Heat and Mass Transfer of Micropolar-Casson Nanofluid over Vertical Variable Stretching Riga Sheet
Abstract
1. Introduction
2. Flow Formulation
3. Numerical Solution
4. Results and Discussion
5. Final Remarks
- The increment of the Casson fluid parameter ( declined with the fluid velocity; thus, thickness is reduced due to the increment of the Casson fluid parameter (;
- Fluid velocity distribution curves show increasing behavior due to increments of the micropolar parameter ;
- The reduction in curves of fluid velocity distribution is revealed due to the increment in velocity slip ;
- The curves of temperature distribution () show declining behavior due to enhancement in Brownian motion ();
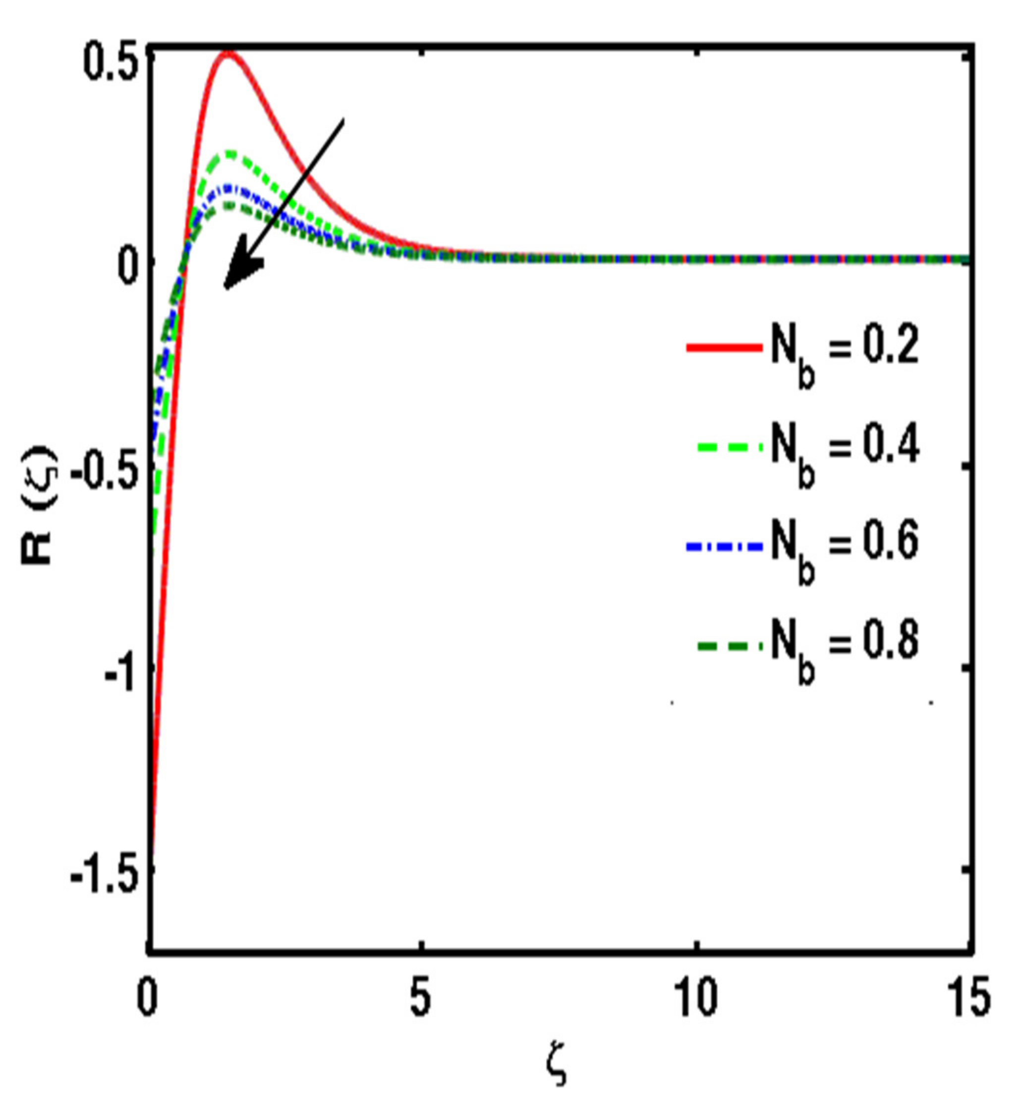
- Increments in Brownian motion () led to declining curves of concentration distribution (); increased curves of concentration distribution () were found after the point of intersection;
- The curves of temperature distribution () show declining behavior due to an enhancement in Brownian motion ();
- Brownian motion () and the magnitude of the Sherwood number have opposite performances; Nusselt number and Brownian motion () also have opposite performance in cases of both weak () and strong () concentration. The Sherwood number and Nusselt number achieved higher values in cases of strong () concentration;
- Thermophoresis () and the magnitude of the Sherwood number show similar behavior; Nusselt number and thermophoresis () have opposite performances in cases of both weak () and strong () concentration. The Sherwood number and Nusselt number showed higher values in cases of strong () concentration when compared to cases of weak () concentration.
Author Contributions
Funding
Institutional Review Board Statement
Informed Consent Statement
Data Availability Statement
Acknowledgments
Conflicts of Interest
Nomenclature
| Casson fluid parameter | |
| Dimensionless parameter | |
| Buoyancy force parameters | |
| Micropolar parameter | |
| Modified Hartman number | |
| Velocity slip | |
| Brownian motion | |
| Thermophoresis | |
| Skin friction | |
| Nusselt number | |
| Velocity components | |
| Schimdt number | |
| Thermal slip | |
| Ambient concentration | |
| Ambient temperature | |
| Wall temperature | |
| Concentration distribution | |
| Temperature distribution | |
| Velocity distribution | |
| Sherwood number | |
| Micropolar distribution | |
| Wall concentration |
References
- Eringen, A.C. Theory of micropolar fluids. J. Math. Mech. 1966, 16, 1–18. [Google Scholar] [CrossRef]
