Effect of Color Temperature and Illuminance on Psychology, Physiology, and Productivity: An Experimental Study
Abstract
:1. Introduction
1.1. Background and Literature Review
1.2. Aims and Originality
- It was the first lighting experiment in Taiwan to explore the local effects of CCT and illuminance on human psychology, physiology, work productivity, and energy-saving;
- This study developed the experimental lighting strategies based on the level of 150 EML in the WELL standard;
- Three new lighting control schedules were proposed for the public based on the experimental results.
2. Methodology
2.1. Overview
2.2. Field Study
2.3. Experimental Procedures
2.4. Subjective Psychological Evaluation
- Self-evaluative work performance: The assessment of self-evaluative work performance caused by different lighting environments included “suitable or unsuitable” for the current lighting environment, “easy or difficult” for the lighting environment to effectively focus, and “bad or good” for the self-assessment of work performance;
- Mental state: KSS was used to evaluate whether the subjects’ lighting environment caused drowsiness to indicate whether they were in a good mental state [65]. KSS is often used as a sleepiness assessment tool in lighting and human response experiments. The scale has nine levels: “1” for extreme wakefulness; “5” for neither sleepy nor wakeful; and “9” for extreme sleepiness;
- Luminance of light environment: For the luminance of the light environment, it has desktop luminance perception “dark or bright”, screen luminance perception “dark or bright”, glare level “serious or unserious”, and overall luminance distribution “even or uneven;”
