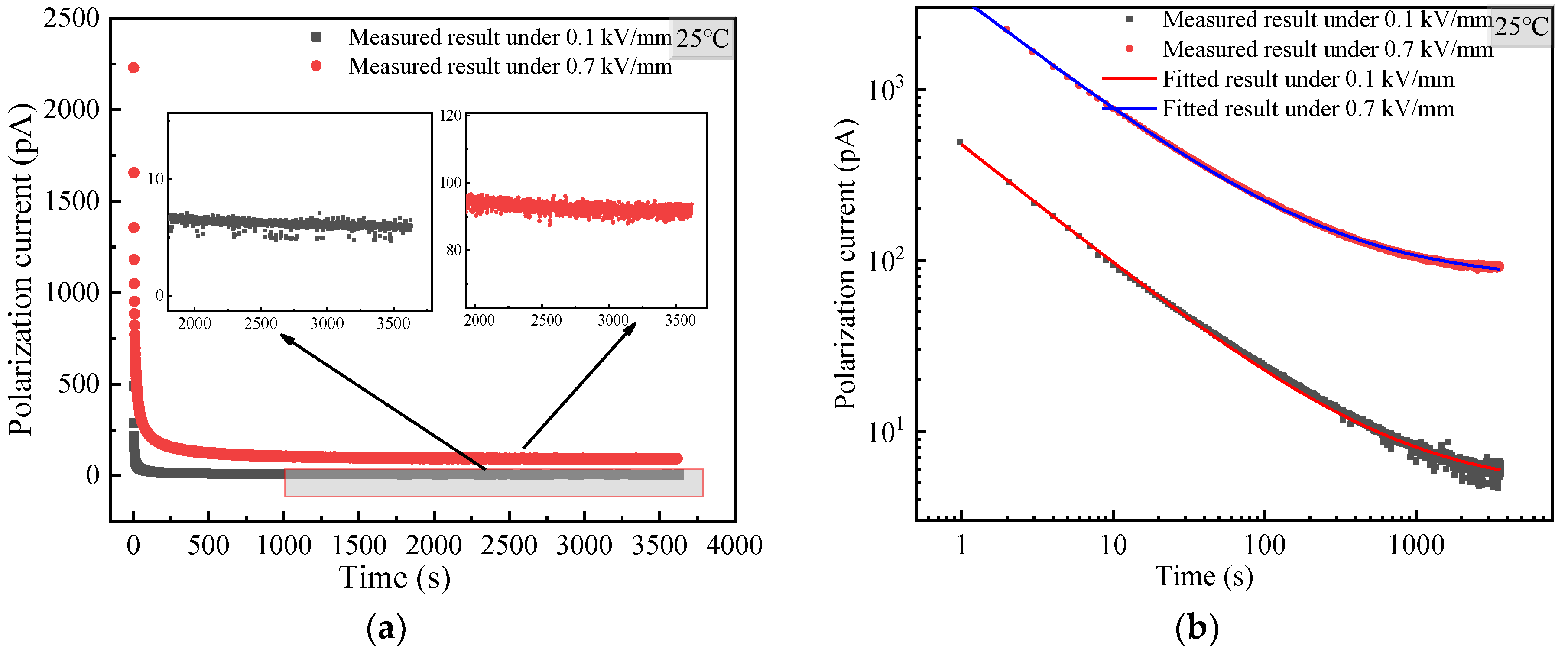
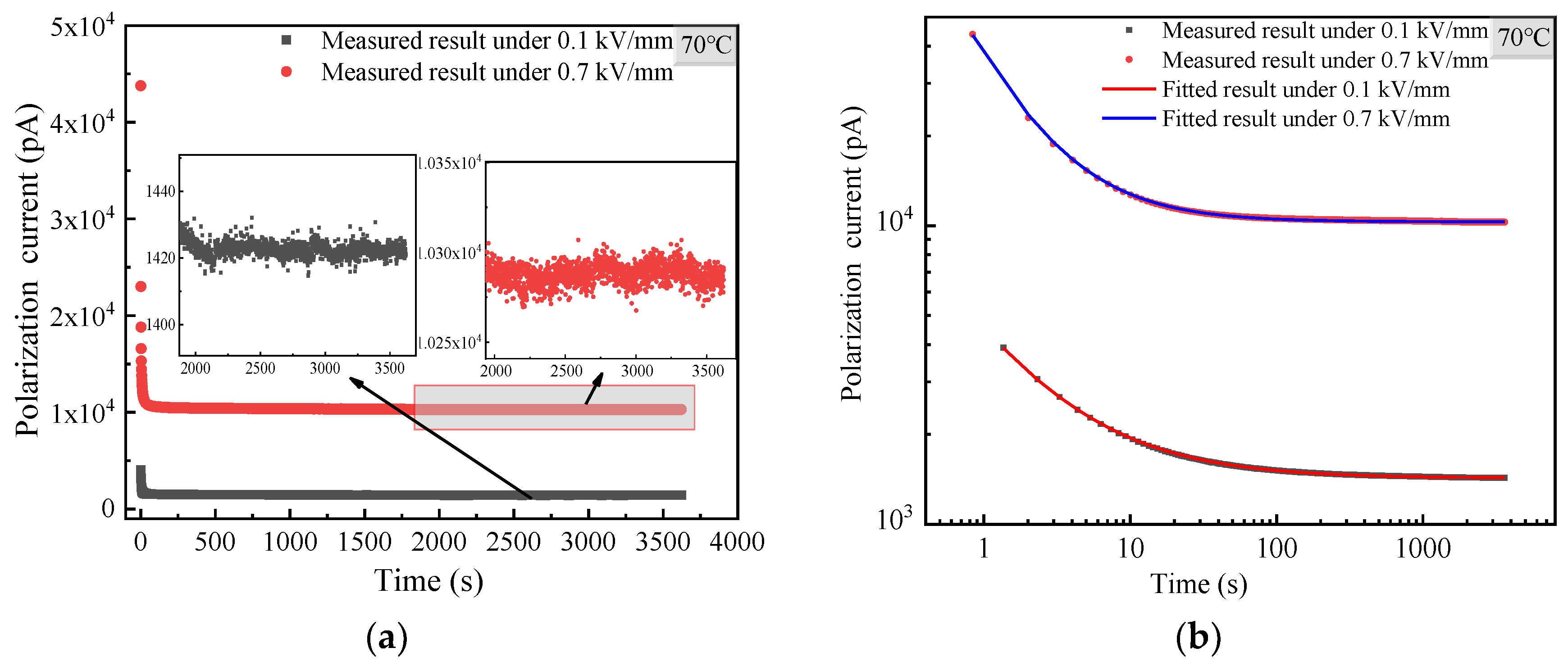
3. Results and Discussion
3.1. Normal Current TDS
3.2. Abnormal Current TDS
3.3. Analysis of Abnormal Current TDS
4. Conclusions
Author Contributions
Funding
Data Availability Statement
Conflicts of Interest
References
- Chen, Y.H.; Wang, Y.S.; Zhao, D.E.; Wang, H.; He, X.M.; Zheng, Q.J.; Lin, D.M. Enhanced energy storage properties and dielectric stabilities in BNT-based ceramics via multiphase and dielectric peak broadening engineering. Mater. Chem. Phys. 2022, 290, 126542. [Google Scholar] [CrossRef]
- Zhou, H.F.; Tan, X.H.; Liu, X.B.; Wang, K.G.; Li, S.X.; Chen, X.L. Low permittivity MgO-xB(2)O(3)-yBaCu(B2O5) microwave dielectric ceramics for low temperature co-fired. Ceram. Technol. 2018, 29, 18486–18492. [Google Scholar]
- Kulawik, J.; Szwagierczak, D.; Groger, B. Investigations of properties of ceramic materials with perovskite structure in chosen electronic applications. Bull. Pol. Acad. Sci.-Tech. 2007, 55, 293–297. [Google Scholar]
- Zhou, Y.; Hu, J.; Chen, X.; Yu, F.; He, J.L. Thermoplastic polypropylene/aluminum nitride nanocomposites with enhanced thermal conductivity and low dielectric loss. IEEE Trans. Dielectr. Electr. Insul. 2016, 23, 2768–2776. [Google Scholar] [CrossRef]
- Wang, Y.Y.; Wang, C.; Zhang, Z.X.; Xiao, K. Anti-thermal aging properties of low-density polyethylene-based nanocomposites. IEEE Trans. Dielectr. Electr. Insul. 2018, 25, 1003–1013. [Google Scholar] [CrossRef]
- Zhang, X.X.; Wen, H.; Chen, X.Y.; Wu, Y.J.; Xiao, S. Study on the thermal and dielectric properties of SrTiO3/epoxy nanocomposites. Energies 2017, 10, 692. [Google Scholar] [CrossRef]
