Evolutionary Game Analysis of Responding to the EU’s Carbon Border Adjustment Mechanism
Abstract
:1. Introduction
2. Literature Review
3. Problem Description
3.1. The Effect of the CBAM on China
3.2. Main Actors
4. Methodology
4.1. Parameter Assignment and Payoff Matrix
4.2. Replicator Dynamic Equations
5. Results
5.1. Analysis of Government’s Evolutionary Stable Strategies
- (1)
- If , ≡ 0. This shows that when the proportion of export enterprises implementing low-carbon production strategies is exactly , all the strategies adopted by the government will be in a stable state, and the dynamic evolution phase diagram is shown in Figure 1a. In other words, all points on the x-axis can be stable strategic points. The government expects the same payoff when it chooses “positive reaction” and “negative reaction”. The government’s final choice is made under the influence of various conditions.
- (2)
- If , according to the requirements of the evolutionary stability strategy [75], x that satisfies F(x) = 0 and F’(x) < 0 is the evolutionary stable state point of the government. The derivative of is:When , , we obtain . Therefore, x = 0 is an evolutionary stable state; that is, the government will consider a negative reaction. This shows that when the initial probability of export companies choosing low-carbon production is less than a certain value, and the government’s regulatory costs are greater than the loss for companies that do not conduct low-carbon production, the government tends to choose a negative reaction to the CBAM. The dynamic diagram is shown in Figure 1b.
- (3)
- When , , we obtain , . x = 1 is an evolutionary stable state; that is, the government will consider a reaction to the CBAM. This shows that although the government’s regulatory costs are greater than the loss imposed on export companies that do not engage in low-carbon production, when the initial probability of export enterprises that choose low-carbon production is greater than a certain value, the government still prefers to actively respond to the CBAM. The dynamic diagram is shown in Figure 1c.
- (4)
- When and , is satisfied for any y [0, 1]. At this time, F’(1) < 0, F’(0) > 0, so x = 1 is an evolutionary stable state; that is, the government will consider actively responding to the CBAM. This is mainly because the government has collected enough fines for export enterprises that still conduct traditional energy-intensive production and the returns from active reaction to the CBAM are also large enough. Regardless of the initial willingness of export enterprises, the government will eventually implement active reaction to the CBAM. The dynamic diagram is shown in Figure 1c.
- (5)
- When , 0, , because F’(1) > 0, F’(0) < 0, x = 0 is an evolutionarily stable status; that is, the government will consider negative reaction to the CBAM. This is because the government’s penalty on export companies that do not implement low-carbon production is small, and the government’s supervision of the export companies cannot bring great political benefits. When the initial probability of export companies choosing low-carbon production is less than , the final evolutionary result of the government is not to actively respond to the CBAM. The dynamic diagram is shown in Figure 1b.
- (6)
- When , , , because F’(1) < 0, F’(0) > 0, x = 1 is an evolutionary stable state; that is, the government will consider active reaction to the CBAM. The government’s penalty on export companies that retain traditional production modes is small, and the government’s reaction to the CBAM cannot bring great political performance benefits. When export companies choose low-carbon production with the initial probability being greater than , the final evolutionary result of the government is active reaction. The dynamic diagram is shown in Figure 1c.
5.2. Analysis of Export Companies’ Evolutionary Stable Strategies
- (7)
- If , we obtain ≡ 0. This shows that when the initial probability of the government choosing an active reaction is exactly , all strategies adopted by export companies will be in a stable state. All points on the y-axis can be stable strategy points; that is, export companies are facing the case that the expected payoff for “low-carbon production” and “high-carbon production” are the same, and the final choice will be made under various conditions. The dynamic diagram is shown in Figure 2a.
- (8)
- If , y satisfies F(y) = 0 and F’(y) < 0 is the evolutionary stable state point of the export enterprise. The derivative of F(y) is:When , because F’(1) > 0, F’(0) < 0, y = 0 is an evolutionary stable state; that is, export companies will choose to maintain high-carbon production. This shows that when the government’s choice of active reaction is less than , the behavior of export companies still implementing high-carbon production is unlikely to be regulated, which provides them with convenient conditions for seeking short-term benefits. The dynamic diagram is shown in Figure 2b.
