Multi-Objective Optimization of an Irreversible Single Resonance Energy-Selective Electron Heat Engine
Abstract
:1. Introduction
2. Model Description
3. Multi-Objective Optimizations
4. Conclusions
- When , , and reach their maximum values, it can be seen that values are 0.1007, 0.9331, 0.0882 and 0.1254, respectively. For the MOO of , the s obtained by the TOPSIS and LINMAP decision approaches are both 0.0755. The obtained by MOO is smaller and better compared with single-objective optimization, which means that the MOO results are better.
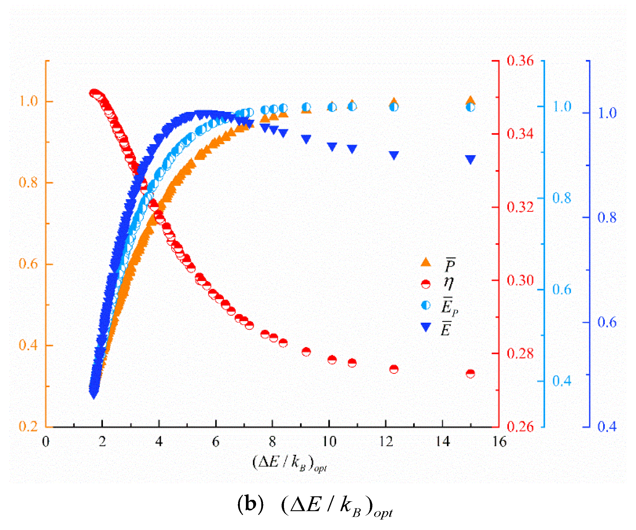
- For the MOO of , is distributed between 13.95 and 14.10, and is distributed between 0 and 15. As increases, the change trends of , , and are not obvious; as increases, increases, decreases and and first increase then decrease. In the design of the ESE heat engine, it is very important to choose appropriate values of and .
- For the MOO of , the is the minimum obtained by the TOPSIS approach and the value is 0.0748; at this time, the and are 14.0091 and 8.2266, respectively, which is the most ideal design scheme. For the MOO of other combinations, the appropriate decision-making approach can be selected according to the actual requirements and needs.
- It is meaningful to introduce the MOO to the performance optimization ESE heat engines.
Author Contributions
Funding
Institutional Review Board Statement
Informed Consent Statement
Data Availability Statement
Acknowledgments
Conflicts of Interest
Nomenclature
| Energy boundary () | |
| Bias voltage | |
| Efficient power () | |
| Ecological function | |
| Fermi distributions of electrons | |
| A defined function | |
| Plank constant () | |
| Boltzmann constant () | |
| Heat leakage coefficient () | |
| Power output () | |
| Heat transfer () | |
| Greek symbols | |
| Thermal efficiency | |
| electrochemical potential () | |
| Entropy generation rate () | |
| Resonance width () | |
| Subscripts | |
| Cold reservoir | |
| Heat absorption rate | |
| Hot reservoir | |
| Heat release rate | |
| Heat leakage | |
| Optimal | |
| Environment | |
| Superscripts | |
| Dimensionless |
Abbreviations
| EMP | Efficiency at maximum power |
| EP | Efficient power |
| ESE | Heat exchanger |
| FTT | Finite time thermodynamics |
| MOO | Multi-objective optimization |
| POW | Power output |
| TEF | Thermal efficiency |
Appendix A. Model Description in Detail
Appendix B. Optimization Results
| Optimization Approaches | Decision Schemes | Optimization Variables | Optimization Objectives | Deviation Index | ||||
|---|---|---|---|---|---|---|---|---|
| Quadru-objective optimization ( and ) | LINMAP | 14.0381 | 7.7359 | 0.9566 | 0.2853 | 0.9928 | 0.9737 | 0.0755 |
| TOPSIS | 14.0381 | 7.7359 | 0.9566 | 0.2853 | 0.9928 | 0.9737 | 0.0755 | |
| Shannon Entropy | 14.0006 | 5.6813 | 0.8797 | 0.2986 | 0.9555 | 1.0000 | 0.1254 | |
| Tri-objective optimization ( and ) | LINMAP | 14.0091 | 7.5215 | 0.9613 | 0.2864 | 0.9912 | 0.9785 | 0.0763 |
| TOPSIS | 13.9757 | 7.8488 | 0.9578 | 0.2854 | 0.9934 | 0.9733 | 0.0751 | |
| Shannon Entropy | 13.9975 | 10.8112 | 0.9909 | 0.2774 | 1.0000 | 0.9335 | 0.0882 | |
