Three-Dimensional Modeling for the Internal Shorting Caused Thermal Runaway Process in 20Ah Lithium-Ion Battery
Abstract
:1. Introduction
2. Modeling Method
2.1. ECM Model
2.2. Internal Short Circuit Model
2.3. Thermal Runaway Model
- Solid electrolyte interface (SEI) decomposition reaction:
- Anode-electrolyte reaction:
- Cathode-electrolyte reaction:
- Electrolyte decomposition reaction:As the anode and electrolyte reactions proceed, the SEI layer is growing:The total heat (in W/m3) produced by the thermal runaway can be calculated:
2.4. Internal Short Circuit Thermal Runaway Model
2.5. Initial and Boundary Conditions
2.6. Model Validity
3. Results and Discussions
3.1. Effect of Internal Short Circuit Area
3.2. Effect of Internal Short Circuit Resistance
3.3. Effect of Internal Short Circuit Penetration Depth
3.4. Effect of Convective Heat Transfer Coefficient
3.5. Effect of Internal Short Circuit Position
4. Conclusions
- When the internal shorting area changes, the initial 50 s of the battery internal shorting area has little impact on the battery average temperature. After 50 s, the heat created inside the cell increases proportionately to the size of the short circuit area. For that reason, the lithium-ion battery average temperature is higher. Huang, Z [30] conducted 18,650 batteries acupuncture experiments on nails with the different diameters of 3 mm, 5 mm, and 8 mm, and found that the peak temperatures were 135.9 °C, 133.6 °C, and 131.8 °C, respectively, showing a negligible effect on the peak temperature of the battery.
- When the internal short circuit penetration depth changes, its average temperature rises as a function of the percentage of lithium battery penetration. Additionally, the average is roughly equal at 50% and 75% penetration, indicating that the influence of the penetration depth is weak.
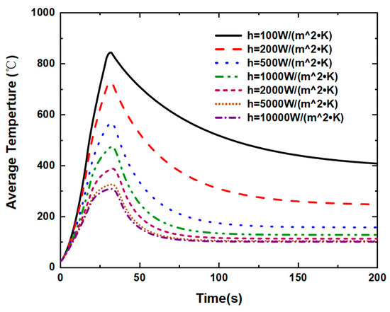
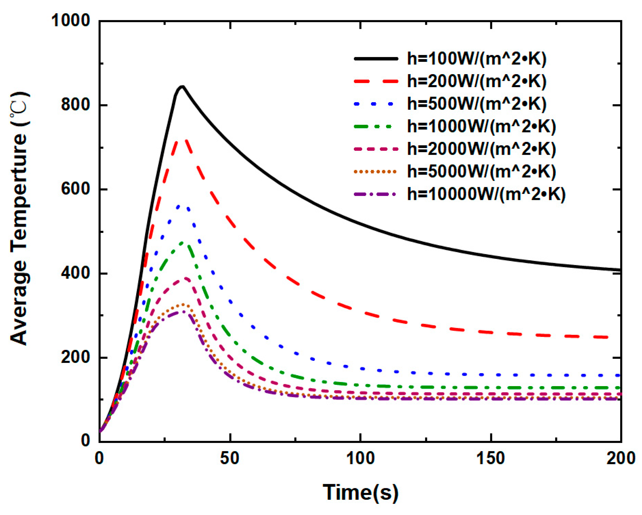
- When the convective heat transfer coefficient changes, an increase in the exterior convection heat transfer coefficient lowers the lithium-ion battery’s average temperature. The implication is that adequate cooling conditions can effectively prevent the emergence of thermal runaway, which is similar to reference [35].
- When the internal short circuit position changes, the average temperature of the batteries is almost the same. However, the average temperature in the middle of the internal shorting position is significantly greater than that in the other four positions. Thermal runaway will happen when the battery is acupunctured, regardless of which section of the battery is acupunctured. Yao Dan [52] considered that no matter where acupuncture occurs, the average temperature peak is similar and the fluctuation is weak, which resembles our results in this work.
