Optimal Design of Power-On Downshift Control of Series-Parallel Hybrid Transmission Based on Motor Active Speed Regulation
Abstract
:1. Introduction
2. Structure and Dynamic Model of Hybrid System
2.1. Two-Speed Transmission
2.2. Motor Speed Regulation Control
2.3. Clutch Control
3. Control Strategy Based on Motor Active Speed Regulation
4. Simulation and Optimization of Shift Control Strategy
4.1. Simulation Results and Discussion
4.2. Optimization Results and Discussion
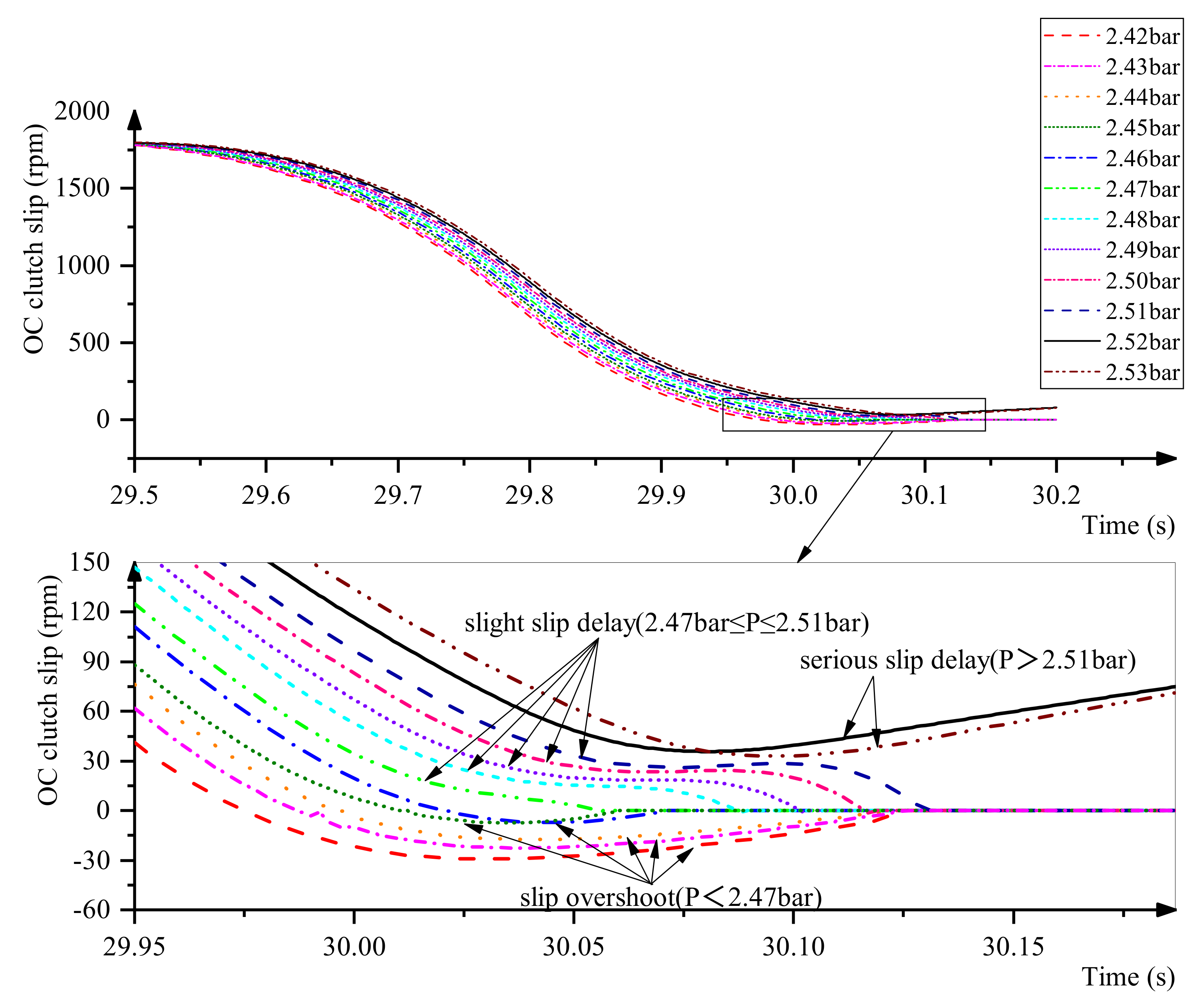
4.2.1. Strategy 1: Reducing OG Clutch Control Pressure
4.2.2. Strategy 2: Increasing OC Clutch Pressure in Advance
Simulation Results of Strategy 2
Comparison of Optimization Effects under Different
Comparison of Optimization Effects under Different
5. Conclusions
- (1)
- In this paper, a shifting control strategy based on motor active speed regulation is proposed, and the core is to realize the fast and accurate matching of the clutch speed through the motor active speed regulation control, so as to realize the fast and stable shifting process. The coordinated control of clutch pressure and motor torque in different stages of the shifting process is designed, and the influence of the key parameter on the shifting results is analyzed.