- Light environment sensation: The light source was divided into luminance and CCT to evaluate the satisfaction and acceptance of subjects, including the evaluation of lighting environment “satisfaction or dissatisfaction”, light luminance “satisfaction or dissatisfaction”, light CCT “acceptance or unacceptance”, and light luminance “acceptance or unacceptance;”
- Emotional impact: The psychological feelings of the subjects in different lighting situations included the influence degree of the current lighting environment on mood “affected or unaffected” and the feeling “relaxed or nervous” and “comfortable or uncomfortable” in the current lighting environment;
- Light CCT: The subjects’ perception of light color in different lighting environments was evaluated, and the subjects were asked what light color they thought was “cool or warm;”
- Overall comfort: The comfort of the subjects was evaluated, including the thermal environment and overall environment. The subjects were asked to fill out the comfort level with seven levels to feel “comfortable or uncomfortable”.
2.5. Work Productivity Evaluation
2.6. Physiological Changes Evaluation
3. Results
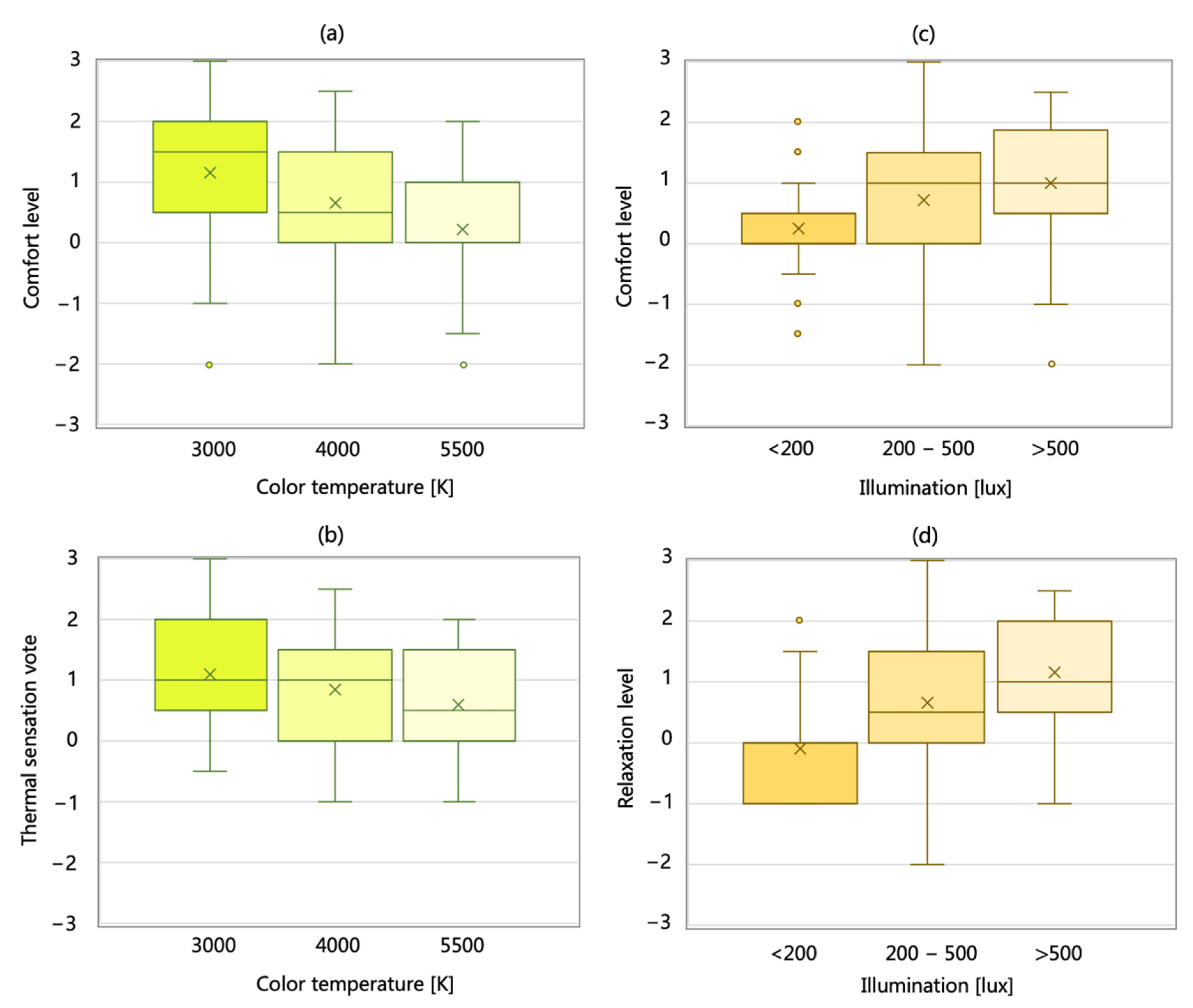
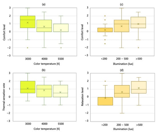
3.1. Influence of Lighting on Subjective Psychological Evaluation
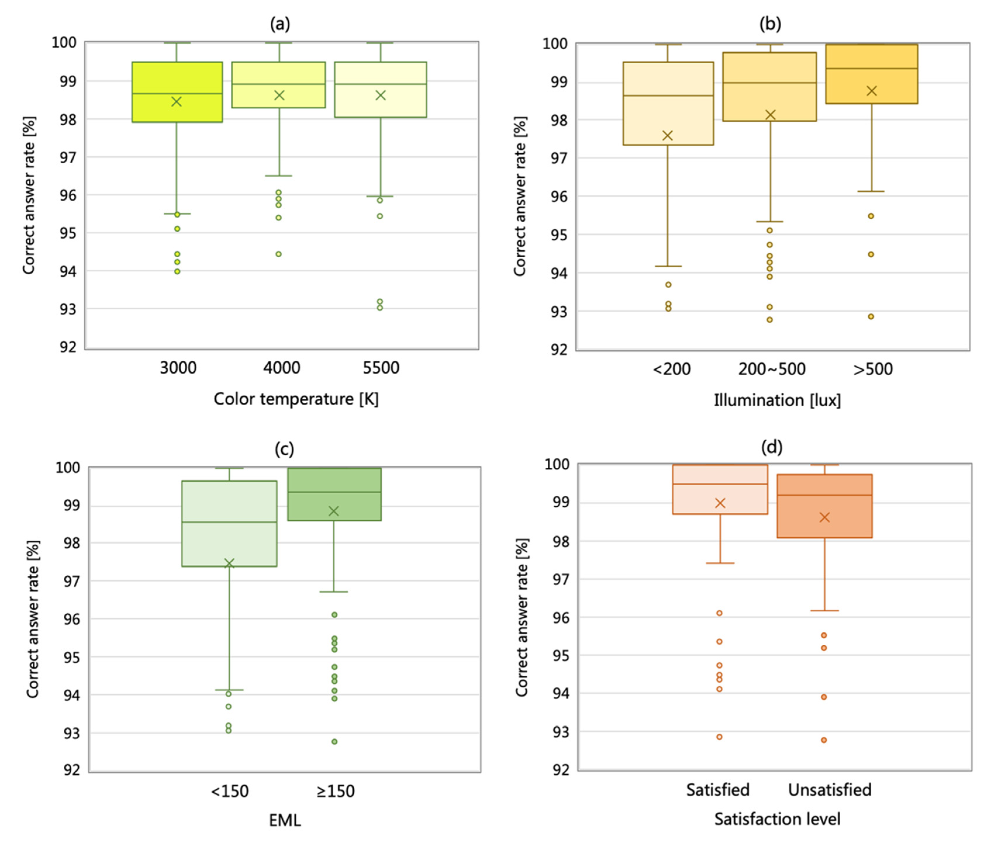
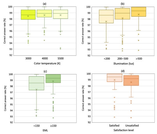
3.2. Influence of Lighting on Work Productivity
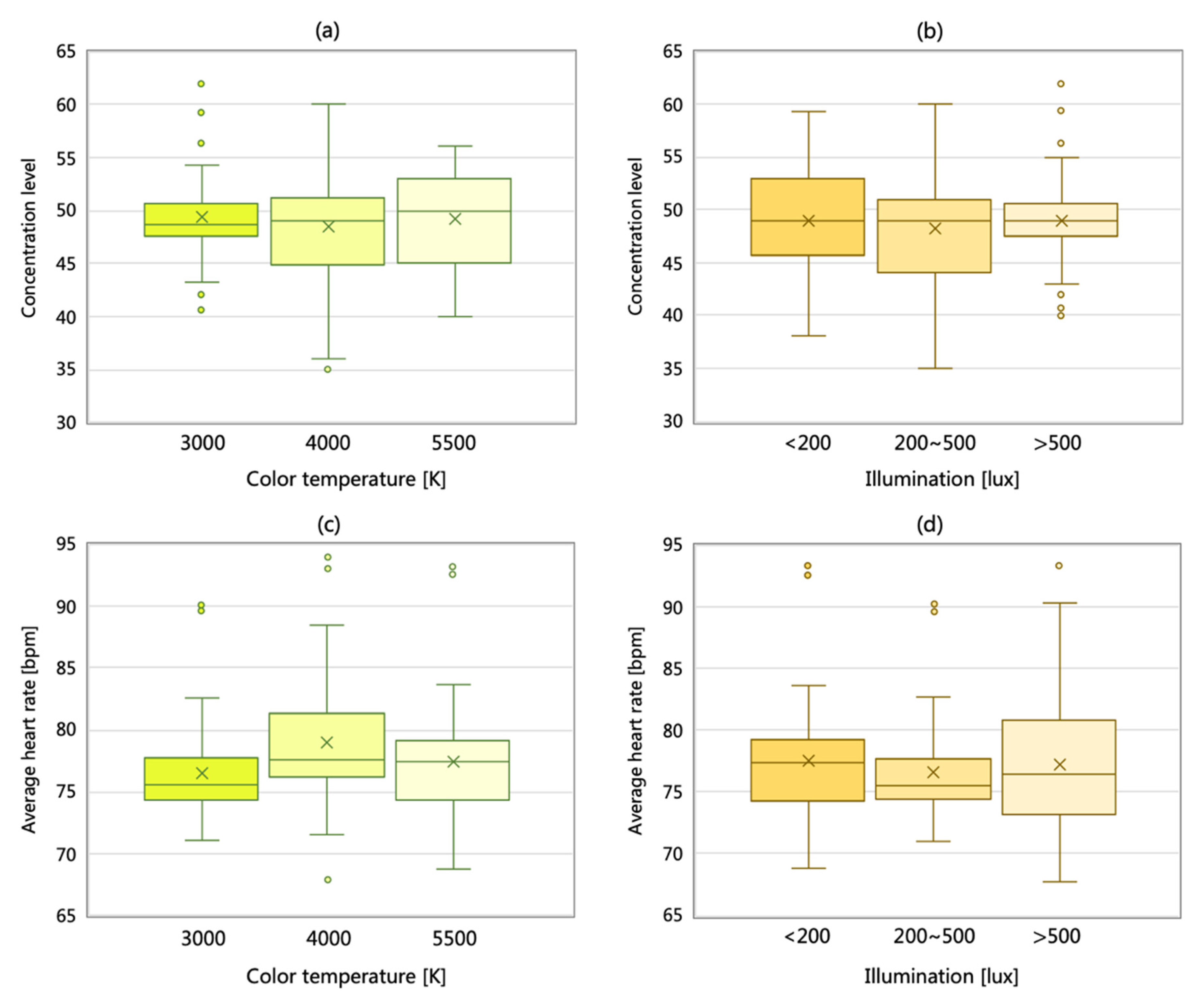
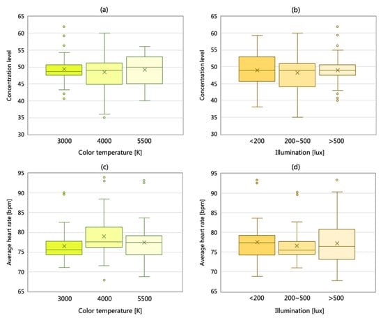