Author Contributions
Funding
Institutional Review Board Statement
Informed Consent Statement
Data Availability Statement
Conflicts of Interest
Abbreviations
| Open circuit voltage | |
| Current | |
| Positive electrode effective conductivity | |
| Anode effective conductivity | |
| Positive phase potential | |
| Negative phase potential | |
| Volumetric current transfer rate due to electrochemical reaction | |
| Electrochemical reaction heat | |
| Current transfer rate due to internal short circuit in battery | |
| Heat generation rate due to internal short circuit in battery | |
| Heat generated by thermal runaway reactions under thermal abuse | |
| Lithium-ion battery total capacity | |
| Lithium-ion battery reference capacity | |
| Volume |
References
- Busch, C.; Jun, M.; Harvey, H.; Min, H. China’s Carbon Neutral Opportunity; Energy Innovation: Policy and Technology, LLC.: San Francisco, CA, USA, 2021. [Google Scholar]
- Tian, H. The world energy pattern has undergone profound changes. World Knowl. 2022, 9, 21–23. [Google Scholar]
- Zou, C.; Xiong, B.; Xue, H.; Zheng, D.; Ge, Z.; Wang, Y. The position and role of new energy in carbon neutralization. Pet. Explor. Dev. 2021, 48, 411–420. [Google Scholar] [CrossRef]
- Chen, Y.; Kang, Y.; Zhao, Y.; Wang, L.; Liu, J.; Li, Y.; Liang, Z.; He, X.; Li, X. A review of lithium-ion battery safety concerns: The issues, strategies, and testing standards. J. Energy Chem. 2021, 59, 83–99. [Google Scholar] [CrossRef]
- Lai, X. Mechanism, modeling, detection, and prevention of the internal short circuit in lithium-ion batteries: Recent advances and perspectives. Energy Storage Mater. 2021, 35, 470–499. [Google Scholar] [CrossRef]
- Zhang, G.; Wei, X.; Tang, X.; Zhu, J.; Chen, S.; Dai, H. Internal short circuit mechanisms, experimental approaches and detection methods of lithium-ion batteries for electric vehicles: A review. Renew. Sustain. Energy Rev. 2021, 141, 110790. [Google Scholar] [CrossRef]
- Fang, W.; Ramadass, P.; Zhang, Z. Study of internal short in a Li-ion cell-II. Numerical investigation using a 3D electrochemical-thermal model. J. Power Sources 2014, 248, 1090–1098. [Google Scholar] [CrossRef]
- Feng, X.; Fang, M.; He, X.; Ouyang, M.; Lu, L.; Wang, H. Thermal runaway features of large format prismatic lithium ion battery using extended volume accelerating rate calorimetry. J. Power Sources 2014, 255, 294–301. [Google Scholar] [CrossRef]
- Kim, G.; Pesaran, A.; Spotnitz, R. A threedimensional thermal abuse model for lithium-ion cells. J. Power Sources 2007, 170, 476–489. [Google Scholar] [CrossRef]
- MacNeil, D.D.; Dahn, J.R. Test of Reaction Kinetics Using Both Differential Scanning and Accelerating Rate Calorimetries as Applied to the Reaction of LixCoO2 in Non-aqueous Electrolyte. J. Phys. Chem. 2001, 105, 4430–4439. [Google Scholar] [CrossRef]
- Xu, M.; Zhang, Z.; Wang, X.; Jia, L.; Yang, L. A pseudo threedimensional electrochemicalthermal model of a prismatic LiFePO4 battery during discharge process. Energy 2015, 80, 303–317. [Google Scholar] [CrossRef]
- Bai, J.; Wang, Z.; Gao, T.; Bai, W.; Wang, J. Effect of mechanical extrusion force on thermal runaway of lithium-ion batteries caused by flat heating. J. Power Sources 2021, 507, 230305. [Google Scholar] [CrossRef]
- Santhanagopalan, S.; Ramadass, P.; Zhang, J.Z. Analysis of internal short-circuit in a lithium ion cell. J. Power Sources 2009, 194, 550–557. [Google Scholar] [CrossRef]
