Influence of Reservoir Properties on the Velocity of Water Movement from Injection to Production Well
Abstract
1. Introduction
2. Simulation of Water Movement in Reservoir
- -
- the pressure in the reservoir and the saturation of the reservoir with oil, water, and gas are determined by solving the material balance equation;
- -
- the effective pressure is calculated;
- -
- the fluid flow between cells is determined.
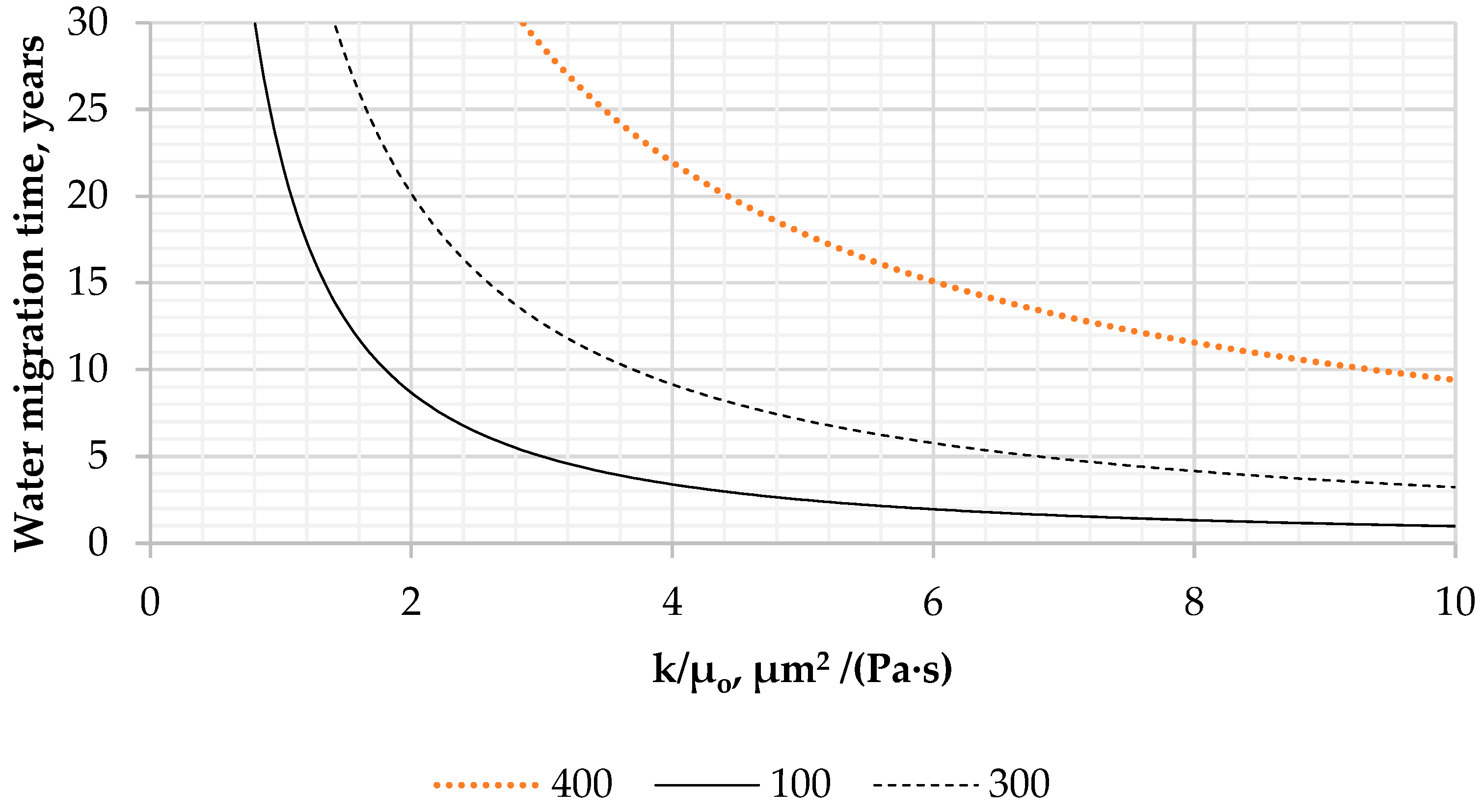
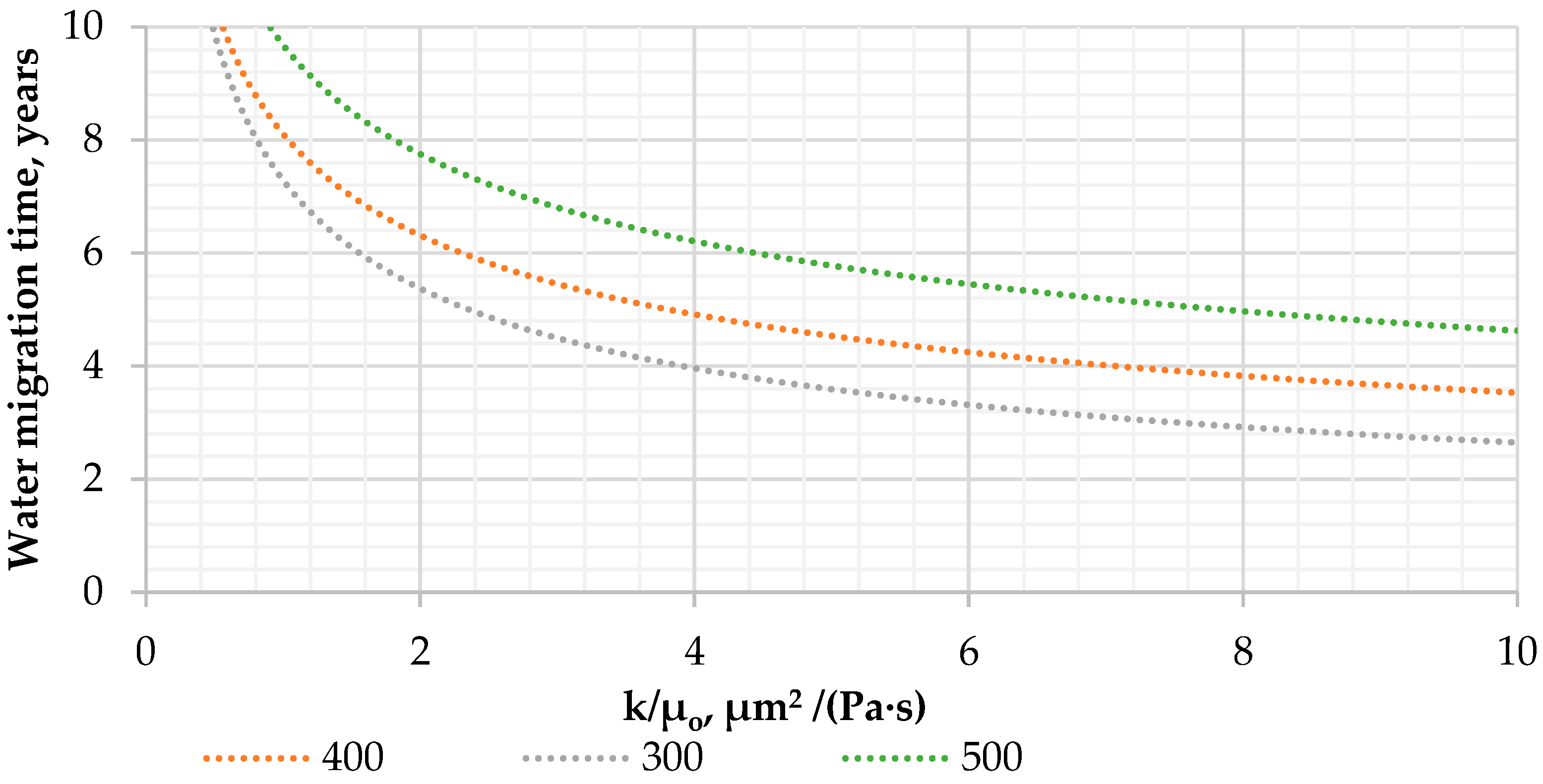
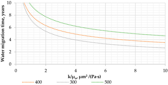
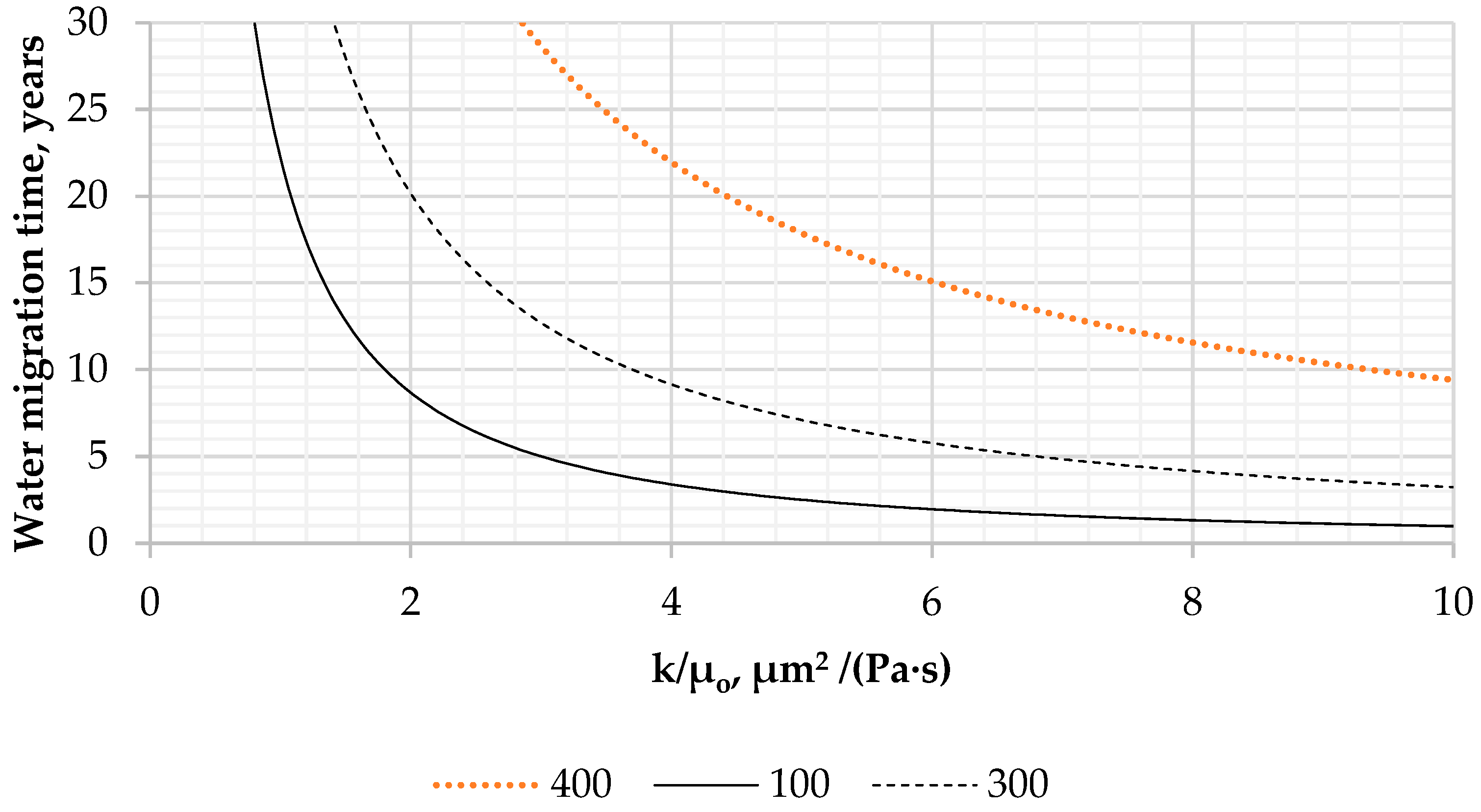
3. Water Cut in Fields
4. Conclusions
Author Contributions
Funding
Data Availability Statement
Conflicts of Interest
References
- Poplygin, V.V.; Poplygina, I.S. Evaluation of rational bottom-hole pressure for oil deposits with high gas saturation. Neft. Khozyaystvo Oil Ind. 2012, 10, 104–105. [Google Scholar]
- Mordvinov, V.A.; Poplygin, V.V.; Chalov, S.V. Change in the productivity of the obtaining bore holes with the development of the deposits of oil with the high gas saturation. Neft. Khozyaystvo Oil Ind. 2010, 8, 104–106. [Google Scholar]
- Chen, C.; Yang, M.; Han, X.; Zhang, J. Water flooding performance prediction in layered reservoir using big data and artificial intelligence algorithms. In Proceedings of the Society of Petroleum Engineers—Abu Dhabi International Petroleum Exhibition and Conference 2019, ADIP 2019, Abu Dhabi, UAE, 11–14 November 2019. [Google Scholar] [CrossRef]
- Glasbergen, G.; Yeager, V. Model, measure, and optimize fluid placement in formations with reservoir pressure heterogeneities. In Proceedings of the 2010 SPE International Symposium and Exhibition on Formation Damage Control 2010, Lafayette, LA, USA, 10–12 February 2010. [Google Scholar]
- Prasun, S.; Wojtanowicz, A.K. Semi-analytical prediction of critical oil rate in naturally fractured reservoirs with water coning. J. Pet. Sci. Eng. 2019, 180, 779–792. [Google Scholar] [CrossRef]
- Zheng, Q.; Liu, H.; Zhang, B.; Li, N.; Li, F. Identification of high permeability channels along horizontal wellbore in heterogeneous reservoir with bottom water. J. Pet. Explor. Prod. Technol. 2014, 4, 309–314. [Google Scholar] [CrossRef][Green Version]