3.3. Influence of Lighting on Physiology
3.4. Influence of Adjustable Lighting
3.5. Lighting Energy Consumption
4. Discussion
4.1. Comprehensive Analysis of Light Environment, Psychological Evaluation, and Productivity
4.2. Lighting Control Strategies under Different Conditions
4.2.1. Lighting Control Strategy Based on User Preference
4.2.2. Lighting Control Strategy Based on High Productivity
4.2.3. Lighting Control Strategy Based on Healthy Light Environment
4.2.4. Lighting Control Strategy Based on Energy-Saving
4.3. Comprehensive Lighting Control Strategies
4.3.1. Fixed Lighting Control Strategy Based on Productivity and Circadian Rhythm
4.3.2. Adjustable Lighting Control Strategy Based on Productivity and Circadian Rhythm
4.3.3. Adjustable Lighting Control Strategy Based on Psychology and Energy-Saving
5. Conclusions
- Psychological part: people prefer warm colors and bright lighting. The most comfortable and relaxed light situation was at 3000 K with warm color, which has a low value in the CCT range. Furthermore, the most comfortable degree of illumination was found to be 590 lux. The reason for the highest evaluation was that the luminance of 590 lux was sufficient but not dazzling. This level of illumination could significantly promote both subjective and objective alertness and have a positive effect on maintaining concentration and relaxation;