- (9)
- When , because F’(1) < 0, F’(0) > 0, y = 1 is an evolutionary stable state; that is, export companies will consider adopting low-carbon production. This is because when the initial probability of the government choosing an active reaction to the CBAM is greater than , export companies are regulated easily, which will cause high losses to the enterprise. Therefore, export companies will be more inclined to implement low-carbon production. The dynamic diagram is shown in Figure 2c.
5.3. Systematic Stability Analyses
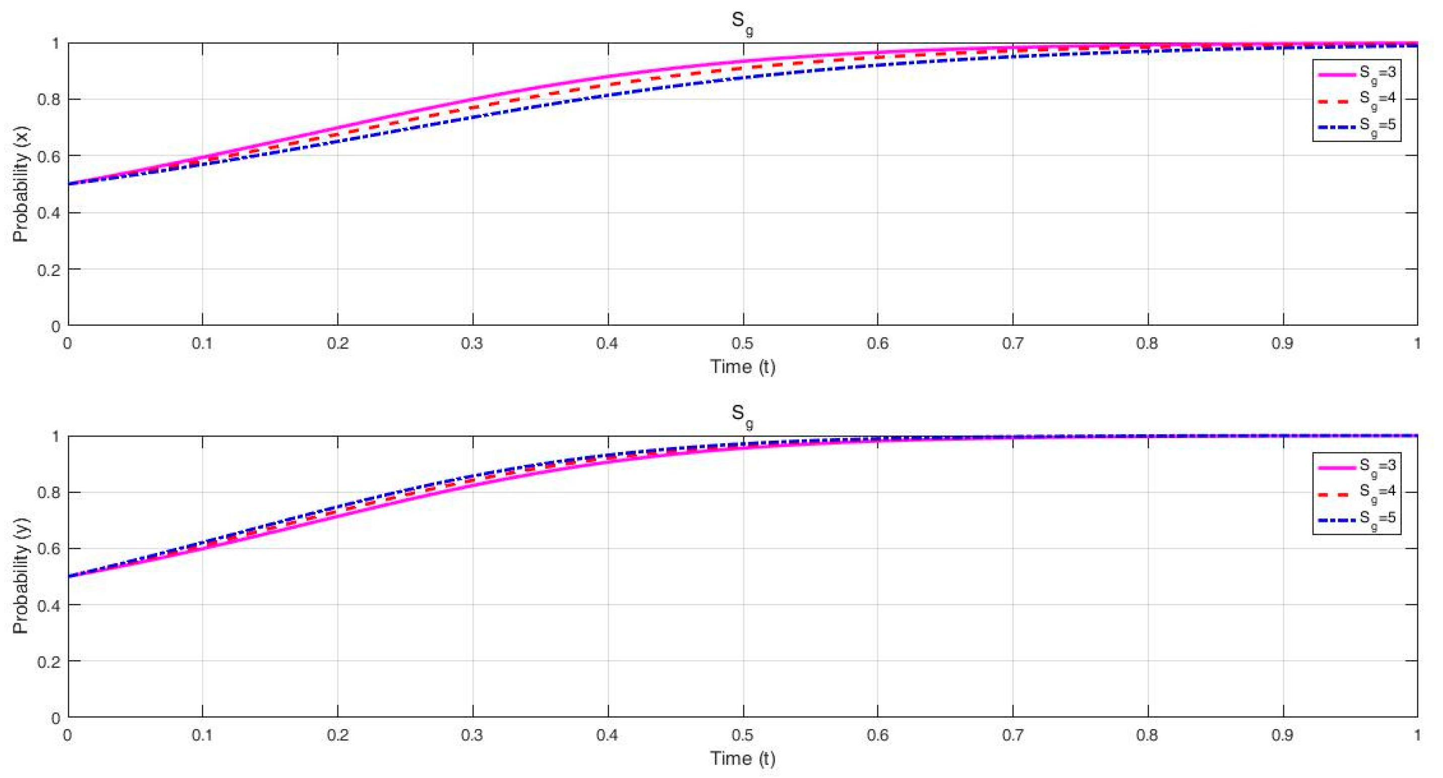
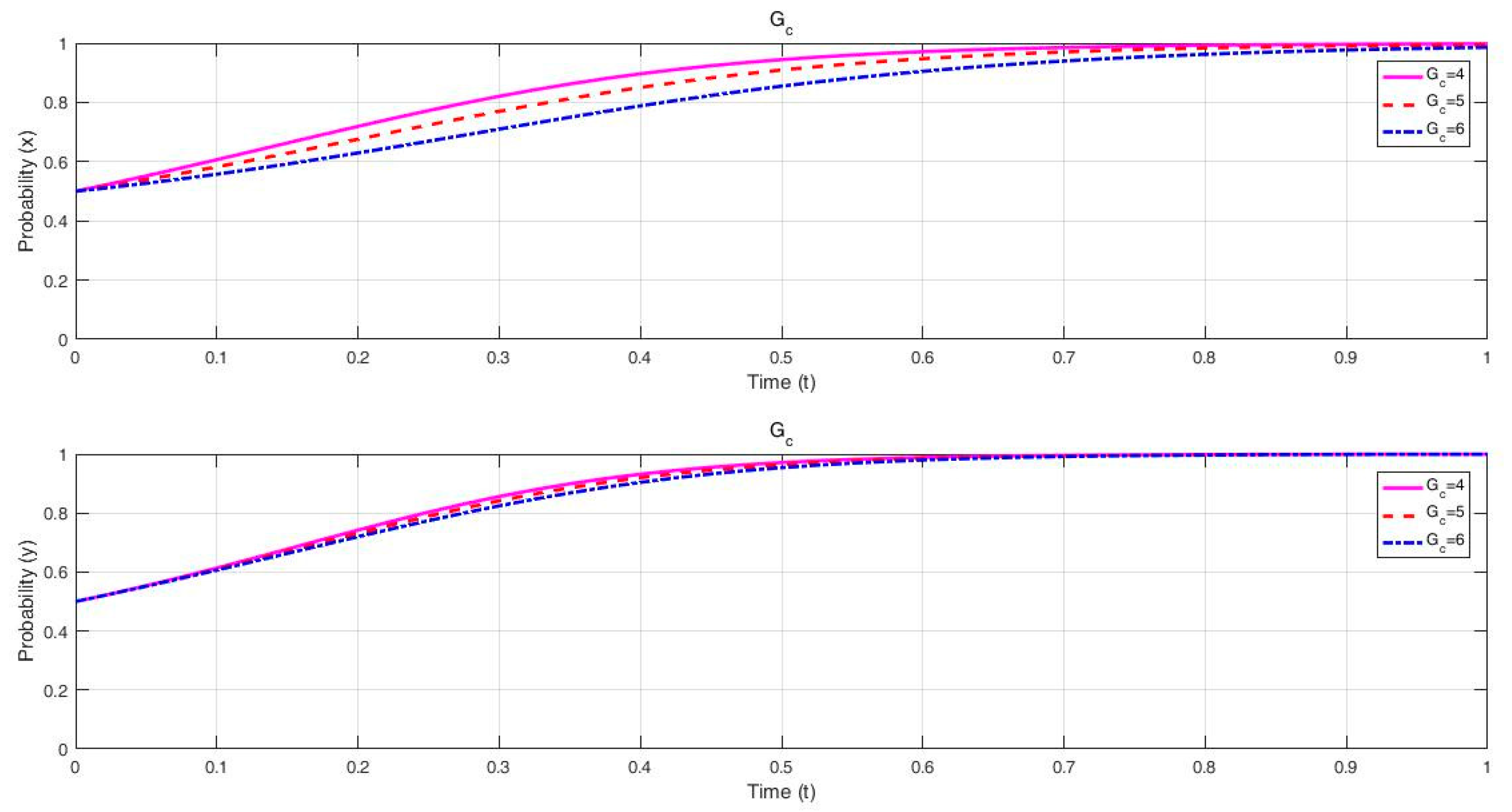
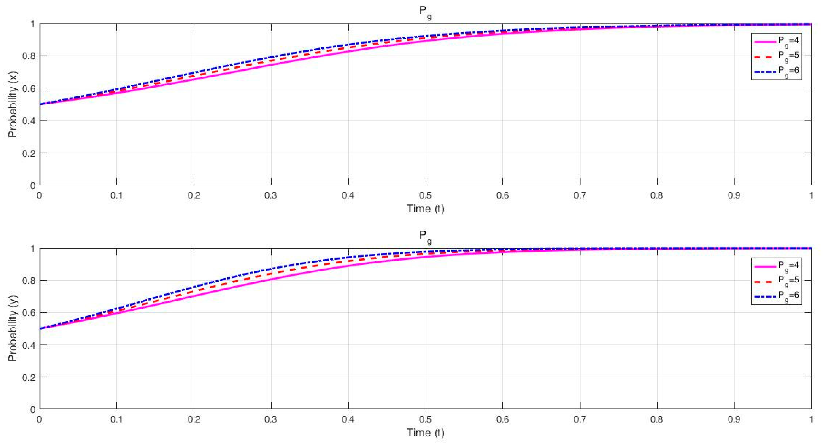
5.4. Numerical Simulation
6. Discussion
7. Conclusions
Author Contributions
Funding
Institutional Review Board Statement
Informed Consent Statement
Data Availability Statement
Acknowledgments
Conflicts of Interest
References
- Carbon Border Adjustment Mechanism. Available online: https://ec.europa.eu/taxation_customs/green-taxation-0/carbon-border-adjustment-mechanism_en (accessed on 25 December 2021).