- Barré, A.; Deguilhem, B.; Grolleau, S.; Gérard, M.; Suard, F.; Riu, D. A review on lithiumion battery ageing mechanisms and estimations for automotive applications. J. Power Sources 2013, 241, 680–689. [Google Scholar] [CrossRef]
- Liu, B.; Jia, Y.; Yuan, C.; Wang, L.; Gao, X.; Yin, S. Safety issues and mechanisms of lithium-ion battery cell upon mechanical abusive loading: A review. Energy Storage Mater. 2020, 24, 85–112. [Google Scholar] [CrossRef]
- Kisters, T.; Sahraei, E.; Wierzbicki, T. Dynamic impact tests on lithium-ion cells. Int. J. Impact Eng. 2017, 108, 205–216. [Google Scholar] [CrossRef]
- Xu, J.; Liu, B.; Wang, L.; Shang, S. Dynamic mechanical integrity of cylindrical lithium-ion battery cell upon crushing. Eng. Fail. Anal. 2015, 53, 97–110. [Google Scholar] [CrossRef]
- Zhao, R.; Liu, J.; Gu, J. Simulation and experimental study on lithium ion battery short circuit. Appl. Energy 2016, 173, 29–39. [Google Scholar] [CrossRef]
- Coman, P.T.; Darcy, E.C.; Veje, C.T. Numerical analysis of heat propagation in a battery pack using a novel technology for triggering thermal runaway. Appl. Energy 2017, 203, 189–200. [Google Scholar] [CrossRef]
- Zhu, J.; Wierzbicki, T.; Li, W. A review of safety-focused mechanical modeling of commercial lithium-ion batteries. J. Power Sources 2018, 378, 153–168. [Google Scholar] [CrossRef]
- Shi, Y.; Noelle, D.J.; Wang, M.; Le, A.V.; Yoon, H.; Zhang, M.; Meng, Y.S. Exothermic behaviors of mechanically abused lithium-ion batteries with dibenzylamine. J. Power Sources 2016, 326, 514–521. [Google Scholar] [CrossRef]
- Jones, H.P.; Thomas, C.; Mahmod, T. Critical review of commercial secondary lithium-ion battery safety standards. Mak. Saf. Matter 2010, 680, 55. [Google Scholar]
- Cai, W.; Wang, H.; Maleki, H.; Howard, J.; Lara-Curzio, E. Experimental simulation of internal short circuit in Li-ion and Li-ion-polymer cells. J. Power Sources 2011, 196, 7779–7783. [Google Scholar] [CrossRef]
- Mao, B.; Chen, H.; Cui, Z.; Wu, T.; Wang, Q. Failure mechanism of the lithium ion battery during nail penetration. Int. J. Heat Mass Transf. 2018, 122, 1103–1115. [Google Scholar] [CrossRef]
- Finegan, D.P.; Tjaden, B.; Heenan, T.M.M.; Jervis, R.; Michiel, M.D.; Rack, A. Tracking Internal Temperature and Structural Dynamics during Nail Penetration of Lithium-Ion Cells. J. Electrochem. Soc. 2017, 164, A3285–A3291. [Google Scholar] [CrossRef]
- Orendorff, C.J.; Roth, E.P.; Nagasubramanian, G. Experimental triggers for internal short circuits in lithium-ion cells. J. Power Sources 2011, 196, 6554–6558. [Google Scholar] [CrossRef]
- Hyung, Y.; Mankame, A.; Rona, M.; Barnett, B.; Sriramulu, S. Factors that influence thermal runaway during a nail penetration test. In Electrochemical Society Meeting Abstracts; The Electrochemical Society, Inc.: Boston, MA, USA, 2011; Volume 220, p. 413. [Google Scholar]
- Zhang, M.; Du, J.; Liu, L.; Stefanopoulou, A.; Siegel, J.; Lu, L. Internal Short Circuit Trigger Method for Lithium-Ion Battery Based on Shape Memory Alloy. J. Electrochem. Soc. 2017, 164, A3038–A3044. [Google Scholar] [CrossRef]
- Ramadass, P.; Fang, W.; Zhang, Z.J. Study of internal short in a Li-ion cell I. Test method development using infra-red imaging technique. J. Power Sources 2014, 248, 769–776. [Google Scholar] [CrossRef]
- Huang, Z.; Li, H.; Mei, W.; Zhao, C.; Sun, J. Thermal Runaway Behavior of Lithium Iron Phosphate Battery During Penetration. Fire Technol. 2020, 56, 2405–2426. [Google Scholar] [CrossRef]