- Vishal, M.; Kumar, A.P. Dynamic mechanical analysis of PVC/TiO2 nanocomposites. Adv. Compos. Hybrid Mater. 2018, 1, 741–747. [Google Scholar]
- Pilarska, A.A.; Klapiszewski, L.; Jesionowski, T. Recent development in the synthesis, modification and application of Mg(OH)(2) and MgO: A review. Powder Technol. 2017, 319, 373–407. [Google Scholar] [CrossRef]
- Harvey, A.; Walker, S.A. Mineral-insulated magnets for high-radiation environments. IEEE Trans. Nucl. Sci. 1969, 16, 611–612. [Google Scholar] [CrossRef]
- Suo, C.Y.; Li, Z.H.; Sun, Y.L.; Han, Y.S. Application of L1 trend filtering technology on the current time domain spectroscopy of dielectrics. Electronics 2019, 8, 1046. [Google Scholar] [CrossRef]
- Wang, S.H.; Li, J.Y.; Li, S.T. XLPE/h-BN nanocomposites with enhanced DC insulation properties. IEEE Trans. Dielectr. Electr. Insul. 2022, 29, 62–68. [Google Scholar] [CrossRef]
- Yu, C.P.; Zhang, J.; Tian, W.; Fan, X.D.; Yao, Y.G. Polymer composites based on hexagonal boron nitride and their application in thermally conductive composites. RSC Adv. 2018, 39, 21948–21967. [Google Scholar] [CrossRef] [PubMed]
- Pakdel, A.; Zhi, C.; Bando, Y.; Golberg, D. Low-dimensional boron nitride nanomaterials. Mater. Today 2012, 15, 256–265. [Google Scholar] [CrossRef]
- Duan, G.Y.; Wang, Y.; Yu, J.R.; Zhu, J.; Hu, Z.M. Novel poly(m-phenyleneisophthalamide) dielectric composites with enhanced thermal conductivity and breakdown strength utilizing functionalized boron nitride nanosheets. Macromol. Mater. Eng. 2019, 304, 1900310. [Google Scholar] [CrossRef]
- Jonscher, A.K. Dielectric Relaxation in Solids; Chelsea Dielectrics Press: London, UK, 1983. [Google Scholar]