- Cheng, H. Border carbon adjustments with endogenous assembly locations. Econ. Model. 2021, 105, 105666. [Google Scholar] [CrossRef]
- A WTO-Compatible EU Carbon Border Adjustment Mechanism. Available online: https://www.europarl.europa.eu/doceo/document/TA-9-2021-0071_EN.html (accessed on 25 December 2021).
- Fragkos, P.; Fragkiadakis, K.; Paroussos, L. Reducing the Decarbonisation Cost Burden for EU Energy-Intensive Industries. Energies 2021, 14, 236. [Google Scholar] [CrossRef]
- Hancock, L.; Wollersheim, L. EU Carbon Diplomacy: Assessing Hydrogen Security and Policy Impact in Australia and Germany. Energies 2021, 14, 8103. [Google Scholar] [CrossRef]
- Lim, B.; Hong, K.; Yoon, J.; Chang, J.-I.; Cheong, I. Pitfalls of the EU’s Carbon Border Adjustment Mechanism. Energies 2021, 14, 7303. [Google Scholar] [CrossRef]
- Joint Statement Issued at the Conclusion of the 30th BASIC Ministerial Meeting on Climate Change hosted by India on 8th April 2021|South African Government. Available online: https://www.gov.za/nr/speeches/joint-statement-issued-conclusion-30th-basic-ministerial-meeting-climate-change-hosted (accessed on 25 December 2021).
- A European Union Carbon Border Adjustment Mechanism: Implications for Developing Countries|UNCTAD. Available online: https://unctad.org/webflyer/european-union-carbon-border-adjustment-mechanism-implications-developing-countries (accessed on 30 November 2021).
- Tagliapietra, S.; Wolff, G.B. Conditions are ideal for a new climate club. Energy Policy 2021, 158, 112527. [Google Scholar] [CrossRef]
- Nogrady, B. China launches world’s largest carbon market: But is it ambitious enough? Nature 2021, 595, 637. [Google Scholar] [CrossRef]
- Koester, S.; Hart, D.M.; Sly, G. Unworkable Solution: Carbon Border Adjustment Mechanisms and Global Climate Innovation; Information Technology and Innovation Foundation: Washington, DC, USA, 2021. [Google Scholar]
- Hecht, M.; Peters, W. Border adjustments supplementing a cap and trade system to combat climate change. Clim. Chang. Econ. 2019, 10, 1950017. [Google Scholar] [CrossRef]
- Hecht, M.; Peters, W. Border Adjustments Supplementing Nationally Determined Carbon Pricing. Environ. Resour. Econ. 2019, 73, 93–109. [Google Scholar] [CrossRef]
- Liu, C.; Huang, W.L.; Yang, C. The evolutionary dynamics of China’s electric vehicle industry-Taxes vs.subsidies. Comput. Ind. Eng. 2017, 113, 103–122. [Google Scholar] [CrossRef]
- Chen, W.T.; Hu, Z.H. Using evolutionary game theory to study governments and manufacturers’ behavioral strategies under various carbon taxes and subsidies. J. Clean. Prod. 2018, 201, 123–141. [Google Scholar] [CrossRef]
- Fang, Y.; Chen, L.; Mei, S.; Wei, W.; Huang, S.; Liu, F. Coal or electricity? An evolutionary game approach to investigate fuel choices of urban heat supply systems. Energy 2019, 181, 107–122. [Google Scholar] [CrossRef]
- Wang, Q.; Tan, Z.; De, G.; Pu, L.; Wu, J. Research on promotion incentive policy and mechanism simulation model of energy storage technology. Energy Sci. Eng. 2019, 7, 3147–3159. [Google Scholar] [CrossRef]
- Gao, L.; Zhao, Z.-Y. The Evolutionary Game of Stakeholders’ Coordination Mechanism of New Energy Power Construction PPP Project: A China Case. Sustainability 2020, 12, 1045. [Google Scholar] [CrossRef] [Green Version]