- Eringen, A.C. Theory of thermomicrofluids. J. Math. Anal. Appl. 1972, 38, 480–496. [Google Scholar] [CrossRef]
- Ariman TT, N.D.; Turk, M.A.; Sylvester, N.D. Applications of microcontinuum fluid mechanics. Int. J. Eng. Sci. 1974, 12, 273–293. [Google Scholar] [CrossRef]
- Lukaszewicz, G. Micropolar Fluids: Theory and Applications; Springer Science & Business Media: Berlin/Heidelberg, Germany, 1999. [Google Scholar]
- Eringen, A.C. Microcontinuum Field Theories: II. Fluent Media; Springer Science & Business Media: Berlin/Heidelberg, Germany, 2001; Volume 2. [Google Scholar]
- Ahmadi, G. Self-similar solution of imcompressible micropolar boundary layer flow over a semi-infinite plate. Int. J. Eng. Sci. 1976, 14, 639–646. [Google Scholar] [CrossRef]
- Jena, S.K.; Mathur, M.N. Similarity solutions for laminar free convection flow of a thermomicropolar fluid past a non-isothermal vertical flat plate. Int. J. Eng. Sci. 1981, 19, 1431–1439. [Google Scholar] [CrossRef]
- Gorla RS, R.; Lin, P.P.; An-Jen, Y. Asymptotic boundary layer solutions for mixed convection from a vertical surface in a micropolar fluid. Int. J. Eng. Sci. 1990, 28, 525–533. [Google Scholar] [CrossRef][Green Version]
- Bhargava, R.; Kumar, L.; Takhar, H.S. Finite element solution of mixed convection micropolar flow driven by a porous stretching sheet. Int. J. Eng. Sci. 2003, 41, 2161–2178. [Google Scholar] [CrossRef]
- Hayat, T.; Nawaz, M.; Obaidat, S. Axisymmetric magnetohydrodynamic flow of micropolar fluid between unsteady stretching surfaces. Appl. Math. Mech. 2011, 32, 361–374. [Google Scholar] [CrossRef]
- Ahmad, K.; Ishak, A.; Nazar, R. Micropolar fluid flow and heat transfer over a nonlinearly stretching plate with viscous dissipation. Math. Probl. Eng. 2013, 2013, 257161. [Google Scholar] [CrossRef]
- Reddy, G.J.; Kethireddy, B.; Umavathi, J.C.; Sheremet, M.A. Heat flow visualization for unsteady Casson fluid past a vertical slender hollow cylinder. Therm. Sci. Eng. Prog. 2018, 5, 172–181. [Google Scholar] [CrossRef]
- Lund, L.A.; Omar, Z.; Khan, I. Mathematical analysis of magnetohydrodynamic (MHD) flow of micropolar nanofluid under buoyancy effects past a vertical shrinking surface: Dual solutions. Heliyon 2019, 5, e02432. [Google Scholar] [CrossRef]
- Dawar, A.; Shah, Z.; Tassaddiq, A.; Islam, S.; Kumam, P. Joule heating in magnetohydrodynamic micropolar boundary layer flow past a stretching sheet with chemical reaction and microstructural slip. Case Stud. Therm. Eng. 2021, 25, 100870. [Google Scholar] [CrossRef]