- Productivity part: although different CCT values did not affect staff performance, illumination had a great influence on work efficiency. The productivity in the light situation with horizontal illumination above 500 lux was significantly better than in others. Moreover, the illuminance value has a direct effect on the illuminance of the anti-melanin hormone. Therefore, the working efficiency of the staff with enough 150 EML is significantly better than that of an insufficient level of 150 EML;
- Adjustable lighting: the average CCT and illumination adjusted by the user were about 4200 K and 480 lux, respectively. The controllable lighting did not improve user satisfaction or self-evaluated efficiency, and the productivity was lower than that of the fixed lighting. Furthermore, the heart rate with adjustable lighting was greater than the fixed one. Finally, we proposed three lighting control strategies based on psychology, productivity, circadian rhythm, and energy-saving.
Author Contributions
Funding
Institutional Review Board Statement
Informed Consent Statement
Data Availability Statement
Acknowledgments
Conflicts of Interest
Appendix A. Detailed Contents of the Psychological Evaluation Questionnaire
- I.
- Work performance: (single choice)
- 1.
- Do you think the lighting environment is suitable for work? Very unsuitable/Unsuitable/Slightly unsuitable/Neither suitable nor unsuitable/Slightly suitable/Suitable/Very suitable.
- 2.
- How do you find concentrating on your work in this lighting environment? Very difficult/Difficult/Slightly difficult/Neither difficult nor easy/Slightly easy/Easy/Very easy
- 3.
- What do you think of your “work performance” in this lighting environment? Very bad/Bad/Slightly bad/Neither bad nor good/Slightly good/Good/Excellent.
- II.
- Karolinska sleepiness scale
- 4.