- Sun, Y.L.; Li, Z.H.; Han, Y.S.; Zhang, X. Quantitative investigation of the nonlinear polarization in epoxy/SiC nanocomposite. IEEE Trans. Dielectr. Electr. Insul. 2021, 28, 66–73. [Google Scholar] [CrossRef]
- Hossein, G.; Thomas, C.; Martin, C.; Emmanuel, L.; Hossein, G.; Lorenz, H.; Henrik, H.; Linnea, P.; Julia, V. Long-term conductivity decrease of polyethylene and polypropylene insulation materials. IEEE Trans. Dielectr. Electr. Insul. 2017, 24, 1485–1493. [Google Scholar]
- Li, H.; Sego, D.C. Equation for complete compaction curve of fine-grained soils and its applications. In Proceedings of the Symposium on Constructing and Controlling Compaction of Earth Fills, Seattle, WA, USA, 1–2 July 1999. [Google Scholar]
- Zhang, Y.; Fang, F.; Wang, C.; Wang, L.D.; Wang, X.J.; Chu, X.Y.; Li, J.H.; Fang, X.; Wei, Z.P.; Wang, X.H. Hydrophobic modification of ZnO nanostructures surface using silane coupling agent. Polym. Compos. 2014, 35, 1204–1211. [Google Scholar] [CrossRef]
- Fei, X.N.; Xi, X.Z.; Gao, J.; Zhu, S.; Jiao, X.M.; Cao, L.Y.; Liu, L.J. Effects of silica fume powder modified by oleic acid on the settleability of bulking sludge. Environ. Technol. 2022, 11–16. [Google Scholar] [CrossRef]
- Pallon, L.K.H.; Hoang, A.T.; Pourrahimi, A.M.; Hedenqvist, M.S.; Nilsson, F.; Gubanski, S.; Gedde, U.W.; Otsson, R.T. The impact of MgO nanoparticle interface in ultra-insulating polyethylene nanocomposites for high voltage DC cables. J. Mater. Chem. A 2016, 4, 8590–8601. [Google Scholar] [CrossRef]
- Arase, H.; Taniguchi, K.; Kai, T.; Murakami, K.; Adachi, Y.; Ooyama, Y.; Kunugi, Y.; Ohshita, J. Hydrophobic modification of SiO2 surface by aminosilane derivatives. Compos. Interface 2018, 26, 15–25. [Google Scholar] [CrossRef]