- Zhou, Y.; Yang, W.; Yin, D. Experimental investigation on reservoir damage caused by clay minerals after water injection in low permeability sandstone reservoirs. J. Pet. Explor. Prod. Technol. 2022, 12, 915–924. [Google Scholar] [CrossRef]
- Khurpade, P.D.; Kshirsagar, L.K.; Nandi, S. Prediction of Reducing Permeability due to Scale Deposition during Water-flood-ing Operations of Crude. Reserv. Pet. Coal 2022, 64, 455–466. [Google Scholar]
- Ligeiro, T.S.; Vaz, A.; Chequer, L. Forecasting the impact of formation damage on relative permeability during low-salinity waterflooding. J. Pet. Sci. Eng. 2022, 208, 109500. [Google Scholar] [CrossRef]
- Ning, T.; Xi, M.; Hu, B.; Wang, L.; Huang, C.; Su, J. Effect of viscosity action and capillarity on pore-scale oil–water flowing behaviors in a low-permeability sandstone waterflood. Energies 2021, 14, 8200. [Google Scholar] [CrossRef]
- Malahov, A.O.; Saifullin, E.R.; Varfolomeev, M.A.; Nazarychev, S.A.; Mustafin, A.Z.; Yuan, C.; Novikov, I.P.; Zharkov, D.A.; Sagirov, R.N.; Kadyrov, R.I. Screening of Surfactants for Flooding at High-Mineralization Conditions: Two Production Zones of Carbonate Reservoir. Energies 2022, 15, 411. [Google Scholar] [CrossRef]
- Al-Khelaiwl, F.T.; Birchenko, V.M.; Konopczynski, M.R.; Davies, D.R. Advanced wells: A comprehensive approach to the selection between passive and active inflow-control completions. SPE Prod. Oper. 2010, 25, 305–326. [Google Scholar] [CrossRef]
- Nasir, Y.; Yu, W.; Sepehrnoori, K. Hybrid derivative-free technique and effective machine learning surrogate for nonlinear constrained well placement and production optimization. J. Pet. Sci. Eng. 2020, 186, 106726. [Google Scholar] [CrossRef]
- Annan, B.E.; Kwami, S.K.O.; Aidoo, B.A.; Brantson, E.T. Critical evaluation of infill well placement and optimization of well spacing using the particle swarm algorithm. J. Pet. Explor. Prod. Technol. 2019, 9, 3113–3133. [Google Scholar] [CrossRef]
- Wang, C.; Sun, Z.; Sun, Q.; Zhang, L.; Zhang, X. Comprehensive evaluation of waterflooding front in low-permeability reservoir. Energy Sci. Eng. 2021, 9, 1394–1408. [Google Scholar] [CrossRef]
