Charging and Discharging Current Characteristics of Polypropylene Film under Varied Electric Fields
Abstract
:1. Introduction
2. Materials and Methods
2.1. Materials
2.2. Charging and Discharging Current Test
3. Results and Discussion
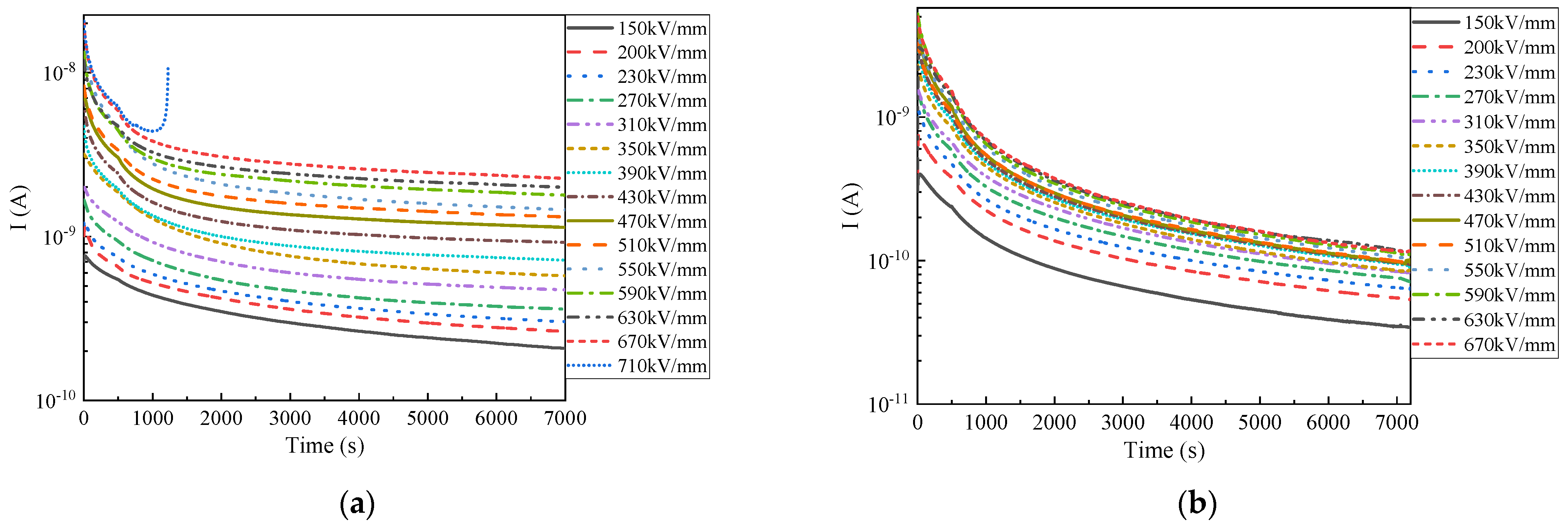
3.1. Time and Electric Field Dependence of Charging Current and Discharging Current
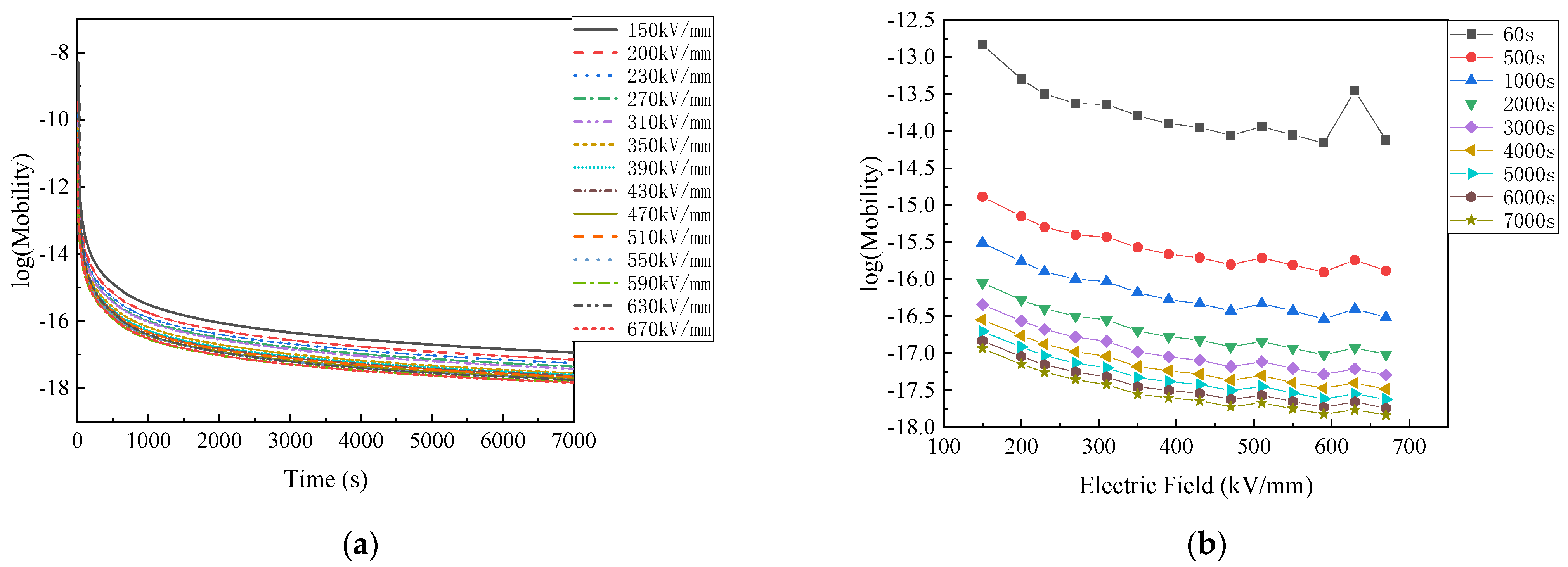
3.2. Time and Electric Field Dependence of Carrier Mobility
3.3. Time and Electric Field Dependence of Charge Accumulation
4. Conclusions
- (1)
- The transient and steady current values of the charging and discharging process increase with increase of electric field.