| Tri-objective optimization ( and ) | LINMAP | 14.0348 | 7.1843 | 0.9430 | 0.2880 | 0.9878 | 0.9831 | 0.0794 |
| TOPSIS | 14.0135 | 7.6952 | 0.9554 | 0.2856 | 0.9554 | 0.9754 | 0.0860 | |
| Shannon Entropy | 14.0000 | 5.6811 | 0.8796 | 0.2986 | 0.9554 | 1.0000 | 0.1254 | |
| Tri-objective optimization ( and ) | LINMAP | 14.0065 | 8.3937 | 0.9712 | 0.4839 | 0.9836 | 0.9953 | 0.0751 |
| TOPSIS | 14.0009 | 8.5764 | 0.9711 | 0.2823 | 0.9973 | 0.9612 | 0.0756 | |
| Shannon Entropy | 14.0000 | 5.6811 | 0.8796 | 0.2986 | 0.9554 | 1.0000 | 0.1254 | |
| Tri-objective optimization ( and ) | LINMAP | 14.0019 | 5.4832 | 0.8677 | 0.3004 | 0.9481 | 0.9995 | 0.1364 |
| TOPSIS | 14.0000 | 5.6810 | 0.8796 | 0.2986 | 0.9554 | 1.0000 | 0.1254 | |
| Shannon Entropy | 14.0000 | 5.6810 | 0.8796 | 0.2986 | 0.9554 | 1.0000 | 0.1254 | |
| Bi-objective optimization ( and ) | LINMAP | 14.0013 | 7.4549 | 0.9498 | 0.2867 | 0.9906 | 0.9795 | 0.0767 |
| TOPSIS | 14.0091 | 8.2266 | 0.9657 | 0.2835 | 0.9959 | 0.9666 | 0.0748 | |
| Shannon Entropy | 14.0001 | 1.6955 | 0.3053 | 0.3511 | 0.3900 | 0.4638 | 0.9331 | |
| Bi-objective optimization ( and ) | LINMAP | 13.9929 | 14.5327 | 0.9998 | 0.2747 | 0.9990 | 0.9143 | 0.1005 |
| TOPSIS | 13.9944 | 14.6054 | 0.9999 | 0.2746 | 0.9989 | 0.9141 | 0.1007 | |
| Shannon Entropy | 13.9975 | 10.8113 | 0.9909 | 0.2774 | 1.0000 | 0.9335 | 0.0882 | |
| Bi-objective optimization ( and ) | LINMAP | 14.0048 | 8.3587 | 0.9678 | 0.2830 | 0.9965 | 0.9646 | 0.0750 |
| TOPSIS | 14.0055 | 8.4334 | 0.9690 | 0.2828 | 0.9968 | 0.9633 | 0.0752 | |
| Shannon Entropy | 14.0000 | 5.6808 | 0.8796 | 0.2986 | 0.9554 | 1.0000 | 0.1254 | |
| Bi-objective optimization ( and ) | LINMAP | 14.0061 | 5.3931 | 0.8621 | 0.3012 | 0.9445 | 0.9990 | 0.1416 |
| TOPSIS | 14.0078 | 5.7264 | 0.8827 | 0.2981 | 0.9572 | 0.9999 | 0.1227 | |
| Shannon Entropy | 13.9985 | 10.8103 | 0.9909 | 0.2774 | 1.0000 | 0.9335 | 0.0882 | |
| Bi-objective optimization ( and ) | LINMAP | 13.9914 | 4.1703 | 0.7526 | 0.3156 | 0.8640 | 0.9591 | 0.2597 |
| TOPSIS | 13.9957 | 4.3475 | 0.7726 | 0.3131 | 0.8801 | 0.9700 | 0.2362 | |
| Shannon Entropy | 13.9998 | 5.6822 | 0.8797 | 0.2986 | 0.9555 | 1.0000 | 0.1254 | |
| Bi-objective optimization ( and ) | LINMAP | 14.0041 | 6.9814 | 0.9363 | 0.2893 | 0.9852 | 0.9874 | 0.0824 |
| TOPSIS | 14.0024 | 6.9264 | 0.9345 | 0.2896 | 0.9845 | 0.9883 | 0.0834 | |
| Shannon Entropy | 14.0000 | 5.6811 | 0.8796 | 0.2986 | 0.9554 | 1.0000 | 0.1254 | |
| Maximum of | —— | 13.9944 | 14.6054 | 1.0000 | 0.2746 | 0.9989 | 0.9141 | 0.1007 |
| Maximum of | —— | 14.0001 | 1.6955 | 0.3053 | 0.3511 | 0.3900 | 0.4638 | 0.9331 |
| Maximum of | —— | 13.9985 | 10.8103 | 0.9909 | 0.2774 | 1.0000 | 0.9335 | 0.0882 |
| Maximum of | —— | 14.0000 | 5.6811 | 0.8796 | 0.2986 | 0.9554 | 1.0000 | 0.1254 |
| Positive ideal point | —— | 1.0002 | 0.3511 | 1.0000 | 1.0000 | —— | ||
| Negative ideal point | —— | 0.3052 | 0.2745 | 0.3899 | 0.4637 | —— | ||
References
- Andresen, B. Finite-Time Thermodynamics; University of Copenhagen: Copenhagen, Denmark, 1983. [Google Scholar]