- Please choose the description that best describes your current state. Very sleepy, need to work very hard to stay awake/Sleepy, but it takes just a little effort to stay awake/Sleepy, but don’t need to work hard to stay awake/Slightly sleepy/Neither alert nor sleepy/Slightly alert/Alert/Very alert/Extremely alert.
- III.
- Light environment quality: (single choice)
- 5.
- What do you think of the “luminance of the desktop”? Extremely dark/Dark/Slightly dark/Neither dark nor bright/Slightly bright/Bright/Extremely bright.
- 6.
- What do you think of the “luminance of the screen”? Extremely dark/Dark/Slightly dark/Neither dark nor bright/Slightly bright/Bright/Extremely bright.
- 7.
- What do you think of the “glare level” of this lighting environment? Very unserious/Unserious/Slightly unserious/Neither serious nor unserious/Slightly serious/Serious/Very serious.
- 8.
- What do you think of the “overall luminance distribution” of this lighting environment? Very uneven/Uneven/Slightly uneven/Neither even nor uneven/Slightly even/Even/Very even.
- IV.
- Light environment sensation: (single choice)
- 9.
- How satisfied are you with the lighting environment? Very dissatisfied/Dissatisfied/Slightly dissatisfied/Neither satisfied nor dissatisfied/Slightly satisfied/Satisfied/Very satisfied.
- 10.
- How satisfied are you with the lighting environment with regard to luminance? Very dissatisfied/Dissatisfied/Slightly dissatisfied/Neither satisfied nor dissatisfied/Slightly satisfied/Satisfied/Very satisfied.
- 11.
- What do you think of the “light color acceptability” of this lighting environment? Very unacceptable/Unacceptable/Slightly unacceptable/Neither satisfied nor dissatisfied/Slightly acceptable/Acceptable/Very acceptable.
- 12.
- What do you think is the “acceptable luminance” of the lighting environment? Very unacceptable/Unacceptable/Slightly unacceptable/Neither satisfied nor dissatisfied/Slightly acceptable/Acceptable/Very acceptable.
- V.
- Emotional impact: (single choice)
- 13.
- How much do you think this lighting environment will “affect your mood”? Very unaffected/Unaffected/Slightly unaffected/Neither affected nor unaffected/Slightly affected/Affected/Very affected.
- 14.
- How do you feel in this lighting environment? Very nervous/Nervous/Slightly nervous/Neither nervous nor relaxed/Slightly relaxed/Relaxed/Very relaxed.
- 15.
- How do you feel in this lighting environment? Very uncomfortable/Uncomfortable/Slightly uncomfortable/Neither comfortable nor uncomfortable/Slightly comfortable/Comfortable/Very comfortable.
- VI.
- Light environment and color temperature: (single choice)
- 16.
- How do you feel about the light and color of the current lighting environment? Extremely cool color/Cool color/Slightly cool color/Neither cool nor warm color/Slightly warm color/Warm color/Extremely warm color.
- VII.
- Indoor environment: (single choice)
- 17.
- How do you feel about the “temperature” of this space? Very uncomfortable/Uncomfortable/Slightly uncomfortable/Neither comfortable nor uncomfortable/Slightly comfortable/Comfortable/Very comfortable.
- 18.
- How do you feel about the “overall comfort” of the office space? Very bad/Bad/Slightly bad/Neither good nor bad/Slightly good/Good/Excellent.