- Zhang, K.; Liang, Q.-M. Recent progress of cooperation on climate mitigation: A bibliometric analysis. J. Clean. Prod. 2020, 277, 123495. [Google Scholar] [CrossRef]
- Zhang, Z. The US proposed carbon tariffs and China’s responses. Energy Policy 2010, 38, 2168–2170. [Google Scholar] [CrossRef]
- Lin, B.; Li, A. Impacts of carbon motivated border tax adjustments on competitiveness across regions in China. Energy 2011, 36, 5111–5118. [Google Scholar] [CrossRef]
- Li, A.; Zhang, A. Will carbon motivated border tax adjustments function as a threat? Energy Policy 2012, 47, 81–90. [Google Scholar] [CrossRef]
- Li, A.; Zhang, A.; Cai, H.; Li, X.; Peng, S. How large are the impacts of carbon-motivated border tax adjustments on China and how to mitigate them? Energy Policy 2013, 63, 927–934. [Google Scholar] [CrossRef]
- Cosbey, A.; Droege, S.; Fischer, C.; Munnings, C. Developing Guidance for Implementing Border Carbon Adjustments: Lessons, Cautions, and Research Needs from the Literature. Rev. Environ. Econ. Policy 2019, 13, 3–22. [Google Scholar] [CrossRef]
- Yu, B.; Zhao, Q.; Wei, Y.-M. Review of carbon leakage under regionally differentiated climate policies. Sci. Total Environ. 2021, 782, 146765. [Google Scholar] [CrossRef]
- Xu, Q.; Hobbs, B.F. Economic efficiency of alternative border carbon adjustment schemes: A case study of California Carbon Pricing and the Western North American power market. Energy Policy 2021, 156, 112463. [Google Scholar] [CrossRef]
- Caron, J. Estimating carbon leakage and the efficiency of border adjustments in general equilibrium—Does sectoral aggregation matter? Energy Econ. 2012, 34, S111–S126. [Google Scholar] [CrossRef]
- Bednar-Friedl, B.; Schinko, T.; Steininger, K.W. The relevance of process emissions for carbon leakage: A comparison of unilateral climate policy options with and without border carbon adjustment. Energy Econ. 2012, 34, S168–S180. [Google Scholar] [CrossRef]
- Böhringer, C.; Balistreri, E.J.; Rutherford, T.F. The role of border carbon adjustment in unilateral climate policy: Overview of an Energy Modeling Forum study (EMF 29). Energy Econ. 2012, 34, S97–S110. [Google Scholar] [CrossRef]
- Burniaux, J.-M.; Chateau, J.; Duval, R. Is there a case for carbon-based border tax adjustment? An applied general equilibrium analysis. Appl. Econ. 2013, 45, 2231–2240. [Google Scholar] [CrossRef]
- Rocchi, P.; Serrano, M.; Roca, J.; Arto, I. Border Carbon Adjustments Based on Avoided Emissions: Addressing the Challenge of Its Design. Ecol. Econ. 2018, 145, 126–136. [Google Scholar] [CrossRef]
- Droege, S. Using border measures to address carbon flows. Clim. Policy 2011, 11, 1191–1201. [Google Scholar] [CrossRef]
- Zhang, K.U.N.; Liang, Q.-M.; Liu, L.-J.; Xue, M.-M.; Yu, B.-Y.; Wang, C.E.; Han, R.; Du, Y.-F.; Yao, Y.-F.; Chang, J.-J.; et al. Impacts of mechanisms to promote participation in climate mitigation: Border carbon adjustments versus uniform tariff measures. Clim. Chang. Econ. 2020, 11, 2041007. [Google Scholar] [CrossRef]
- Dissou, Y.; Eyland, T. Carbon control policies, competitiveness, and border tax adjustments. Energy Econ. 2011, 33, 556–564. [Google Scholar] [CrossRef]