- Uchikawa, F.; Shimamoto, K.; Hasegawa, T.; Yoshida, T. Conduction mechanisms and time dependence of sensing characteristics on SiO2 humidity-sensitive films. Hyomen Kagaku 1984, 5, 233–240. [Google Scholar] [CrossRef]










| Fitting Formular | Expectation | Standard Deviation | R2 |
|---|---|---|---|
| Curie-von-Schweidler relation | 2.92795 × 10−4 | 15.91527 | 0.81965 |
| l = 1 | 8.06838 × 10−5 | 2.77483 | 0.99186 |
| l = 2 | 4.95347 × 10−4 | 4.24491 | 0.98717 |
| l = 3 | 3.52372 × 10−6 | 2.65278 | 0.99256 |
Publisher’s Note: MDPI stays neutral with regard to jurisdictional claims in published maps and institutional affiliations. |
© 2022 by the authors. Licensee MDPI, Basel, Switzerland. This article is an open access article distributed under the terms and conditions of the Creative Commons Attribution (CC BY) license (https://creativecommons.org/licenses/by/4.0/).
Share and Cite
Xue, Y.; Guo, W.; Sun, Y.; Li, Z.; Han, Y. Abnormal Time-Domain Current Spectrum of Inorganic Insulating Powder under DC Voltage. Energies 2022, 15, 8227. https://doi.org/10.3390/en15218227
Xue Y, Guo W, Sun Y, Li Z, Han Y. Abnormal Time-Domain Current Spectrum of Inorganic Insulating Powder under DC Voltage. Energies. 2022; 15(21):8227. https://doi.org/10.3390/en15218227
Chicago/Turabian StyleXue, Yucui, Wenmin Guo, Yunlong Sun, Zhonghua Li, and Yongsen Han. 2022. "Abnormal Time-Domain Current Spectrum of Inorganic Insulating Powder under DC Voltage" Energies 15, no. 21: 8227. https://doi.org/10.3390/en15218227
APA StyleXue, Y., Guo, W., Sun, Y., Li, Z., & Han, Y. (2022). Abnormal Time-Domain Current Spectrum of Inorganic Insulating Powder under DC Voltage. Energies, 15(21), 8227. https://doi.org/10.3390/en15218227

