A Data Preprocessing Based on Cluster and Testing of Parameter Identification Method in Power Distribution Network
Abstract
1. Introduction
2. Materials and Methods
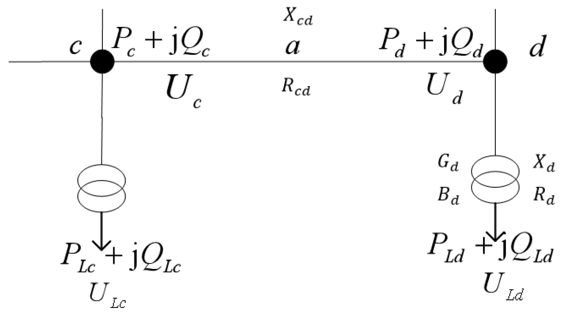
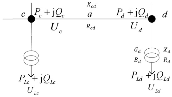
2.1. Node Equations
2.2. Dimension Processing
2.3. Cluster Processing
2.4. Hypothesis Testing
2.5. Identification Algorithms
3. Experiments
3.1. Clustering Processing Results
3.2. Experiment Results
4. Conclusions
Funding
Data Availability Statement
Conflicts of Interest
References
- Lave, M.; Reno, M.J.; Peppanen, J. Distribution System Parameter and Topology Estimation Applied to Resolve Low-Voltage Circuits on Three Real Distribution Feeders. IEEE Trans. Sustain. Energy 2019, 10, 1585–1592. [Google Scholar] [CrossRef]
- Lin, Y.; Abur, A. Strategic Use of Synchronized Phasor Measurements to Improve Network Parameter Error Detection. IEEE Trans. Smart Grid 2018, 9, 5281–5290. [Google Scholar] [CrossRef]
- Arnaldo, A.; Soriano–Rangel, C.A.; Mancilla–David, F.; Ortega, R.; Strunz, K. Finite–time identification of the Thévenin equivalent parameters in power grids. Int. J. Electr. Power Energy Syst. 2020, 116, 105534. [Google Scholar]
- Venkata Krishna, B.; Padma Srinivasu, N. A Direct Approach for Distribution System Load Flow Solutions. Int. J. Eng. Adv. Technol. 2019, 8, 63. [Google Scholar]
- Mahmud, M.; Kaiser, M.S.; Hussain, A.; Vassanelli, S. Applications of Deep Learning and Reinforcement Learning to Biological Data. IEEE Trans. Neural Netw. Learn. Syst. 2018, 29, 2063–2079. [Google Scholar] [CrossRef] [PubMed]
- Yuan, K.; Wei, Z. Power line parameter identification based on multi-innovation least square algorithm. Electr. Power Eng. Technol. 2020, 39, 55–160. (In Chinese) [Google Scholar]
- Wang, H.; Jiao, H.; Chen, J.; Liu, W. Parameter Identification for a Power Distribution Network Based on MCMC Algorithm. IEEE Access 2021, 9, 104154–104161. [Google Scholar] [CrossRef]
- Li, B.; Ma, J.Y.; Hu, K.; Xu, S.H.; Jiao, H.; Chen, J.M.; Liu, W. A Method for Parameter Identification of Distribution Network Equipment Based on Sequential Model-Based Optimization. Int. Trans. Electr. Energy Syst. 2022, 14, 9880284. [Google Scholar] [CrossRef]
- Liu, S.; Song, W.; Ying, M.; Sun, W.; Wang, R.; Niu, R. Seismic facies analysis for angle gathers based on DBSCAN waveform clustering. Geophys. Prospect. Pet. 2022, 58, 773–782. [Google Scholar]
- Ma, Z.; Zhang, S.; Li, J.; Cai, Y.C. A Single-phase Grounding Fault Section Location Method for Power Distribution Network Based on Parameter Identification. Guangdong Electr. Power 2019, 32, 65–71. [Google Scholar]
- Song, J.; Dall’Anese, E.; Simonetto, A.; Zhu, H. Dynamic Distribution State Estimation Using Synchrophasor Data. IEEE Trans. Smart Grid 2020, 11, 821–831. [Google Scholar] [CrossRef]
- Anderson, P.M. Analysis of Faulted Power Systems; Wiley-IEEE Press: Hoboken, NJ, USA, 1995. [Google Scholar]
- Zhang, S. Power system state estimation based on particle swarm optimization algorithm. Power Syst. Prot. Control 2010, 38, 86–89+95. (In Chinese) [Google Scholar]
- Carquex, C.; Rosenberg, C.; Bhattacharya, K. State Estimation in Power Distribution Systems Based on Ensemble Kalman Filtering. IEEE Trans. Power Syst. 2018, 33, 6600–6610. [Google Scholar] [CrossRef]
- do Nascimento Sepulchro, W.; Encarnacao, L.F.; Brunoro, M. Harmonic Distortion and Power Flow State Estimation for Distribution Systems Based on Evolutionary Strategies. IEEE Lat. Am. Trans. 2015, 13, 3066–3071. [Google Scholar] [CrossRef]
- Weakliem, D.L. A Critique of the Bayesian Information Criterion for Model Selection. Sociol. Methods Res. 1999, 27, 359–397. [Google Scholar] [CrossRef]







| Algorithm | Estimated Cluster Number | Silhouette Coefficient |
|---|---|---|
| DBSCAN | 10 | 0.146 |
| Our method | 9 | 0.477 |
| Algorithm | MAE | RMSE |
|---|---|---|
| MCMC | 65.6009 ± 0.3562 | 67.1831 ± 0.3202 |
| 62.4666 ± 0.3655 | 65.7231 ± 0.3122 | |
| SMBO | 64.1194 ± 0.3573 | 67.1831 ± 0.3202 |
| 61.8680 ± 0.3218 | 65.2317 ± 0.3010 |
Publisher’s Note: MDPI stays neutral with regard to jurisdictional claims in published maps and institutional affiliations. |
© 2022 by the authors. Licensee MDPI, Basel, Switzerland. This article is an open access article distributed under the terms and conditions of the Creative Commons Attribution (CC BY) license (https://creativecommons.org/licenses/by/4.0/).
Share and Cite
Li, B.; Chen, H.; Hu, K. A Data Preprocessing Based on Cluster and Testing of Parameter Identification Method in Power Distribution Network. Energies 2022, 15, 8007. https://doi.org/10.3390/en15218007
Li B, Chen H, Hu K. A Data Preprocessing Based on Cluster and Testing of Parameter Identification Method in Power Distribution Network. Energies. 2022; 15(21):8007. https://doi.org/10.3390/en15218007
Chicago/Turabian StyleLi, Bin, Haoran Chen, and Ke Hu. 2022. "A Data Preprocessing Based on Cluster and Testing of Parameter Identification Method in Power Distribution Network" Energies 15, no. 21: 8007. https://doi.org/10.3390/en15218007
APA StyleLi, B., Chen, H., & Hu, K. (2022). A Data Preprocessing Based on Cluster and Testing of Parameter Identification Method in Power Distribution Network. Energies, 15(21), 8007. https://doi.org/10.3390/en15218007