- Mörsdorf, G. A simple fix for carbon leakage? Assessing the environmental effectiveness of the EU carbon border adjustment. Energy Policy 2021, 112596. [Google Scholar] [CrossRef]
- Jakob, M. Why carbon leakage matters and what can be done against it. One Earth 2021, 4, 609–614. [Google Scholar] [CrossRef]
- Gerbeti, A. Market Mechanisms for Reducing Emissions and the Introduction of a Flexible Consumption Tax. Glob. J. Flex. Syst. Manag. 2021, 22, 161–178. [Google Scholar] [CrossRef]
- Thube, S.; Peterson, S.; Nachtigall, D.; Ellis, J. The economic and environment benefits from international co-ordination on carbon pricing: A review of economic modelling studies. Environ. Res. Lett. 2021, 16, 113002. [Google Scholar] [CrossRef]
- Fischer, C.; Fox, A.K. Comparing policies to combat emissions leakage: Border carbon adjustments versus rebates. J. Environ. Econ. Manag. 2012, 64, 199–216. [Google Scholar] [CrossRef]
- Acar, S.; Aşıcı, A.A.; Yeldan, A.E. Potential effects of the EU’s carbon border adjustment mechanism on the Turkish economy. Environ. Dev. Sustain. 2021. [Google Scholar] [CrossRef]
- Winchester, N.; Paltsev, S.; Reilly, J.M. Will Border Carbon Adjustments Work? B. E. J. Econom. Anal. Policy 2011, 11. [Google Scholar] [CrossRef]
- Bao, Q.; Tang, L.; Zhang, Z.; Wang, S. Impacts of border carbon adjustments on China’s sectoral emissions: Simulations with a dynamic computable general equilibrium model. China Econ. Rev. 2013, 24, 77–94. [Google Scholar] [CrossRef] [Green Version]
- Kuik, O.; Hofkes, M. Border adjustment for European emissions trading: Competitiveness and carbon leakage. Energy Policy 2010, 38, 1741–1748. [Google Scholar] [CrossRef]
- Holmes, P.; Reilly, T.; Rollo, J. Border carbon adjustments and the potential for protectionism. Clim. Policy 2011, 11, 883–900. [Google Scholar] [CrossRef]
- Sakai, M.; Barrett, J. Border carbon adjustments: Addressing emissions embodied in trade. Energy Policy 2016, 92, 102–110. [Google Scholar] [CrossRef] [Green Version]
- Schinko, T.; Bednar-Friedl, B.; Steininger, K.W.; Grossmann, W.D. Switching to carbon-free production processes: Implications for carbon leakage and border carbon adjustment. Energy Policy 2014, 67, 818–831. [Google Scholar] [CrossRef]
- Weitzel, M.; Hübler, M.; Peterson, S. Fair, optimal or detrimental? Environmental vs. strategic use of border carbon adjustment. Energy Econ. 2012, 34, S198–S207. [Google Scholar] [CrossRef] [Green Version]
- Banks, G.D.; Fitzgerald, T. A sectoral approach allows an artful merger of climate and trade policy. Clim. Change 2020, 162, 165–173. [Google Scholar] [CrossRef]
- Eicke, L.; Weko, S.; Apergi, M.; Marian, A. Pulling up the carbon ladder? Decarbonization, dependence, and third-country risks from the European carbon border adjustment mechanism. Energy Res. Soc. Sci. 2021, 80, 102240. [Google Scholar] [CrossRef]
- Sanctuary, M. Border carbon adjustments and unilateral incentives to regulate the climate. Rev. Int. Econ. 2018, 26, 826–851. [Google Scholar] [CrossRef]
- Branger, F.; Quirion, P. Would border carbon adjustments prevent carbon leakage and heavy industry competitiveness losses? Insights from a meta-analysis of recent economic studies. Ecol. Econ. 2014, 99, 29–39. [Google Scholar] [CrossRef] [Green Version]