- Zeinijahromi, A.; Al-Jassasi, H.; Begg, S.; Bedrikovetski, P. Improving sweep efficiency of edge-water drive reservoirs using induced formation damage. J. Pet. Sci. Eng. 2015, 130, 123–129. [Google Scholar] [CrossRef]
- Li, C.; Wang, S.; You, Q.; Yu, C. A new measurement of anisotropic relative permeability and its application in numerical simulation. Energies 2021, 14, 4731. [Google Scholar] [CrossRef]
- Poplygina, I.S.; Mordvinov, V.A. Using a gel-forming composition to reduce the water rehabilitation of oil wells with high-vision oil. Bull. Tomsk. Polytech. Univ. Geo Assets Eng. 2019, 330, 37–43. [Google Scholar]
- Poplygin, V.V.; Wiercigroch, M. Research of efficiency of complex non-stationary impact on layer with high-quality oil. Bull. Tomsk. Polytech. Univ. Geo Assets Eng. 2020, 331, 7–12. [Google Scholar]
- Xu, L.; Hou, G.; Dai, C.; Shi, Y.; Luo, P.; Wang, Y.; Liang, Y.; Ma, W. New insights into reservoir architecture of Fuyu oil layer in southern Songliao Basin based on analyses of water-flooding characteristics. Energy Explor. Exploit. 2016, 34, 61–76. [Google Scholar] [CrossRef]
- Li, S.; Liu, Y.; Xue, L.; Yang, L.; Yuan, Z.; Jian, C. An investigation on water flooding performance and pattern of porous carbonate reservoirs with bottom water. J. Pet. Sci. Eng. 2021, 200, 108353. [Google Scholar] [CrossRef]
- Zhao, Y.; Lu, G.; Zhang, L.; Yang, K.; Li, X.; Luo, J. Physical simulation of waterflooding development in large-scale fractured-vuggy reservoir considering filling characteristics. J. Pet. Sci. Eng. 2020, 191, 107328. [Google Scholar] [CrossRef]
- Li, Y. The theory and method for development of carbonate fractured-cavity reservoirs in Tahe oilfield. Shiyou Xuebao/Acta Pet. Sin. 2013, 34, 115–121. [Google Scholar] [CrossRef]
- Poplygln, V.V.; Galkin, S.V. Forecast quick evaluation of the indices of the development of the oil deposits. Neft. Khozyaystvo Oil Ind. 2011, 3, 112–115. [Google Scholar]
- Kozhevnikov, E.V.; Turbakov, M.S.; Riabokon, E.P.; Poplygin, V.V. Effect of effective pressure on the permeability of rocks based on well testing results. Energies 2021, 14, 2306. [Google Scholar] [CrossRef]