- Zavalis, T.G.; Behm, M.; Lindbergh, G. Investigation of short-circuit scenarios in a lithium-ion battery cell. J. Electrochem. Soc. 2012, 159, A848. [Google Scholar] [CrossRef]
- Zhao, W.; Luo, G.; Wang, C. Modeling Internal Shorting Process in Large-Format Li-Ion Cells. J. Electrochem. Soc. 2015, 162, A1352–A1364. [Google Scholar] [CrossRef]
- Zhao, W.; Luo, G.; Wang, C. Modeling Nail Penetration Process in Large-Format Li-Ion Cells. J. Electrochem. Soc. 2014, 162, A207–A217. [Google Scholar] [CrossRef]
- Wang, J.; Mei, W.; Cui, Z.; Shen, W.; Duan, Q.; Jin, Y. Experimental and numerical study on penetration-induced internal short-circuit of lithium-ion cell. Appl. Therm. Eng. 2020, 171, 115082. [Google Scholar] [CrossRef]
- Feng, X.; Lu, L.; Ouyang, M. A 3D thermal runaway propagation model for a large format lithium ion battery module. Energy 2016, 115, 194–208. [Google Scholar] [CrossRef]
- Zhang, M.; Liu, L.; Stefanopoulou, A.; Siegel, J.; Lu, L.; He, X. Fusing Phenomenon of Lithium-Ion Battery Internal Short Circuit. J. Electrochem. Soc. 2017, 164, A2738–A2745. [Google Scholar] [CrossRef]
- Yan, W.; Wang, Z.; Chen, S. Quantitative analysis on the heat transfer modes in the process of thermal runaway propagation in lithium-ion battery pack under confined and semi-confined space. Int. J. Heat Mass Transf. 2021, 176, 121483. [Google Scholar] [CrossRef]
- Zhang, M.; Ouyang, M.; Lu, L.; He, X.; Feng, X.; Liu, L. Battery Internal Short Circuit Detection. ECS Trans. 2017, 77, 217–223. [Google Scholar] [CrossRef]
- Hu, H.; Xu, X.; Sun, X.; Li, R.; Zhang, Y.; Fu, J. Numerical study on the inhibition control of lithium-ion battery thermal runaway. ACS Omega 2020, 5, 18254–18261. [Google Scholar] [CrossRef]
- Li, Y.; Zhou, Z.; Wu, W. Three-Dimensional Thermal Modeling of Internal Shorting Process in a 20Ah Lithium-Ion Polymer Battery. Energies 2020, 13, 1013. [Google Scholar] [CrossRef]
- Gomez, J.; Nelson, R.; Kalu, E.E. Equivalent circuit model parameters of a high-power Li-ion battery: Thermal and state of charge effects. J. Power Sources 2011, 196, 4826–4831. [Google Scholar] [CrossRef]
- Chiu, K.; Lin, C.; Yeh, S.; Lin, Y.; Chen, K. An electrochemical modeling of lithium-ion battery nail penetration. J. Power Sources 2014, 251, 254–263. [Google Scholar] [CrossRef]
- Ren, D.; Feng, X.; Liu, L.; Hsu, H.; Lu, L.; Wang, L.; Ouyang, M. Investigating the relationship between internal short circuit and thermal runaway of lithium-ion batteries under thermal abuse condition. Energy Storage Mater. 2021, 34, 563–573. [Google Scholar] [CrossRef]
- Kwak, E.; Kim, J.H.; Hong, S.H.; Oh, K.Y. Detailed modeling investigation of thermal runaway pathways of a lithium iron phosphate battery. Int. J. Energy Res. 2022, 46, 1146–1167. [Google Scholar] [CrossRef]
- Zhang, Y.; Mei, W.; Qin, P.; Duan, Q.; Wang, Q. Numerical modeling on thermal runaway triggered by local overheating for lithium iron phosphate battery. Appl. Therm. Eng. 2021, 192, 116928. [Google Scholar] [CrossRef]
- Xu, J.; Lan, C.; Qiao, Y.; Ma, Y. Prevent thermal runaway of lithium-ion batteries with minichannel cooling. Appl. Therm. Eng. 2017, 110, 883–890. [Google Scholar] [CrossRef]
- Kim, U.S. Effect of electrode configuration on the thermal behavior of a lithium-polymer battery. J. Power Sources 2008, 180, 909–916. [Google Scholar] [CrossRef]
- Kim, U.S. Modeling the Dependence of the Discharge Behavior of a Lithium-Ion Battery on the Environmental Temperature. J. Electrochem. Soc. 2011, 158, A611–A618. [Google Scholar]