- (2)
- Based on the dynamic model, the critical control pressure is calculated; then, the shifting process when is close to is simulated and analyzed. The results show that, when entering the torque phase, there is a remaining slip of the clutch; in the process of eliminating the remaining slip, the reverse torque of the clutch is produced. It is the root cause of producing the maximum impact in the shifting process. On this basis, two optimization control strategies, which are reducing the OG clutch control pressure and increasing the OC clutch pressure in advance before entering the torque phase, are proposed to reduce the impact and improve the shift quality
- (3)
- For strategy 1, the following conclusions are drawn: (1) when is lower than , there is an optimal range of , in which the shift impact can be controlled within 10 m/s3. In this paper, is 2.582 bar, and the corresponding optimal control pressure range of is (2.44–2.46 bar). Moreover, in the above range, when , the maximum jerk can be reduced to the lowest value of 4.3 m/s3. (2) When is in the optimal range, there is a slight slip overshoot in the torque phase. If is lower than this range, the slip overshoot will increase, thereby increasing the shift impact. If is higher than this range, the slip overshoot will disappear, and the slip delay will be produced, which will also increase the shift impact. (3) The shift time and sliding work show an obvious positive correlation with . (4) The optimal range of is related to —that is, to the input torque of transmission. In practice, it is necessary to obtain the optimal range under different input torques through calibration tests.
- (4)
- For strategy 2, the following conclusions are drawn: (1) when adopting strategy 2, the slip delay phenomenon disappears, the reverse torque that is generated in the process of eliminating the remaining slip is significantly suppressed, and the corresponding fluctuation of the wheel output torque is also significantly reduced so that the impact is significantly reduced. (2) Strategy 2 can be used when is higher than the optimal range, and the slip delay occurs. Once it is adopted, each index will be optimized to varying degrees, and the more serious the slip delay is, the more obvious the optimization effect is. (3) For different , the corresponding best is also different.
- (5)
- The optimal range of strategy 1 is (2.44–2.46 bar), while the effective action range of strategy 2 is (2.47–2.53 bar). Therefore, strategy 2 can be seen as a supplement to strategy 1. For any within the range of (2.44–2.53 bar), a higher shift quality can be achieved.
Author Contributions
Funding
Institutional Review Board Statement
Informed Consent Statement
Data Availability Statement
Acknowledgments
Conflicts of Interest
References
- Zhuang, W.C.; Zhang, X.W.; Peng, H.; Wang, L.M. Rapid Configuration Design of Multiple-Planetary-Gear Power-Split Hybrid Powertrain via Mode Combination. IEEE/ASME Trans. Mechatron. 2016, 21, 2924–2934. [Google Scholar] [CrossRef]
- Xu, X.Y.; Sun, H.Q.; Liu, Y.F.; Dong, P. Automatic Enumeration of Feasible Configuration for the Dedicated Hybrid Transmission with Multi-Degree-of-Freedom and Multiplanetary Gear Set. J. Mech. Des. 2019, 141, 1–14. [Google Scholar] [CrossRef]
- Dong, P.; Liu, Y.F.; Tenberge, P.; Xu, X.Y. Design and analysis of a novel multi-speed automatic transmission with four degrees-of-freedom. Mech. Mach. Theory 2017, 108, 83–96. [Google Scholar] [CrossRef]