- Zhao, X.; Qian, Q.; Shi, C.; Wang, J.Y. Determination of dynamic drainage volume in water-flood operations based on fluid flow velocity field delineation. J. Energy Resour. Technol. Trans. ASME 2021, 143, 043003. [Google Scholar] [CrossRef]
- Eldaoushy, A.S.; Al-Ajmi, M.; Ashkanani, F. Utilization of interwell water tracer to study subsurface flow of the injected water and optimize waterflood in mauddud carbonate reservoir, raudhatain field, North Kuwait. In Proceedings of the 2015 SPE Kuwait Oil and Gas Show and Conference, Kuwait, Mishref, 11–14 October 2015. [Google Scholar]
- Mikhailov, N.N.; Melekhin, S.V. The coefficient of oil displacement by water at variable values of capillary number. Neft. Khozyaystvo Oil Ind. 2021, 4, 62–66. [Google Scholar] [CrossRef]
- Seright, R.; Brattekas, B. Water shutoff and conformance improvement: An introduction. Petroleum Science 2021, 18, 450–478. [Google Scholar] [CrossRef]
- Aljubran, M.J.; Horne, R. Prediction of multilateral inflow control valve flow performance using machine learning. SPE Prod. Oper. 2020, 35, 691–702. [Google Scholar] [CrossRef]
- Nwachukwu, A.; Jeong, H.; Pyrcz, M.; Lake, L.W. Fast evaluation of well placements in heterogeneous reservoir models using machine learning. J. Pet. Sci. Eng. 2018, 163, 463–475. [Google Scholar] [CrossRef]
- Tolmacheva, K.I.; Boronin, S.A.; Osiptsov, A.A. Formation damage and cleanup in the vicinity of flooding wells: Multi-fluid suspension flow model and calibration on lab data. J. Pet. Sci. Eng. 2019, 178, 408–418. [Google Scholar] [CrossRef]
- Liu, Z.; Forouzanfar, F.; Zhao, Y. Comparison of SQP and AL algorithms for deterministic constrained production optimization of hydrocarbon reservoirs. J. Pet. Sci. Eng. 2018, 171, 542–557. [Google Scholar] [CrossRef]
- Yang, Y.; Xiao, W.; Bernabe, Y.; Xie, Q.; Wang, J.; He, Y.; Li, M.; Chen, M.; Ren, J.; Zhao, J.; et al. Effect of pore structure and injection pressure on waterflooding in tight oil sandstone cores using NMR technique and pore network simulation. J. Pet. Sci. Eng. 2022, 217, 110886. [Google Scholar] [CrossRef]