- Singh, K.; Pandey, A.K.; Kumar, M. Numerical solution of micropolar fluid flow via stretchable surface with chemical reaction and melting heat transfer using Keller-Box method. Propuls. Power Res. 2021, 10, 194–207. [Google Scholar] [CrossRef]
- Muhammad, N.; Zaman, F.D.; Mustafa, M.T. OpenFOAM for computational combustion dynamics. Eur. Phys. J. Spec. Top. 2022, 1–15. [Google Scholar] [CrossRef]
- Muhammad, N.; Nadeem, S.; Khan, U.; Sherif ES, M.; Issakhov, A. Insight into the significance of Richardson number on two-phase flow of ethylene glycol-silver nanofluid due to Cattaneo-Christov heat flux. Waves Random Complex Media 2021, 1–19. [Google Scholar] [CrossRef]
- Fuzhang, W.; Ali, S.; Nadeem, S.; Muhammad, N.; Nofal, T.A. Numerical analysis for the effects of heat transfer in modified square duct with heated obstacle inside it. Int. Commun. Heat Mass Transf. 2021, 129, 105666. [Google Scholar] [CrossRef]
- Crane, L.J. Flow past a stretching plate. Z. Angew. Math. Phys. ZAMP 1970, 21, 645–647. [Google Scholar] [CrossRef]
- Dandapat, B.S.; Gupta, A.S. Flow and heat transfer in a viscoelastic fluid over a stretching sheet. Int. J. Non-Linear Mech. 1989, 24, 215–219. [Google Scholar] [CrossRef]
- Andersson, H.I.; Hansen, O.R.; Holmedal, B. Diffusion of a chemically reactive species from a stretching sheet. Int. J. Heat Mass Transf. 1994, 37, 659–664. [Google Scholar] [CrossRef]
- Nadeem, S.; Rehman, A.; Lee, C.; Lee, J. Boundary layer flow of second grade fluid in a cylinder with heat transfer. Math. Probl. Eng. 2012, 2012, 13. [Google Scholar] [CrossRef]
- Majeed, A.; Zeeshan, A.; Alamri, S.Z.; Ellahi, R. Heat transfer analysis in ferromagnetic viscoelastic fluid flow over a stretching sheet with suction. Neural Comput. Appl. 2018, 30, 1947–1955. [Google Scholar] [CrossRef]
- Pal, D.; Das, B.C. Soret-Dufour magneto-thermal radiative convective heat and mass transfer of chemically and thermally stratified micropolar fluid over a vertical stretching/shrinking surface in a porous medium. Int. J. Comput. Methods Eng. Sci. Mech. 2021, 22, 410–424. [Google Scholar] [CrossRef]
- Muhammad, N.; Nadeem, S.; Issakhov, A. Finite volume method for mixed convection flow of Ag–ethylene glycol nanofluid flow in a cavity having thin central heater. Phys. A Stat. Mech. Its Appl. 2020, 537, 122738. [Google Scholar] [CrossRef]
- Nadeem, S.; Ahmad, S.; Muhammad, N. Analysis of ferrite nanoparticles in liquid. Pramana 2020, 94, 1–9. [Google Scholar] [CrossRef]