- Dong, P.; Zuo, S.M.; Tenberge, P.; Uelpenich, R.; Xu, X.Y.; Liu, Y.F.; Wang, S.H.; Lai, J.B. Rapid hob tip corner optimization of spur gears for increasing bending strength. Int. J. Mech. Sci. 2022, 224, 107322. [Google Scholar] [CrossRef]
- Zhuang, W.C.; Zhang, X.W.; Yin, G.D.; Peng, H.; Wang, L.M. Mode Shift Schedule and Control Strategy Design of Multimode Hybrid Powertrain. IEEE Trans. Control. Syst. Technol. 2020, 28, 804–815. [Google Scholar] [CrossRef]
- Xu, X.Y.; Liang, J.J.; Hao, Q.J.; Dong, P.; Wang, S.H.; Guo, W.; Liu, Y.F.; Lu, Z.H.; Geng, J.T.; Yan, B. A Novel Electric Dual Motor Transmission for Heavy Commercial Vehicles. Automot. Innov. 2021, 4, 34–43. [Google Scholar] [CrossRef]
- Holjevac, N.; Cheli, F.; Gobbi, M. A study over Hybrid Electric Vehicles role in vehicle concept design. In Proceedings of the 2018 International Conference of Electrical and Electronic Technologies for Automotive, Wellington, New Zealand, 14–16 December 2018. [Google Scholar]
- Ma, K.; Wang, Z.; Liu, H.; Yu, H.; Wei, C. Numerical Investigation on Fuzzy Logic Control Energy Management Strategy of Parallel Hybrid Electric Vehicle. Energy Procedia 2019, 158, 2643–2648. [Google Scholar] [CrossRef]
- Maddumage, W.; Perera, M.; Attalage, R.; Kelly, P. Power Management Strategy of a Parallel Hybrid Three-Wheeler for Fuel and Emission Reduction. Energies 2021, 14, 1833. [Google Scholar] [CrossRef]
- Xie, S.B.; Hu, X.S.; Xin, Z.K.; Brighton, J. Pontryagin’s Minimum Principle based model predictive control of energy management for a plug-in hybrid electric bus. Appl. Energy 2019, 236, 893–905. [Google Scholar] [CrossRef]
- Geng, S.; Schulte, T.; Maas, J. Model-Based Analysis of Different Equivalent Consumption Minimization Strategies for a Plug-In Hybrid Electric Vehicle. Appl. Sci. 2022, 12, 2905. [Google Scholar] [CrossRef]
- Prasanthi, A.; Shareef, H.; Asna, M.; Ibrahim, A.A.; Errouissi, R. Optimization of hybrid energy systems and adaptive energy management for hybrid electric vehicles. Energy Convers. Manag. 2021, 243, 114357. [Google Scholar] [CrossRef]
- Xu, X.Y.; Zhao, J.L.; Zhao, J.W.; Shi, K.; Dong, P.; Wang, S.H.; Liu, Y.F.; Guo, W.; Liu, X.W. Comparative study on fuel saving potential of series-parallel hybrid transmission and series hybrid transmission. Energy Convers. Manag. 2022, 252, 114970. [Google Scholar] [CrossRef]
- Chen, H.J.; Li, L.; Lange, A.; Küçükay, F. Innovative Dedicated Hybrid Transmission Concepts in the Next Generation of Hybrid Powertrains. SAE Int. J. Altern. Powertrains 2019, 8, 75–88. [Google Scholar] [CrossRef]
- Okuda, K.; Yasuda, Y.; Adachi, M.; Tabata, A.; Suzuki, S.; Takagi, K.; Atarashi, T.; Horie, R. Development of Multi Stage Hybrid Transmission. SAE Int. J. Altern. Powertrains 2017, 6, 77–83. [Google Scholar] [CrossRef]
- Khan, A.; Grewe, T.; Liu, J.; Anwar, M.; Holmes, A.; Balsley, R. The GM RWD PHEV Propulsion System for the Cadillac CT6 Luxury Sedan. In Proceedings of the SAE 2016 World Congress and Exhibition, Detroit, MI, USA, 12 April 2016. [Google Scholar]
- Wang, S.H.; Liu, Y.J.; Wang, Z.; Dong, P.; Cheng, Y.J.; Xu, X.Y.; Tenberge, P. Adaptive fuzzy iterative control strategy for the wet-clutch filling of automatic transmission. Mech. Syst. Signal Process. 2019, 130, 164–182. [Google Scholar] [CrossRef]