- Juri, J.E.; Ruiz, A.M.; Pedersen, G.; Pagliero, P.; Blanco, H.; Eguia, V.; Vazquez, P.; Bernhardt, C.; Schein, F.; Villarroel, G.; et al. Grimbeek2: First Successful Application Polymer Flooding in Multilayer Reservoir at YPF. Interpretation of Polymer Flooding Response. In Proceedings of the SPE Latin America and Caribbean Petroleum Engineering Conference, Buenos Aires, Argentina, 17–19 May 2017. [Google Scholar] [CrossRef]
- Li, J.; Pei, Y.; Wang, Y.; Ma, K.; Jiang, H.; Wei, F. Field Pilot of Gel Barriers Placement for In-Depth Fluid Diversion of Horizontal Wells in Jidong Oilfield. In Proceedings of the IOR 2017-19th European Symposium on Improved Oil Recovery, Stavanger, Norway, 24–27 April 2017. [Google Scholar] [CrossRef]









| Parameter | Unit | Value |
|---|---|---|
| Pinj − Pbot | MPa | 8…11 |
| Water viscosity (μw) | mPa·s | 1…57 |
| Oil viscosity (μo) | mPa·s | 10…100 |
| Permeability (k) | 10−3 μm2 | 50…500 |
| Distance from production well | m | 50…500 |
| Temperature | Degree Celsius | 30 |
| Density of degassed oil | kg/m3 | 914 |
| Density of water | kg/m3 | 1168 |
| Compressibility factor | 1/Pa | 0.00002826 |
| Saturation Pressure | Oil Volume Factor | Oil Viscosity | Gas Content | Compressibility of Undersaturated Oil | Normalized Viscosity Gradient |
|---|---|---|---|---|---|
| 1.0 | 1.000 | 67.12 | 0.0000 | ||
| 20.0 | 1.011 | 47.24 | 0.0038 | ||
| 50.0 | 1.015 | 37.74 | 0.0065 | ||
| 86.0 | 1.018 | 30.20 | 0.0089 | 0.00006379 | 0.0050744 |
| Pressure | Gas Volume Ratio | Gas Viscosity |
|---|---|---|
| 13.0 | 84.5 | 0.9771 |
| 23.0 | 46.9 | 0.9587 |
| 33.0 | 32.1 | 0.9411 |
| 43.0 | 24.2 | 0.9245 |
| 53.0 | 19.3 | 0.9093 |
| 63.0 | 15.9 | 0.8955 |
| 73.0 | 13.7 | 0.8833 |
| 83.0 | 11.8 | 0.8729 |
| 93.0 | 10.5 | 0.8644 |
| 103.0 | 9.4 | 0.8580 |
| 113.0 | 8.5 | 0.8536 |
| 123.0 | 7.8 | 0.8512 |
| 133.0 | 7.2 | 0.8507 |
| 143.0 | 6.7 | 0.8521 |
| 153.0 | 6.2 | 0.8552 |
| 163.0 | 5.9 | 0.8598 |
| Water Saturation | Relative Phase Permeability of Water in Presence of Oil | Relative Phase Permeability of Oil in Presence of Water | Capillary Pressure between Oil and Water Phase |
|---|---|---|---|
| 0.16028 | 0.00000 | 1.00000 | 1.48492 |
| 0.21698 | 0.01000 | 0.78007 | 0.57087 |
| 0.32812 | 0.02000 | 0.42133 | 0.20669 |
| 0.35175 | 0.02500 | 0.34021 | 0.18703 |
| 0.41624 | 0.03000 | 0.16910 | 0.12825 |