- (2)
- Dependence of the charging current on the electric field conforms well to the space charge limited current (SCLC) theory with a transition electric field of 270 kV/mm, at which the charge transport changes from ohmic conduction to SCLC conduction.
- (3)
- The carrier mobility becomes significantly smaller with increase of the charging electric field, due to the fact that many more charges are restricted in the deep traps.
- (4)
- The charge accumulation increases with the electric field and increases sharply above the transition electric field, which is in good agreement with SCLC theory.
- (5)
- The conduction current and charge accumulation evolution and dependence on the electric field are mainly determined by the balance between the electrode charge injection process and the bulk conduction process.
Author Contributions
Funding
Conflicts of Interest
References
- Ishida, T.; Nakata, M.; Ishiwata, T.; Kakehi, A.; Matsuo, Y.; Yoda, M. Biaxially Stretched Polypropylene Film for Capacitors. Japan Patent JP2015201616A, 20 March 2019. [Google Scholar]
- Kahouli, A.; Gallotlavallée, O.; Rain, P.; Lesaint, O.; Guillermin, C.; Lupin, J.M. Relationship Between Structure and Dielectric Properties of Bi-oriented Isotactic Polypropylene Films for Capacitors. In Proceedings of the IEEE International Conference on Solid Dielectrics, Bologna, Italy, 30 June–4 July 2013. [Google Scholar]
- Yagitani, T.; Ebisu, O. Metallized Polypropylene Film Capacitor. 1982. Available online: https://eu.mouser.com/c/passive-components/capacitors/film-capacitors/?type=Metallized%20Polypropylene (accessed on 30 May 2022).
- Li, Z.; Hua, L.; Lin, F.; Chen, Y.; Liu, D.; Wang, B.; Li, H.; Zhang, Q. Lifetime investigation and prediction of metallized polypropylene film capacitors. Microelectron. Reliab. 2013, 53, 1962–1967. [Google Scholar] [CrossRef]
- Ran, Z.Y.; Du, B.X.; Xiao, M.; Liu, H.L.; Xing, J.W. Effect of Crystallization Regulation on the Breakdown Strength of Metallized Polypropylene Film Capacitors. IEEE Trans. Dielectr. Electr. Insul. 2021, 28, 175–182. [Google Scholar] [CrossRef]
- Mizutani, T.; Nakane, E.; Kaneko, K.; Ishioka, M.; Takino, H. Space Charge and charge Transport in Polypropylene. In Proceedings of the International Symposium on Electrets, Salvador, Brazil, 11–14 September 2005. [Google Scholar]
- Cai, S.R.; Gao, Z.W.; Ji, M.Z.; Yao, J.C.; Li, P.X.; Min, D.M.; Li, S.T.; Wu, Q.Z. Simulation of Carrier Transport and Energy Accumulation Modulated DC Breakdown Weibull Distribution in Polypropylene. J. Electr. Eng. 2021, 16, 50–59. [Google Scholar]
- Nagao, M.; Kosaki, M.; Hase, Y. High Field Conduction and space Charge Formation in polypropylene Film. In Proceedings of the Conference on Electrical Insulation and Dielectric Phenomena, Ottawa, Canada, 16–20 October 1988. [Google Scholar]
- Mittal, A.; Jain, V.; Mittal, J. Transient charging and discharging current studies on unstretched and stretched polypropylene films. J. Mater. Sci. Lett. 2001, 20, 681–685. [Google Scholar] [CrossRef]
- Liu, Y.; Dong, X.; Gao, Q.; Du, B.X. Influence of Polarization and Non-Uniform Electric Field on Failure Characteristics of Polypropylene Film. IEEE Access 2020, 8, 74423–74431. [Google Scholar] [CrossRef]
- Gao, Q.; Liu, Y.; Gao, Y.; Du, B.X.; Ye, K. Effects of Charging/Discharging Cycles on Breakdown Characteristics of Polypropylene Film. In Proceedings of the 2018 IEEE 2nd International Conference on Dielectrics (ICD), Budapest, Hungary, 1–5 July 2018. [Google Scholar]