- Hoffmann, K.H.; Burzler, J.M.; Schubert, S. Endoreversible thermodynamics. J. Non-Equilib. Thermodyn. 1997, 22, 311–355. [Google Scholar]
- Chen, L.G.; Wu, C.; Sun, F.R. Finite time thermodynamic optimization or entropy generation minimization of energy systems. J. Non-Equilib. Thermodyn. 1999, 24, 327–359. [Google Scholar] [CrossRef]
- Andresen, B. Current trends in finite-time thermodynamics. Ange. Chem. Int. Edi. 2011, 50, 2690–2704. [Google Scholar] [CrossRef] [PubMed]
- Sieniutycz, S. Complexity and Complex Chemo-Electric Systems; Elsevier: Amsterdam, The Netherlands, 2021. [Google Scholar]
- Berry, R.S.; Salamon, P.; Andresen, B. How it all began. Entropy 2020, 22, 908. [Google Scholar] [CrossRef] [PubMed]
- Levario-Medina, S.; Valencia-Ortega, G.; Barranco-Jimenez, M.A. Energetic optimization considering a generalization of the ecological criterion in traditional simple-cycle and combined cycle power plants. J. Non-Equilib. Thermodyn. 2020, 45, 269–290. [Google Scholar] [CrossRef]
- Smith, Z.; Pal, P.S.; Deffner, S. Endoreversible Otto engines at maximal power. J. Non-Equilib. Thermodyn. 2020, 45, 305–310. [Google Scholar] [CrossRef]
- Chen, L.G.; Ge, Y.L.; Liu, C.; Feng, H.J.; Lorenzini, G. Performance of universal reciprocating heat-engine cycle with variable specific heats ratio of working fluid. Entropy 2020, 22, 397. [Google Scholar] [CrossRef]
- Diskin, D.; Tartakovsky, L. Efficiency at maximum power of the low-dissipation hybrid electrochemical–otto cycle. Energies 2020, 13, 3961. [Google Scholar] [CrossRef]
- Chen, L.G.; Tang, C.Q.; Feng, H.J.; Ge, Y.L. Power, efficiency, power density and ecological function optimizations for an irreversible modified closed variable-temperature reservoir regenerative Brayton cycle with one isothermal heating process. Energies 2020, 13, 5133. [Google Scholar] [CrossRef]
- Qiu, S.S.; Ding, Z.M.; Chen, L.G.; Ge, Y.L. Performance optimization of thermionic refrigerators based on van der Waals heterostructures. Sci. China Technol. Sci. 2021, 64, 1007–1016. [Google Scholar] [CrossRef]
- Badescu, V. Self-driven reverse thermal engines under monotonous and oscillatory optimal operation. J. Non-Equilib. Thermodyn. 2021, 46, 291–319. [Google Scholar] [CrossRef]
- Valencia-Ortega, G.; Levario-Medina, S.; Barranco-Jiménez, M.A. The role of internal irreversibilities in the performance and stability of power plant models working at maximum ϵ-ecological function. J. Non-Equilib. Thermodyn. 2021, 46, 413–429. [Google Scholar] [CrossRef]
- Wang, R.B.; Chen, L.G.; Ge, Y.L.; Feng, H.J. Optimizing power and thermal efficiency of an irreversible variable-temperature heat reservoir Lenoir cycle. Appl. Sci. 2021, 11, 7171. [Google Scholar] [CrossRef]
- Chen, Y.R. Maximum profit configurations of commercial engines. Entropy 2011, 13, 1137–1151. [Google Scholar] [CrossRef]
- Boikov, S.Y.; Andresen, B.; Akhremenkov, A.A.; Tsirlin, A.M. Evaluation of irreversibility and optimal organization of an integrated multi-stream heat exchange system. J. Non-Equilib. Thermodyn. 2020, 45, 155–171. [Google Scholar] [CrossRef]