| 0.51253 | 0.04000 | 0.03596 | 0.07994 |
| 0.59600 | 0.04636 | 0.00000 | 0.06129 |
| 0.69963 | 0.06000 | 0.00000 | 0.04408 |
| 0.73300 | 0.07000 | 0.00000 | 0.03950 |
| 0.80954 | 0.10000 | 0.00000 | 0.03070 |
| 0.95005 | 0.50000 | 0.00000 | 0.01848 |
| 1.00000 | 1.00000 | 0.00000 | 0.00984 |
| Index | Range of Values |
|---|---|
| Oil-saturated thickness, m | 4.2–7.5 |
| Porosity, % | 13–19 |
| Permeability, μm2 | 0.032–0.628 |
| Sand content, unit fraction | 0.24–0.60 |
| Dismemberment, unit units | 3.6–8.3 |
| Initial reservoir temperature, C | 28–33 |
| Oil viscosity in reservoir conditions, mPa·s | 48.8–87.1 |
| Density of oil in reservoir conditions, kg/m3 | 914–922 |
| № | Well Number | Permeability, μm2 | Distance from Injection to Production Well, m | Dynamic Viscosity of Reservoir Oil, mPa·s | Pinj − Pbot, MPa | Water Migration Time, Year |
|---|---|---|---|---|---|---|
| 1. | 44 | 0.025 | 250 | 87.08 | 13.1 | 18.3 |
| 2. | 747 | 0.0724 | 450 | 87.08 | 17.6 | 19 |
| 3. | 750 | 0.0252 | 450 | 87.08 | 7.6 | 22.9 |
| 4. | 766 | 0.1862 | 350 | 87.08 | 9.2 | 14.3 |
| 5. | 771 | 0.2323 | 350 | 87.08 | 11 | 15.5 |
| 6. | 772 | 0.2303 | 350 | 87.08 | 9 | 6 |
| 7. | 774 | 0.7586 | 350 | 87.08 | 10 | 2.6 |
| 8. | 788 | 0.1723 | 300 | 87.08 | 9.9 | 8.2 |
| 9. | 793 | 0.9671 | 200 | 87.08 | 11.8 | 2.6 |
| 10. | 926 | 0.088 | 350 | 87.08 | 13.4 | 13 |
| 11. | 942 | 0.1559 | 300 | 87.08 | 12.5 | 16.3 |
| 12. | 308 | 0.15 | 500 | 87.1 | 15.5 | 13 |
| 13. | 685 | 0.0165 | 500 | 87.1 | 11 | 25.2 |
| 14. | 687 | 0.0041 | 300 | 87.1 | 8.8 | 20.9 |
| 15. | 688 | 0.005 | 300 | 87.1 | 9 | 21 |
| 16. | 694 | 0.0014 | 450 | 87.1 | 8.2 | 34.9 |
| 17. | 706 | 0.004 | 300 | 87.1 | 11.1 | 30 |
| 18. | 701 | 0.375 | 250 | 87.08 | 13 | 2.5 |
| 19. | 711 | 0.825 | 300 | 87.08 | 15.7 | 1 |
| 20. | 712 | 0.022 | 250 | 87.08 | 15.9 | 18.6 |
| 21. | 714 | 0.1345 | 250 | 87.08 | 5.8 | 9.3 |
| 22. | 715 | 0.03 | 400 | 87.08 | 16.7 | 11.9 |
| 23. | 716 | 0.673 | 350 | 87.08 | 12.9 | 2.3 |
| 24. | 719 | 0.005 | 250 | 87.08 | 16.9 | 19.7 |
| 25. | 722 | 0.313 | 500 | 87.08 | 12 | 4.7 |
| 26. | 832 | 0.0329 | 250 | 48.8 | 15 | 14.5 |
| 27. | 833 | 0.007 | 300 | 48.8 | 16.5 | 16.6 |