- Allevi, E.; Oggioni, G.; Riccardi, R.; Rocco, M. Evaluating the carbon leakage effect on cement sector under different climate policies. J. Clean. Prod. 2017, 163, 320–337. [Google Scholar] [CrossRef]
- Mehling, M.A.; van Asselt, H.; Das, K.; Droege, S.; Verkuijl, C. Designing Border Carbon Adjustments for Enhanced Climate Action. Am. J. Int. Law 2019, 113, 433–481. [Google Scholar] [CrossRef] [Green Version]
- Monjon, S.; Quirion, P. A border adjustment for the EU ETS: Reconciling WTO rules and capacity to tackle carbon leakage. Clim. Policy 2011, 11, 1212–1225. [Google Scholar] [CrossRef]
- Helm, C.; Schmidt, R.C. Climate cooperation with technology investments and border carbon adjustment. Eur. Econ. Rev. 2015, 75, 112–130. [Google Scholar] [CrossRef] [Green Version]
- Anouliès, L. The Strategic and Effective Dimensions of the Border Tax Adjustment. J. Public Econ. Theory 2015, 17, 824–847. [Google Scholar] [CrossRef]
- Irfanoglu, Z.B.; Sesmero, J.P.; Golub, A. Potential of border tax adjustments to deter free riding in international climate agreements. Environ. Res. Lett. 2015, 10, 24009. [Google Scholar] [CrossRef]
- Eyland, T.; Zaccour, G. Carbon tariffs and cooperative outcomes. Energy Policy 2014, 65, 718–728. [Google Scholar] [CrossRef]
- Alboszta, J.; Mie¸kisz, J. Stability of evolutionarily stable strategies in discrete replicator dynamics with time delay. J. Theor. Biol. 2004, 231, 175–179. [Google Scholar] [CrossRef] [Green Version]
- Xiao, T.; Yu, G. Supply chain disruption management and evolutionarily stable strategies of retailers in the quantity-setting duopoly situation with homogeneous goods. Eur. J. Oper. Res. 2006, 173, 648–668. [Google Scholar] [CrossRef]
- Wu, B.; Liu, P.F.; Xu, X.F. An evolutionary analysis of low-carbon strategies based on the government-enterprise game in the complex network context. J. Clean. Prod. 2017, 141, 168–179. [Google Scholar] [CrossRef]
- Fan, R.G.; Dong, L.L.; Yang, W.G.; Sun, J.Q. Study on the optimal supervision strategy of government low-carbon subsidy and the corresponding efficiency and stability in the small-world network context. J. Clean. Prod. 2017, 168, 536–550. [Google Scholar] [CrossRef]
- Mahmoudi, R.; Rasti-Barzoki, M. Sustainable supply chains under government intervention with a real-world case study: An evolutionary game theoretic approach. Comput. Ind. Eng. 2018, 116, 130–143. [Google Scholar] [CrossRef]
- Long, R.; Yang, J.; Chen, H.; Li, Q.; Fang, W.; Wang, L. Co-evolutionary simulation study of multiple stakeholders in the take-out waste recycling industry chain. J. Environ. Manag. 2019, 231, 701–713. [Google Scholar] [CrossRef]
- Qiao, W.; Yin, X. Understanding the impact on energy transition of consumer behavior and enterprise decisions through evolutionary game analysis. Sustain. Prod. Consum. 2021, 28, 231–240. [Google Scholar] [CrossRef]
- ‘CBAM’ Carbon Levy Will Only Hit a Fraction of Chinese Exports to EU. Available online: https://chinadialogue.net/en/climate/cbam-carbon-levy-will-only-hit-a-fraction-of-chinese-exports-to-eu/ (accessed on 1 December 2021).