- Masser, R.; Hoffmann, K.H. Optimal control for a hydraulic recuperation system using endoreversible thermodynamics. Appl. Sci. 2021, 11, 5001. [Google Scholar] [CrossRef]
- Paul, R.; Hoffmann, K.H. Cyclic control optimization algorithm for Stirling engines. Symmetry 2021, 13, 873. [Google Scholar] [CrossRef]
- Badescu, V. Maximum work rate extractable from energy fluxes. J. Non-Equilib. Thermodyn. 2022, 47, 77–93. [Google Scholar] [CrossRef]
- Paul, R.; Hoffmann, K.H. Optimizing the piston paths of Stirling cycle cryocoolers. J. Non-Equilib. Thermodyn. 2022, 47, 195–203. [Google Scholar] [CrossRef]
- Li, P.L.; Chen, L.G.; Xia, S.J.; Kong, R.; Ge, Y.L. Total entropy generation rate minimization configuration of a membrane reactor of methanol synthesis via carbon dioxide hydrogenation. Sci. China Technol. Sci. 2022, 65, 657–678. [Google Scholar] [CrossRef]
- Paul, R.; Khodja, A.; Fischer, A.; Masser, R.; Hoffmann, K.H. Power-optimal control of a Stirling engine’s frictional piston motion. Entropy 2022, 24, 362. [Google Scholar] [CrossRef] [PubMed]
- Fischer, A.; Khodja, A.; Paul, R.; Hoffmann, K.H. Heat-only-driven Vuilleumier refrigeration. Appl. Sci. 2022, 12, 1775. [Google Scholar] [CrossRef]
- Li, J.; Chen, L.G. Optimal configuration of finite source heat engine cycle for maximum output work with complex heat transfer law. J. Non-Equilib. Thermodyn. 2022, 47. [Google Scholar] [CrossRef]
- Kosloff, R. Quantum thermodynamics and open-systems modeling. J. Chem. Phys. 2019, 150, 204105. [Google Scholar] [CrossRef] [PubMed]
- Liu, X.W.; Chen, L.G.; Ge, Y.L.; Feng, H.J.; Wu, F.; Lorenzini, G. Exergy-based ecological optimization of an irreversible quantum Carnot heat pump with spin-1/2 systems. J. Non-Equilib. Thermodyn. 2021, 46, 61–76. [Google Scholar] [CrossRef]
- Qi, C.Z.; Ding, Z.M.; Chen, L.G.; Ge, Y.L.; Feng, H.J. Modelling of irreversible two-stage combined thermal Brownian refrigerators and their optimal performance. J. Non-Equilib. Thermodyn. 2021, 46, 175–189. [Google Scholar] [CrossRef]
- Ding, Z.M.; Ge, Y.L.; Chen, L.G.; Feng, H.J.; Xia, S.J. Optimal performance regions of Feynman’s ratchet engine with different optimization criteria. J. Non-Equilib. Thermodyn. 2020, 45, 191–207. [Google Scholar] [CrossRef]
- Qiu, S.S.; Ding, Z.M.; Chen, L.G.; Ge, Y.L. Performance optimization of three-terminal energy selective electron generators. Sci. China Technol. Sci. 2021, 64, 1641–1652. [Google Scholar] [CrossRef]
- Humphrey, T.E.; Newbury, R.; Taylor, R.P.; Linke, H. Reversible quantum Brownian heat engines for electrons. Phys. Rev. Lett. 2002, 89, 11680. [Google Scholar] [CrossRef]
- Humphrey, T.E. Mesoscopic Quantum Ratchets and the Thermodynamics of Energy Selective Electron Heat Engines. Ph.D. Thesis, University of New South Wales, Sydney, Australia, 2003. [Google Scholar]
- Ding, Z.M.; Chen, L.G.; Sun, F.R. Ecological optimization of energy selective electron (ESE) heat engine. Appl. Mat. Model. 2011, 35, 276–284. [Google Scholar] [CrossRef]
- Angulo-Brown, F. An ecological optimization criterion for finite-time heat engines. J. Appl. Phys. 1991, 69, 7465–7469. [Google Scholar] [CrossRef]