| 28. | 887 | 0.0001 | 250 | 48.8 | 7 | 39.2 |
| 29. | 948 | 0.02 | 200 | 48.8 | 13.3 | 19.3 |
| 30. | 982 | 0.0124 | 300 | 48.8 | 8.6 | 21.7 |
| 31. | 985 | 0.2057 | 350 | 48.8 | 12 | 5.9 |
| 32. | 1009 | 0.0405 | 250 | 48.8 | 15.2 | 11.2 |
| 33. | 574 | 0.0876 | 350 | 48.8 | 11.5 | 10.7 |
| 34. | 853 | 0.31 | 350 | 48.8 | 11.8 | 5.4 |
| 35. | 857 | 0.23 | 350 | 48.8 | 15.4 | 5.4 |
| 36. | 861 | 0.193 | 400 | 48.8 | 11 | 4.5 |
| 37. | 863 | 0.311 | 350 | 48.8 | 12.8 | 2.9 |
| 38. | 867 | 0.059 | 300 | 48.8 | 14,1 | 14.2 |
| 39. | 869 | 0.41 | 350 | 48.8 | 14.2 | 2.4 |
| 40. | 877 | 0.21 | 350 | 48.8 | 9.3 | 3.6 |
| 41. | 949 | 0.1125 | 350 | 48.8 | 8.6 | 9.4 |
| 42. | 951 | 0.28 | 500 | 48.8 | 13.7 | 6.1 |
| 43. | 953 | 0.059 | 350 | 48.8 | 13.8 | 14.2 |
| 44. | 954 | 0.26 | 400 | 48.8 | 13.1 | 4.6 |
| 45. | 955 | 0.21 | 350 | 48.8 | 5.5 | 6.3 |
| 46. | 957 | 0.1803 | 350 | 48.8 | 14.3 | 7.7 |
| 47. | 974 | 0.2288 | 500 | 48.8 | 16.6 | 7.4 |
| 48. | 977 | 0.193 | 450 | 48.8 | 11.3 | 5 |
| 49. | 997 | 0.332 | 550 | 48.8 | 16 | 5.2 |
| 50. | 998 | 0.113 | 250 | 48.8 | 14 | 6.1 |
| 51. | 1056 | 0.28 | 300 | 48.8 | 17.3 | 3.9 |
| 52. | 1058 | 0.0153 | 250 | 48.8 | 17.6 | 14.2 |
| 53. | 1068 | 0.0202 | 250 | 48.8 | 16.6 | 14 |
| 54. | 1204 | 0.0466 | 250 | 48.8 | 13.7 | 11.1 |
| 55. | 1219 | 0.0441 | 250 | 48.8 | 15.2 | 14.2 |
| 56. | 1225 | 0.015 | 400 | 48.8 | 16.5 | 14.2 |
| 57. | 1226 | 0.546 | 400 | 48.8 | 16.6 | 2.1 |
| 58. | 1228 | 0.21 | 400 | 48.8 | 13 | 2.8 |
| 59. | 1228 | 0.7574 | 400 | 48.8 | 12.8 | 1.2 |
| 60. | 1234 | 0.18 | 500 | 48.8 | 13.1 | 4 |
| 61. | 1295 | 0.4067 | 350 | 48.8 | 12.2 | 4.8 |
| 62. | 1304 | 1.16 | 250 | 48.8 | 10.7 | 1.3 |
| 63. | 391 | 0.138 | 300 | 87.1 | 14.2 | 14.8 |
| 64. | 392 | 0.0108 | 500 | 87.1 | 8 | 12.3 |
| 65. | 401 | 0.45 | 400 | 87.1 | 11.3 | 2.5 |
| 66. | 411 | 0.0517 | 300 | 87.1 | 4.2 | 11.8 |
| 67. | 414 | 0.03 | 250 | 87.1 | 7.2 | 19.7 |
| 68. | 415 | 0.0033 | 350 | 87.1 | 3.5 | 20.5 |
| 69. | 417 | 0.0092 | 350 | 87.1 | 8 | 24 |
| 70. | 418 | 0.2038 | 450 | 87.1 | 12 | 3.8 |
| 71. | 422 | 0.0783 | 400 | 87.1 | 8.4 | 13.5 |
| 72. | 435 | 0.018 | 350 | 87.1 | 11.2 | 19.3 |
| 73. | 437 | 0.0689 | 300 | 87.1 | 14.4 | 16.9 |