- Taheri, P.; Bahrami, M. Temperature Rise in Prismatic Polymer Lithium-Ion Batteries: An Analytic Approach. SAE Int. J. Passeng. Cars-Electron. Electr. Syst. 2012, 5, 164–176. [Google Scholar] [CrossRef]
- Lopez, C.F.; Jeevarajan, J.A.; Mukherjee, P.P. Characterization of Lithium-Ion Battery Thermal Abuse Behavior Using Experimental and Computational Analysis. J. Electrochem. Soc. 2015, 162, A2163–A2173. [Google Scholar] [CrossRef]
- Finegan, D.P.; Darcy, E.; Keyser, M.; Tjaden, B.; Heenan, T.M. Characterising thermal runaway within lithium-ion cells by inducing and monitoring internal short circuits. Energy Environ. Sci. 2017, 10, 1377–1388. [Google Scholar] [CrossRef]
- Dan, Y. Numerical Simulation and Risk Control of Thermal Runaway of Ternary Lithium Battery. Master’s Thesis, Xi’an University of Architecture and Technology, Xi’an, China, 2021. [Google Scholar] [CrossRef]



























| Symbol | Value | Description |
|---|---|---|
| SEI-decomposition heat release | ||
| Specific carbon content in jellyroll | ||
| SEI-decomposition frequency factor | ||
| SEI-decomposition activation energy | ||
| Negative-electrolyte heat release | ||
| Specific carbon content in jellyroll | ||
| Negative-electrolyte frequency factor | ||
| Negative-electrolyte activation energy | ||
| Positive-electrolyte heat release | ||
| Specific positive active content in jellyroll | ||
| Positive-electrolyte frequency factor | ||
| Positive-electrolyte activation energy | ||
| Electrolyte decomposition heat release | ||
| Specific electrolyte content in jellyroll | ||
| Electrolyte decomposition frequency factor | ||
| Electrolyte decomposition activation energy | ||
| 0.15 | Initial value | |
| 0.75 | Initial value | |
| 1 | Initial value | |
| 0.15 | Initial value | |
| 1 | Initial value | |
| 0.033 | Initial value | |
| 1 | Initial value | |
| 1 | Initial value | |
| 1 | Initial value |
Publisher’s Note: MDPI stays neutral with regard to jurisdictional claims in published maps and institutional affiliations. |
© 2022 by the authors. Licensee MDPI, Basel, Switzerland. This article is an open access article distributed under the terms and conditions of the Creative Commons Attribution (CC BY) license (https://creativecommons.org/licenses/by/4.0/).
Share and Cite
Liu, X.; Zhou, Z.; Wu, W.; Gao, L.; Li, Y.; Huang, H.; Huang, Z.; Li, Y.; Song, Y. Three-Dimensional Modeling for the Internal Shorting Caused Thermal Runaway Process in 20Ah Lithium-Ion Battery. Energies 2022, 15, 6868. https://doi.org/10.3390/en15196868
Liu X, Zhou Z, Wu W, Gao L, Li Y, Huang H, Huang Z, Li Y, Song Y. Three-Dimensional Modeling for the Internal Shorting Caused Thermal Runaway Process in 20Ah Lithium-Ion Battery. Energies. 2022; 15(19):6868. https://doi.org/10.3390/en15196868
Chicago/Turabian StyleLiu, Xinyu, Zhifu Zhou, Weitao Wu, Linsong Gao, Yang Li, Heng Huang, Zheng Huang, Yubai Li, and Yongchen Song. 2022. "Three-Dimensional Modeling for the Internal Shorting Caused Thermal Runaway Process in 20Ah Lithium-Ion Battery" Energies 15, no. 19: 6868. https://doi.org/10.3390/en15196868
APA StyleLiu, X., Zhou, Z., Wu, W., Gao, L., Li, Y., Huang, H., Huang, Z., Li, Y., & Song, Y. (2022). Three-Dimensional Modeling for the Internal Shorting Caused Thermal Runaway Process in 20Ah Lithium-Ion Battery. Energies, 15(19), 6868. https://doi.org/10.3390/en15196868