- Luo, X.G.; He, J.Z.; Li, C.; Qiu, T. The impact of energy spectrum width in the energy selective electron low-temperature thermionic heat engine at maximum power. Phys. Lett. A 2013, 377, 1566–1570. [Google Scholar] [CrossRef]
- Ding, Z.M.; Chen, L.G.; Sun, F.R. Performance characteristic of energy selective electron (ESE) heat engine with filter heat conduction. Int. J. Energy Environ. 2011, 2, 627–640. [Google Scholar]
- Ding, Z.M.; Chen, L.G.; Wang, W.H.; Ge, Y.L.; Sun, F.R. Exploring the operation of a microscopic energy selective electron engine. Phys. A 2015, 431, 94–108. [Google Scholar] [CrossRef]
- Ding, Z.M.; Chen, L.G.; Sun, F.R. Modeling and performance analysis of energy selective electron (ESE) engine with heat leakage and transmission probability. Sci. China Phys. Mech. Astron. 2011, 54, 1925–1936. [Google Scholar] [CrossRef]
- Zhou, J.L.; Chen, L.G.; Ding, Z.M.; Sun, F.R. Analysis and optimization with ecological objective function of irreversible single resonance energy selective electron heat engines. Energy 2016, 111, 306–312. [Google Scholar] [CrossRef]
- Yan, Z.J. η and P of a Carnot engine at maximum ηP. Chin. J. Nat. 1984, 7, 475. (In Chinese) [Google Scholar]
- Yilmaz, T. A new performance criterion for heat engines: Efficient power. J. Energy Inst. 2006, 79, 38–41. [Google Scholar] [CrossRef]
- Yilmaz, T.; Durmuolu, Y. Efficient power analysis for an irreversible Carnot heat engine. Int. J. Energy Res. 2008, 32, 623–628. [Google Scholar] [CrossRef]
- Patodi, K.; Maheshwari, G. Performance analysis of an Atkinson cycle with variable specific-heats of the working fluid under maximum efficient power conditions. Int. J. Low-Carbon Technol. 2013, 8, 289–294. [Google Scholar] [CrossRef]
- Singh, V.; Johal, R.S. Low-dissipation Carnot-like heat engines at maximum efficient power. Phys. Rev. E 2018, 98, 062132. [Google Scholar] [CrossRef]
- Nilavarasi, K.; Ponmurugan, M. Optimized efficiency at maximum figure of merit and efficient power of power law dissipative Carnot like heat engines. J. Stat. Mech. Theory Exp. 2021, 4, 043208. [Google Scholar] [CrossRef]
- Arora, R.; Kaushikb, S.C.; Arora, R. Multi-objective and multi-parameter optimization of two-stage thermoelectric generator in electrically series and parallel configurations through NSGA-II. Energy 2015, 91, 242–254. [Google Scholar] [CrossRef]
- Rostami, M.; Assareh, E.; Moltames, R.; Jafarinejad, T. Thermo-economic analysis and multi-objective optimization of a solar dish Stirling engine. Energy Sour. Part A 2021, 43, 2861–2877. [Google Scholar] [CrossRef]
- Shah, P.; Saliya, P.; Raja, B.; Patel, V. A multi-objective thermodynamic optimization of a nanoscale Stirling engine operated with Maxwell-Boltzmann gas. Heat Transfer—Asian Res. 2019, 48, 1913–1932. [Google Scholar] [CrossRef]
- Shi, S.S.; Ge, Y.L.; Chen, L.G.; Feng, H.J. Four-objective optimization of irreversible Atkinson cycle based on NSGA-II. Entropy 2020, 22, 1150. [Google Scholar] [CrossRef]