| 74. | 440 | 0.001 | 450 | 87.1 | 10.3 | 22.5 |
| 75. | 444 | 0.0471 | 450 | 87.1 | 15.3 | 13.3 |
| 76. | 445 | 0.002 | 400 | 87.1 | 7.4 | 22.2 |
| 77. | 446 | 0.0134 | 300 | 87.1 | 11.2 | 23.6 |
| 78. | 452 | 0.498 | 250 | 87.1 | 18.4 | 3.7 |
| 79. | 453 | 0.0044 | 400 | 87.1 | 11.4 | 26.6 |
| 80. | 456 | 0.16 | 350 | 87.1 | 9.4 | 13.9 |
| 81. | 457 | 0.0057 | 400 | 87.1 | 6.6 | 21.4 |
| 82. | 472 | 0.2908 | 250 | 87.1 | 14.3 | 4.8 |
| 83. | 489 | 0.4481 | 300 | 87.1 | 14 | 2 |
| 84. | 493 | 0.001 | 750 | 87.1 | 8.4 | 29.5 |
| 85. | 1004 | 0.071 | 350 | 87.1 | 11 | 11.2 |
| 86. | 1013 | 0.0804 | 400 | 87.1 | 12.9 | 11.6 |
| 87. | 1014 | 0,02 | 750 | 87.1 | 10.8 | 10.7 |
| 88. | 1018 | 0.2296 | 350 | 87.1 | 8.2 | 7 |
| 89. | 1021 | 0.0071 | 300 | 87.1 | 17.3 | 15.1 |
| 90. | 1027 | 0.0107 | 300 | 87.1 | 17.6 | 12.8 |
| 91. | 1028 | 0.0003 | 350 | 87.1 | 8 | 21.9 |
Publisher’s Note: MDPI stays neutral with regard to jurisdictional claims in published maps and institutional affiliations. |
© 2022 by the authors. Licensee MDPI, Basel, Switzerland. This article is an open access article distributed under the terms and conditions of the Creative Commons Attribution (CC BY) license (https://creativecommons.org/licenses/by/4.0/).
Share and Cite
Poplygin, V.V.; Poplygina, I.S.; Mordvinov, V.A. Influence of Reservoir Properties on the Velocity of Water Movement from Injection to Production Well. Energies 2022, 15, 7797. https://doi.org/10.3390/en15207797
Poplygin VV, Poplygina IS, Mordvinov VA. Influence of Reservoir Properties on the Velocity of Water Movement from Injection to Production Well. Energies. 2022; 15(20):7797. https://doi.org/10.3390/en15207797
Chicago/Turabian StylePoplygin, Vladimir Valerievych, Irina Sergeevna Poplygina, and Viktor Antonovich Mordvinov. 2022. "Influence of Reservoir Properties on the Velocity of Water Movement from Injection to Production Well" Energies 15, no. 20: 7797. https://doi.org/10.3390/en15207797
APA StylePoplygin, V. V., Poplygina, I. S., & Mordvinov, V. A. (2022). Influence of Reservoir Properties on the Velocity of Water Movement from Injection to Production Well. Energies, 15(20), 7797. https://doi.org/10.3390/en15207797