- Cheng, Y.J.; Xu, X.Y.; Wang, S.H.; Liu, Y. Generic control flow for the four types of clutch-to-clutch shifts. Adv. Mech. Eng. 2016, 8, 1–16. [Google Scholar] [CrossRef]
- Li, H.C.; Yan, Z.J.; Wang, W.D.; Zhang, W.; Liu, H.; Li, X.M. Design method of improved two-parameter gearshift schedule for parallel HEV. J. Harbin Inst. Technol. 2019, 51, 102–108. [Google Scholar]
- Ren, W.; Huang, J.H.; Xu, H.H.; Yin, J.J.; Liu, C.; Zhang, L. Shifting Process Optimization of Dedicated Hybrid Transmission. IEEE Access 2022, 10, 61892–61904. [Google Scholar] [CrossRef]
- Qi, B.N.; Yang, L.Q.; Zhang, L.P.; Zhang, R.S. Adaptive Fault-Tolerant Control During the Mode Switching for Electric Vehicle Dual-Mode Coupling Drive System. Automot. Innov. 2021, 4, 56–69. [Google Scholar] [CrossRef]
- He, R.; Xu, Y.Q. Shift schedule of parallel hybrid electric vehicles under hybrid driving mode. J. Jiangsu Univ. 2016, 37, 657–662. [Google Scholar]
- Dong, P.; Wu, S.H.; Guo, W.; Xu, X.Y.; Wang, S.H.; Liu, Y.H. Coordinated clutch slip control for the engine start of vehicles with P2-hybrid automatic transmissions. Mech. Mach. Theory 2020, 153, 103899. [Google Scholar] [CrossRef]
- Xu, X.Y.; Liang, Y.H.; Jordan, M.; Tenberge, P.; Dong, P. Optimized control of engine start assisted by the disconnect clutch in a P2 hybrid automatic transmission. Mech. Syst. Signal Process. 2019, 124, 313–329. [Google Scholar] [CrossRef]
- Xu, X.Y.; Wu, X.X.; Jordan, M.; Dong, P.; Liu, Y. Coordinated Engine-Start Control of Single-Motor P2 Hybrid Electric Vehicles with Respect to Different Driving Situations. Energies 2017, 11, 207. [Google Scholar] [CrossRef]
- Zhao, Z.G.; Fan, J.Q.; Li, M.N.; Fu, J. Engine Start-Up Robust Control for a Power-Split Hybrid System Based on μ Synthesis Method. SAE Int. J. Electrified Veh. 2021, 10, 89–101. [Google Scholar] [CrossRef]
- Ning, J.K.; Zhu, G.Q.; Qu, B.X. Development of a engine start control method for P2 hybrid vehicles in launch situation. IFAC-PapersOnLine 2018, 51, 7–10. [Google Scholar] [CrossRef]
- Tang, X.L.; Zhang, D.J.; Liu, T.; Khajepour, A.; Yu, H.S.; Wang, H. Research on the energy control of a dual-motor hybrid vehicle during engine start-stop process. Energy 2019, 166, 1181–1193. [Google Scholar] [CrossRef]
- Du, L.; Xu, L.F.; Hu, Y.D.; Ouyang, M.G.; Yang, F.Y. Optimal Speed Profile for Minimum Vibration during Engine Start Using Pontryagin’s Minimum Principle Approach. In Proceedings of the New Energy & Intelligent Connected Vehicle Technology Conference, Shanghai, China, 4 November 2019. [Google Scholar]
- Yang, C.; Shi, Y.; Li, L.; Wang, X.Y. Efficient Mode Transition Control for Parallel Hybrid Electric Vehicle with Adaptive Dual-Loop Control Framework. IEEE Trans. Veh. Technol. 2019, 69, 1519–1532. [Google Scholar] [CrossRef]
- Yang, C.; Jiao, X.H.; LI, L.; Zhang, Y.B.; Chen, Z. A robust H∞ control-based hierarchical mode transition control system for plug-in hybrid electric vehicle. Mech. Syst. Signal Process. 2018, 99, 326–344. [Google Scholar] [CrossRef]
- Guo, W.; Xu, X.Y.; Liu, X.D.; Wang, S.H.; Dong, P. P2 Structure Hybrid Power System Coordinated Control. China J. Highw. Transp. 2018, 31, 308–316. [Google Scholar]
- Lin, X.Y.; Su, L.; Zheng, Q.X. Dynamic coordination control of mode transition using model predictive control for hybrid electric vehicle. Control. Theory Appl. 2020, 37, 897–906. [Google Scholar]