- Shi, S.S.; Chen, L.G.; Ge, Y.L.; Feng, H.J. Performance optimizations with single-, bi-, tri- and quadru-objective for irreversible Diesel cycle. Entropy 2021, 23, 826. [Google Scholar] [CrossRef]
- Baghernejad, A.; Anvari-Moghaddam, A. Exergoeconomic and environmental analysis and multi-objective optimization of a new regenerative gas turbine combined cycle. Appl. Sci. 2021, 11, 11554. [Google Scholar] [CrossRef]
- Teng, S.Y.; Feng, Y.Q.; Hung, T.C.; Xi, H. Multi-objective optimization and fluid selection of different cogeneration of heat and power systems based on organic Rankine cycle. Energies 2021, 14, 4967. [Google Scholar] [CrossRef]
- Ge, Y.L.; Shi, S.S.; Chen, L.G.; Zhang, D.F.; Feng, H.J. Power density analysis and multi-objective optimization for an irreversible Dual cycle. J. Non-Equilib. Thermodyn. 2022, 47, 289–309. [Google Scholar] [CrossRef]
- Zang, P.C.; Ge, Y.L.; Chen, L.G.; Gong, Q.R. Power density characteristic analysis and multi-objective optimization of an irreversible porous medium engine cycle. Case Stud. Therm. Eng. 2022, 35, 102154. [Google Scholar] [CrossRef]
- Zang, P.C.; Chen, L.G.; Ge, Y.L.; Shi, S.S.; Feng, H.J. Four-objective optimization for an irreversible Porous Medium cycle with linear variation of working fluid’s specific heat. Entropy 2022, 24, 1074. [Google Scholar] [CrossRef]
- Wu, Q.K.; Ge, Y.L.; Chen, L.G.; Shi, S.S. Multi-objective optimization of endoreversible magnetohydrodynamic cycle. Energy Rep. 2022, 8, 8918–8927. [Google Scholar] [CrossRef]
- Xie, T.C.; Xia, S.J.; Wang, C. Multi-objective optimization of Braun-type exothermic reactor for ammonia synthesis. Entropy 2022, 24, 52. [Google Scholar] [CrossRef]
- Chen, L.G.; Li, P.L.; Xia, S.J.; Kong, R.; Ge, Y.L. Multi-objective optimization of membrane reactor for steam methane reforming heated by molten salt. Sci. China Technol. Sci. 2022, 65, 1396–1414. [Google Scholar] [CrossRef]












Publisher’s Note: MDPI stays neutral with regard to jurisdictional claims in published maps and institutional affiliations. |
© 2022 by the authors. Licensee MDPI, Basel, Switzerland. This article is an open access article distributed under the terms and conditions of the Creative Commons Attribution (CC BY) license (https://creativecommons.org/licenses/by/4.0/).
Share and Cite
He, J.; Chen, L.; Ge, Y.; Shi, S.; Li, F. Multi-Objective Optimization of an Irreversible Single Resonance Energy-Selective Electron Heat Engine. Energies 2022, 15, 5864. https://doi.org/10.3390/en15165864
He J, Chen L, Ge Y, Shi S, Li F. Multi-Objective Optimization of an Irreversible Single Resonance Energy-Selective Electron Heat Engine. Energies. 2022; 15(16):5864. https://doi.org/10.3390/en15165864
Chicago/Turabian StyleHe, Jinhu, Lingen Chen, Yanlin Ge, Shuangshuang Shi, and Fang Li. 2022. "Multi-Objective Optimization of an Irreversible Single Resonance Energy-Selective Electron Heat Engine" Energies 15, no. 16: 5864. https://doi.org/10.3390/en15165864
APA StyleHe, J., Chen, L., Ge, Y., Shi, S., & Li, F. (2022). Multi-Objective Optimization of an Irreversible Single Resonance Energy-Selective Electron Heat Engine. Energies, 15(16), 5864. https://doi.org/10.3390/en15165864