- Megahed, A.M.; Reddy, M.G.; Abbas, W. Modeling of MHD fluid flow over an unsteady stretching sheet with thermal radiation, variable fluid properties and heat flux. Math. Comput. Simul. 2021, 185, 583–593. [Google Scholar] [CrossRef]
- Afsar Khan, A.; Batool, R.; Kousar, N. Examining the behavior of MHD micropolar fluid over curved stretching surface based on the modified Fourier law. Sci. Iran. 2021, 28, 223–230. [Google Scholar]
- Muhammad, N.; Ullah, N. Simulation of flow on the hydroelectric power dam spillway via OpenFOAM. Eur. Phys. J. Plus 2021, 136, 1191. [Google Scholar] [CrossRef]
- Muhammad, N. Finite volume method for simulation of flowing fluid via OpenFOAM. Eur. Phys. J. Plus 2021, 136, 1010. [Google Scholar] [CrossRef]
- Tahir, H.; Khan, U.; Din, A.; Chu, Y.M.; Muhammad, N. Heat transfer in a ferromagnetic chemically reactive species. J. Thermophys. Heat Transf. 2021, 35, 402–410. [Google Scholar] [CrossRef]
- Abbas, N.; Rehman, K.U.; Shatanawi, W.; Malik, M.Y. Numerical study of heat transfer in hybrid nanofluid flow over permeable nonlinear stretching curved surface with thermal slip. Int. Commun. Heat Mass Transf. 2022, 135, 106107. [Google Scholar] [CrossRef]
- Peddieson, J., Jr. An application of the micropolar fluid model to the calculation of a turbulent shear flow. Int. J. Eng. Sci. 1972, 10, 23–32. [Google Scholar] [CrossRef]
- Khan, W.A.; Pop, I. Boundary-layer flow of a nanofluid past a stretching sheet. Int. J. Heat Mass Transf. 2010, 53, 2477–2483. [Google Scholar] [CrossRef]
- Wang, C.Y. Free convection on a vertical stretching surface. ZAMM-J. Appl. Math. Mech. Z. Angew. Math. Mech. 1989, 69, 418–420. [Google Scholar] [CrossRef]
- Reddy Gorla, R.S.; Sidawi, I. Free convection on a vertical stretching surface with suction and blowing. Appl. Sci. Res. 1994, 52, 247–257. [Google Scholar] [CrossRef]
















| Physical Parameters | ||||||||
|---|---|---|---|---|---|---|---|---|
| 0.2 | 0.3 | 0.4 | 0.5 | 0.6 | 0.4 | 0.2 | −1.673226 | −1.725221 |
| 0.4 | - | - | - | - | - | - | −1.214027 | −1.270021 |
| 0.6 | - | - | - | - | - | - | −1.037617 | −1.095173 |
| 0.8 | - | - | - | - | - | - | −0.9431868 | −1.001566 |
| 0.4 | 0.1 | - | - | - | - | - | −1.022292 | −1.069329 |
| - | 0.3 | - | - | - | - | - | −1.214027 | −1.270021 |
| - | 0.5 | - | - | - | - | - | −1.315013 | −1.375856 |
| - | 0.7 | - | - | - | - | - | −1.375353 | −1.439143 |
| - | 0.3 | 0.0 | - | - | - | - | −1.310721 | −1.371746 |
| - | - | 0.2 | - | - | - | - | −1.262185 | −1.320671 |