- Park, J.; Choi, S.; Oh, J.; Eo, J. Adaptive torque tracking control during slip engagement of a dry clutch in vehicle powertrain. Mech. Mach. Theory 2019, 134, 249–266. [Google Scholar] [CrossRef]
- Du, C.Q.; Zhang, H.; Cao, X.L.; Wang, H.W. P2 Hybrid AMT Shift Clutch Engagement Control Strategy based on Model Prediction. J. Mech. Transm. 2021, 45, 25–34. [Google Scholar]
- Ding, J.G.; Jiao, X.H. A Novel Control Method of Clutch During Mode Transition of Single-Shaft Parallel Hybrid Electric Vehicles. Electronics 2020, 9, 54. [Google Scholar] [CrossRef] [Green Version]















| Maximum Jerk (m/s3) | Shift Time (s) | Slipping Work (kJ) | |
|---|---|---|---|
| 2.42 | 15.6 | 0.96 | 0.350 |
| 2.43 | 19.0 | 0.97 | 0.360 |
| 2.44 | 4.3 | 0.98 | 0.371 |
| 2.45 | 8.1 | 0.99 | 0.397 |
| 2.46 | 6.9 | 1.00 | 0.402 |
| 2.47 | 10.7 | 1.01 | 0.423 |
| 2.48 | 22.4 | 1.03 | 0.449 |
| 2.49 | 26.7 | 1.04 | 0.462 |
| 2.50 | 33.8 | 1.05 | 0.474 |
| 2.51 | 36.6 | 1.06 | 0.488 |
| 2.52 | 63.4 | 1.62 | 1.164 |
| 2.53 | 72.9 | 1.64 | 1.168 |
| Maximum Jerk (m/s3) | Shift Time (s) | Slipping Work (kJ) | |
|---|---|---|---|
| 1.52 | 30.4 | 1.06 | 0.487 |
| 1.54 | 23.1 | 1.05 | 0.473 |
| 1.56 | 16.9 | 1.05 | 0.473 |
| 1.58 | 12.3 | 1.05 | 0.473 |
| 1.60 | 9.6 | 1.05 | 0.473 |
| 1.61 | 8.1 | 1.05 | 0.473 |
| 1.62 | 7.9 | 1.05 | 0.473 |
| 163 | 8.2 | 1.05 | 0.473 |
| 1.64 | 9.3 | 1.05 | 0.473 |
| 1.65 | 9.7 | 1.05 | 0.473 |
| 1.66 | 10.1 | 1.05 | 0.473 |
| 1.68 | 12.4 | 1.05 | 0.473 |
| 1.70 | 13.6 | 1.05 | 0.473 |
| Maximum Jerk (m/s3) | Shift Time (s) | Slipping Work (kJ) | |||||
|---|---|---|---|---|---|---|---|
| W | W/O | W | W/O | W | W/O | ||
| 2.47 | 1.53 | 6.5 | 10.7 | 1.01 | 1.01 | 0.423 | 0.423 |
| 2.48 | 1.57 | 8.2 | 22.4 | 1.02 | 1.03 | 0.435 | 0.449 |
| 2.49 | 1.60 | 8.5 | 26.7 | 1.03 | 1.04 | 0.448 | 0.462 |
| 2.50 | 1.60 | 7.8 | 33.8 | 1.04 | 1.05 | 0.460 | 0.474 |
| 2.51 | 1.62 | 7.9 | 36.6 | 1.05 | 1.06 | 0.473 | 0.488 |
| 2.52 | 1.67 | 8.3 | 63.4 | 1.07 | 1.62 | 0.500 | 1.164 |
| 2.53 | 1.64 | 6.8 | 72.9 | 1.08 | 1.64 | 0.510 | 1.170 |
Publisher’s Note: MDPI stays neutral with regard to jurisdictional claims in published maps and institutional affiliations. |
© 2022 by the authors. Licensee MDPI, Basel, Switzerland. This article is an open access article distributed under the terms and conditions of the Creative Commons Attribution (CC BY) license (https://creativecommons.org/licenses/by/4.0/).
Share and Cite
Xu, X.; Guo, K.; Liu, X.; Qi, H.; Dong, P.; Wang, S.; Guo, W. Optimal Design of Power-On Downshift Control of Series-Parallel Hybrid Transmission Based on Motor Active Speed Regulation. Energies 2022, 15, 6214. https://doi.org/10.3390/en15176214
Xu X, Guo K, Liu X, Qi H, Dong P, Wang S, Guo W. Optimal Design of Power-On Downshift Control of Series-Parallel Hybrid Transmission Based on Motor Active Speed Regulation. Energies. 2022; 15(17):6214. https://doi.org/10.3390/en15176214
Chicago/Turabian StyleXu, Xiangyang, Kun Guo, Xuewu Liu, Hongzhong Qi, Peng Dong, Shuhan Wang, and Wei Guo. 2022. "Optimal Design of Power-On Downshift Control of Series-Parallel Hybrid Transmission Based on Motor Active Speed Regulation" Energies 15, no. 17: 6214. https://doi.org/10.3390/en15176214
APA StyleXu, X., Guo, K., Liu, X., Qi, H., Dong, P., Wang, S., & Guo, W. (2022). Optimal Design of Power-On Downshift Control of Series-Parallel Hybrid Transmission Based on Motor Active Speed Regulation. Energies, 15(17), 6214. https://doi.org/10.3390/en15176214