- Moudoud, M.; Megherbi, M.; Mekious, M.; Lamrous, O. Thermal aging Effect on Charging and Discharging Currents in Polymers under DC Stress. In Proceedings of the Conference Record of the IEEE International Symposium on Electrical Insulation, Vancouver, Canada, 9–12 June 2008. [Google Scholar]
- Preda, I.; Castellon, J.; Agnel, S.; Notingher, P.; Frechette, M.; Heid, T.; Couderc, H.; Freebody, N.; Vaughan, A.S. Conduction currents and time to frequency domain transformation for epoxy resin nanocomposites. Proc. Natl. Acad. Sci. USA 2013, 60, 1060–1063. [Google Scholar]
- Singh, R.; Datt, S.C. Absorption and thermally Stimulated Depolarization Currents in Polypropylene. In Proceedings of the International Symposium on Electrets, Heidelberg, Germany, 4–6 September 1985. [Google Scholar]
- Lowell, J. Absorption and conduction currents in polymers: A unified model. J. Phys. D Appl. Phys. 1990, 23, 205. [Google Scholar] [CrossRef]
- Bhutta, M.S.; Akram, S.; Meng, P.; Castellon, J.; Nazir, M.T. Steady-State Conduction Current Performance for Multilayer Polyimide/SiO2 Films. Polymers 2021, 13, 640. [Google Scholar] [CrossRef] [PubMed]
- Dissado, L.A.; Laurent, C.; Montanari, G.C. Demonstrating a Threshold for Trapped Space Charge Accumulation in Solid Dielectrics under dc Field. IEEE Trans. Dielectr. Electr. Insul. 2005, 12, 612–620. [Google Scholar] [CrossRef]
- Alison, J.M.; Mazzanti, G.; Montanari, G.C.; Palmieri, F. Mobility Estimation in polymeric Insulation Through Space Charge profiles Derived by PEA Measurements. In Proceedings of the Conference on Electrical Insulation and Dielectric Phenomena, Cancun, Mexico, 20–24 October 2002. [Google Scholar]
- Montanari, G.C. Dielectric material properties investigated through space charge measurements. IEEE Trans. Dielectr. Electr. Insul. 2004, 11, 56–64. [Google Scholar] [CrossRef]
- Montanari, G.C.; Ghinello, I.; Peruzzotti, F.; Albertini, M. Behavior of Voltage-Current Characteristics and Threshold Indications for XLPE-Based Materials. In Annual Report Conference on Electrical Insulation and Dielectric Phenomena; IEEE: New York, NY, USA, 1998. [Google Scholar]
- Boggs, S. Very High Field Phenomena in Dielectrics. IEEE Trans. Dielectr. Electr. Insul. 2005, 12, 929–938. [Google Scholar] [CrossRef]






Publisher’s Note: MDPI stays neutral with regard to jurisdictional claims in published maps and institutional affiliations. |
© 2022 by the authors. Licensee MDPI, Basel, Switzerland. This article is an open access article distributed under the terms and conditions of the Creative Commons Attribution (CC BY) license (https://creativecommons.org/licenses/by/4.0/).
Share and Cite
Xing, Z.; Tian, F.; Guo, S.; Zhang, S.; Li, F.; Liang, J.; Cui, H.; Dai, X. Charging and Discharging Current Characteristics of Polypropylene Film under Varied Electric Fields. Energies 2022, 15, 5107. https://doi.org/10.3390/en15145107
Xing Z, Tian F, Guo S, Zhang S, Li F, Liang J, Cui H, Dai X. Charging and Discharging Current Characteristics of Polypropylene Film under Varied Electric Fields. Energies. 2022; 15(14):5107. https://doi.org/10.3390/en15145107
Chicago/Turabian StyleXing, Zhaoliang, Fuqiang Tian, Shaowei Guo, Shuting Zhang, Fei Li, Jieyi Liang, Huize Cui, and Xiying Dai. 2022. "Charging and Discharging Current Characteristics of Polypropylene Film under Varied Electric Fields" Energies 15, no. 14: 5107. https://doi.org/10.3390/en15145107
APA StyleXing, Z., Tian, F., Guo, S., Zhang, S., Li, F., Liang, J., Cui, H., & Dai, X. (2022). Charging and Discharging Current Characteristics of Polypropylene Film under Varied Electric Fields. Energies, 15(14), 5107. https://doi.org/10.3390/en15145107