| - | - | 0.4 | - | - | - | - | −1.214027 | −1.270021 |
| - | - | 0.6 | - | - | - | - | −1.166235 | −1.219783 |
| - | - | 0.4 | 0.0 | - | - | - | −1.200159 | −1.255625 |
| - | - | - | 0.5 | - | - | - | −1.214027 | −1.270021 |
| - | - | - | 1.0 | - | - | - | −1.229498 | −1.28614 |
| - | - | - | 1.5 | - | - | - | −1.241787 | −1.303813 |
| - | - | - | 0.5 | 0.0 | - | - | −1.103828 | −1.103828 |
| - | - | - | - | 0.3 | - | - | −1.162278 | −1.189609 |
| - | - | - | - | 0.6 | - | - | −1.214027 | −1.270021 |
| - | - | - | - | 0.9 | - | - | −1.262202 | −1.34753 |
| - | - | - | - | 0.6 | 0.0 | - | −1.649318 | −1.726431 |
| - | - | - | - | - | 0.2 | - | −1.426766 | −1.492998 |
| - | - | - | - | - | 0.4 | - | −1.214027 | −1.270021 |
| - | - | - | - | - | 0.6 | - | −1.008469 | −1.054712 |
| - | - | - | - | - | 0.4 | 0.0 | −1.397646 | −1.472076 |
| - | - | - | - | - | - | 0.2 | −1.214027 | −1.270021 |
| - | - | - | - | - | - | 0.4 | −1.075704 | −1.119696 |
| - | - | - | - | - | - | 0.6 | −0.9672141 | −1.002867 |
| Physical Parameters | |||||||||
|---|---|---|---|---|---|---|---|---|---|
| 0.2 | 0.4 | 0.5 | 0.5 | 0.4 | 0.6 | 0.7248814 | −1.449763 | 0.7232926 | −1.446585 |
| 0.4 | - | - | - | - | - | 0.724467 | −0.724467 | 0.7228847 | −0.7228847 |
| 0.6 | - | - | - | - | - | 0.7243141 | −0.4828761 | 0.7227331 | −0.4818221 |
| 0.8 | - | - | - | - | - | 0.7242348 | −0.3621174 | 0.7226542 | −0.3613271 |
| 0.4 | 0.2 | - | - | - | - | 0.7282771 | −0.3641386 | 0.726704 | −0.363352 |
| - | 0.4 | - | - | - | - | 0.724467 | −0.724467 | 0.7228847 | −0.7228847 |
| - | 0.6 | - | - | - | - | 0.7205841 | −1.080876 | 0.7189916 | −1.078487 |
| - | 0.8 | - | - | - | - | 0.716627 | −1.433254 | 0.7150231 | −1.430046 |
| - | 0.4 | 0.0 | - | - | - | 0.7290085 | −0.7290085 | 0.727124 | −0.727124 |
| - | - | 0.5 | - | - | - | 0.724467 | −0.724467 | 0.7228847 | −0.7228847 |
| - | - | 1.0 | - | - | - | 0.7177105 | −0.7177105 | 0.7161199 | −0.7161199 |
| - | - | 1.5 | - | - | - | 0.7119261 | −0.7119261 | 0.7103585 | −0.7103585 |
| - | - | 0.5 | 0.1 | - | - | 1.015862 | −1.015862 | 1.012863 | −1.012863 |
| - | - | - | 0.3 | - | - | 0.8460207 | −0.8460207 | 0.8438948 | −0.8438948 |
| - | - | - | 0.5 | - | - | 0.724467 | −0.724467 | 0.7228847 | −0.7228847 |
| - | - | - | 0.7 | - | - | 0.6332804 | −0.6332804 | 0.6320583 | −0.6320583 |
| - | - | - | 0.5 | 0.2 | - | 0.7308407 | −0.7308407 | 0.7299368 | −0.7299368 |
| - | - | - | - | 0.4 | - | 0.724467 | −0.724467 | 0.7228847 | −0.7228847 |
| - | - | - | - | 0.6 | - | 0.7212873 | −0.7212873 | 0.7192414 | −0.7192414 |