- Zhao, R.; Zhou, X.; Han, J.J.; Liu, C.L. For the sustainable performance of the carbon reduction labeling policies under an evolutionary game simulation. Technol. Forecast. Soc. Change 2016, 112, 262–274. [Google Scholar] [CrossRef]
- Tang, S.; Zhou, W.; Li, X.; Chen, Y.; Zhang, Q.; Zhang, X. Subsidy strategy for distributed photovoltaics: A combined view of cost change and economic development. Energy Econ. 2021, 97, 105087. [Google Scholar] [CrossRef]
- An, H.; Yang, R.; Ma, X.; Zhang, S.; Islam, S.M.N. An evolutionary game theory model for the inter-relationships between financial regulation and financial innovation. N. Am. J. Econ. Financ. 2021, 55, 101341. [Google Scholar] [CrossRef]
- Taylor, P.D.; Jonker, L.B. Evolutionary stable strategies and game dynamics. Math. Biosci. 1978, 40, 145–156. [Google Scholar] [CrossRef]
- Encarnação, S.; Santos, F.P.; Santos, F.C.; Blass, V.; Pacheco, J.M.; Portugali, J. Paths to the adoption of electric vehicles: An evolutionary game theoretical approach. Transp. Res. Part B Methodol. 2018, 113, 24–33. [Google Scholar] [CrossRef]
- Smith, J.M.; Price, G.R. The Logic of Animal Conflict. Nature 1973, 246, 15–18. [Google Scholar] [CrossRef]
- Shan, H.Y.; Yang, J.L. Sustainability of photovoltaic poverty alleviation in China: An evolutionary game between stakeholders. Energy 2019, 181, 264–280. [Google Scholar] [CrossRef]
- Friedman, D. Evolutionary Games in Economics. Econometrica 1991, 59, 637–666. [Google Scholar] [CrossRef] [Green Version]
- Zhang, H.M.; Xu, Z.D.; Zhou, D.Q.; Cao, J. Waste cooking oil-to-energy under incomplete information: Identifying policy options through an evolutionary game. Appl. Energy 2017, 185, 547–555. [Google Scholar] [CrossRef]
- Zhao, X.; Ren, L.; Zhang, Y.; Wan, G. Evolutionary game analysis on the behavior strategies of power producers in renewable portfolio standard. Energy 2018, 162, 505–516. [Google Scholar] [CrossRef]










| Symbols | Stakeholders | Descriptions |
|---|---|---|
| Government | Political benefits because of the active reaction to the CBAM. | |
| The expenditure of active reaction to the CBAM. | ||
| Financial incentives such as subsidies. | ||
| The penalty for export companies with high-carbon production. | ||
| Export rebates. | ||
| The loss of excessive carbon emissions. | ||
| x | The initial probability that the government chooses an active reaction to the CBAM. | |
| 1 − x | The initial probability that the government chooses a negative reaction to the CBAM. | |
| Export companies | Return if adopting the high-carbon production. | |
| Low-carbon profit. | ||
| Extra cost for low-carbon production. | ||
| y | The initial probability that the export companies choose low-carbon production. | |
| 1 − y | The initial probability that the export companies choose high-carbon production. |
| Export Companies | |||
|---|---|---|---|
| Low-Carbon Production | High-Carbon Production | ||
| Government | Active reaction | , | , |
| Passive reaction | |||
| Equilibrium Points | Determinants | Traces |
|---|---|---|
| b11 | b12 | |
| b21 | b22 | |
| b31 | b32 | |
| b41 | b42 | |
| b51 | b52 |
Publisher’s Note: MDPI stays neutral with regard to jurisdictional claims in published maps and institutional affiliations. |
© 2022 by the authors. Licensee MDPI, Basel, Switzerland. This article is an open access article distributed under the terms and conditions of the Creative Commons Attribution (CC BY) license (https://creativecommons.org/licenses/by/4.0/).
Share and Cite
Huang, T.; Liu, Z.; Zhao, T. Evolutionary Game Analysis of Responding to the EU’s Carbon Border Adjustment Mechanism. Energies 2022, 15, 427. https://doi.org/10.3390/en15020427
Huang T, Liu Z, Zhao T. Evolutionary Game Analysis of Responding to the EU’s Carbon Border Adjustment Mechanism. Energies. 2022; 15(2):427. https://doi.org/10.3390/en15020427
Chicago/Turabian StyleHuang, Tao, Zhixin Liu, and Tian Zhao. 2022. "Evolutionary Game Analysis of Responding to the EU’s Carbon Border Adjustment Mechanism" Energies 15, no. 2: 427. https://doi.org/10.3390/en15020427
APA StyleHuang, T., Liu, Z., & Zhao, T. (2022). Evolutionary Game Analysis of Responding to the EU’s Carbon Border Adjustment Mechanism. Energies, 15(2), 427. https://doi.org/10.3390/en15020427