| - | - | - | - | 0.8 | - | 0.7193347 | −0.7193347 | 0.7169546 | −0.7169546 |
| - | - | - | - | 0.4 | 0.0 | 0.7219191 | −0.7219191 | 0.7219191 | −0.7219191 |
| - | - | - | - | - | 0.3 | 0.7232098 | −0.7232098 | 0.7223637 | −0.7223637 |
| - | - | - | - | - | 0.6 | 0.724467 | −0.724467 | 0.7228847 | −0.7228847 |
| - | - | - | - | - | 0.9 | 0.7256365 | −0.7256365 | 0.7234127 | −0.7234127 |
| bvp4c Method | ND-Solve Method | ||||
|---|---|---|---|---|---|
| Physical Parameters | |||||
| 0.2 | 0.3 | −1.673226 | −1.725221 | −1.664712 | −1.7246872 |
| 0.4 | - | −1.214027 | −1.270021 | −1.205987 | −1.2687431 |
| 0.6 | - | −1.037617 | −1.095173 | −1.0368794 | −1.0946261 |
| 0.8 | - | −0.9431868 | −1.001566 | −0.924786 | −1.0014782 |
| 0.4 | 0.1 | −1.022292 | −1.069329 | −1.021578 | −1.068673 |
| - | 0.3 | −1.214027 | −1.270021 | −1.208762 | −1.270011 |
| - | 0.5 | −1.315013 | −1.375856 | −1.308763 | −1.375632 |
| - | 0.7 | −1.375353 | −1.439143 | −1.368974 | −1.375632 |
| Khan and Pop [34] | Wang [35] | Gorla and Sidawi [36] | Present Analysis | |
| 0.70 | 0.45390 | 0.45390 | 0.53490 | 0.4538741 |
| 2.00 | 0.91130 | 0.91140 | 0.91140 | 0.9113825 |
| 7.00 | 1.89540 | 1.89540 | 1.89050 | 1.89538941 |
| 20.00 | 3.35390 | 3.35390 | 3.35390 | 3.3537654 |
| 70.00 | 6.46210 | 6.46220 | 6.46220 | 6.4621698 |
Publisher’s Note: MDPI stays neutral with regard to jurisdictional claims in published maps and institutional affiliations. |
© 2022 by the authors. Licensee MDPI, Basel, Switzerland. This article is an open access article distributed under the terms and conditions of the Creative Commons Attribution (CC BY) license (https://creativecommons.org/licenses/by/4.0/).
Share and Cite
Abbas, N.; Shatanawi, W. Heat and Mass Transfer of Micropolar-Casson Nanofluid over Vertical Variable Stretching Riga Sheet. Energies 2022, 15, 4945. https://doi.org/10.3390/en15144945
Abbas N, Shatanawi W. Heat and Mass Transfer of Micropolar-Casson Nanofluid over Vertical Variable Stretching Riga Sheet. Energies. 2022; 15(14):4945. https://doi.org/10.3390/en15144945
Chicago/Turabian StyleAbbas, Nadeem, and Wasfi Shatanawi. 2022. "Heat and Mass Transfer of Micropolar-Casson Nanofluid over Vertical Variable Stretching Riga Sheet" Energies 15, no. 14: 4945. https://doi.org/10.3390/en15144945
APA StyleAbbas, N., & Shatanawi, W. (2022). Heat and Mass Transfer of Micropolar-Casson Nanofluid over Vertical Variable Stretching Riga Sheet. Energies, 15(14), 4945. https://doi.org/10.3390/en15144945