References
- Elsaid, A.M.; Ahmed, M.S. Indoor Air Quality Strategies for Air-Conditioning and Ventilation Systems with the Spread of the Global Coronavirus (COVID-19) Epidemic: Improvements and Recommendations. Environ. Res. 2021, 199, 111314. [Google Scholar] [CrossRef]
- Agarwal, N.; Meena, C.S.; Raj, B.P.; Saini, L.; Kumar, A.; Gopalakrishnan, N.; Kumar, A.; Balam, N.B.; Alam, T.; Kapoor, N.R.; et al. Indoor air quality improvement in COVID-19 pandemic: Review. Sustain. Cities Soc. 2021, 70, 102942. [Google Scholar] [CrossRef] [PubMed]
- Kim, J.; Hong, T.; Lee, M.; Jeong, K. Analyzing the real-time indoor environmental quality factors considering the influence of the building occupants’ behaviors and the ventilation. Build. Environ. 2019, 156, 99–109. [Google Scholar] [CrossRef]
- Schiavon, S.; Altomonte, S. Influence of factors unrelated to environmental quality on occupant satisfaction in LEED and non-LEED certified buildings. Build. Environ. 2014, 77, 148–159. [Google Scholar] [CrossRef]
- Gerhardsson, K.M.; Laike, T. User acceptance of a personalised home lighting system based on wearable technology. Appl. Ergon. 2021, 96, 102941. [Google Scholar] [CrossRef] [PubMed]
- Kakitsuba, N. Comfortable indoor lighting conditions for LED lights evaluated from psychological and physiological responses. Appl. Ergon. 2020, 82, 102941. [Google Scholar] [CrossRef]
- Wang, Y.; Huang, H.; Chen, G. Effects of lighting on ECG, visual performance and psychology of the elderly. Optik (Stuttg) 2020, 203, 164063. [Google Scholar] [CrossRef]
- Papinutto, M.; Nembrini, J.; Lalanne, D. “Working in the dark?” investigation of physiological and psychological indices and prediction of back-lit screen users’ reactions to light dimming. Build. Environ. 2020, 186, 107356. [Google Scholar] [CrossRef]
- Wang, Y.; Liu, Q.; Gao, W.; Pointer, M.R.; Huang, Z.; Chen, W.; Wu, J. Interactive effect of illuminance and correlated colour temperature on colour preference and degree of white light sensation for Chinese observers. Optik (Stuttg) 2020, 224, 165675. [Google Scholar] [CrossRef]
- Kang, S.Y.; Youn, N.; Yoon, H.C. The self-regulatory power of environmental lighting: The effect of illuminance and correlated color temperature. J. Environ. Psychol. 2019, 62, 30–41. [Google Scholar] [CrossRef]
- Truong, W.; Zandi, B.; Trinh, V.Q.; Khanh, T.Q. Circadian metric—Computation of circadian stimulus using illuminance, correlated colour temperature and colour rendering index. Build. Environ. 2020, 184, 107146. [Google Scholar] [CrossRef]
- Elnaklah, R.; Walker, I.; Natarajan, S. Moving to a green building: Indoor environment quality, thermal comfort and health. Build. Environ. 2021, 191, 107592. [Google Scholar] [CrossRef]
- McCunn, L.J.; Kim, A.; Feracor, J. Reflections on a retrofit: Organizational commitment, perceived productivity and controllability in a building lighting project in the United States. Energy Res. Soc. Sci. 2018, 38, 154–164. [Google Scholar] [CrossRef]
- Aslanoğlu, R.; Pracki, P.; Kazak, J.K.; Ulusoy, B.; Yekanialibeiglou, S. Short-term analysis of residential lighting: A pilot study. Build. Environ. 2021, 196, 107781. [Google Scholar] [CrossRef]
- Taiwan Economic Ministry. CNS 12112 Lighting of Indoor Work Places; Standard Inspection Bureau of the Ministry of Economic Affairs: Taipei, Taiwan, 2012. [Google Scholar]
- International Commission on Illumination. CIE S 008/E-2001 Lighting of Indoor Work Places; International Commission on Illumination: Vienna, Austria, 2002. [Google Scholar]
- International WELL Building Institute. WELL Building Standard v2; International WELL Building Institute: New York, NY, USA, 2022. [Google Scholar]
- Kokka, A.; Pulli, T.; Poikonen, T.; Schneider, T.; Ferrero, A.; Stuker, F.; Blattner, P.; Pons, A.; Ikonen, E. Definition of a Spectral Mismatch Index for Spectral Power Distributions. In Proceedings of the 29th Quadrennial Session of the CIE, Washington, DC, USA, 14–22 June 2019; pp. 85–92. [Google Scholar] [CrossRef]
- Czyżewski, D.; Fryc, I. The Influence of Luminaire Photometric Intensity Curve Measurements Quality on Road Lighting Design Parameters. Energies 2020, 13, 3301. [Google Scholar] [CrossRef]
- Fryc, I.; Tabaka, P. The influence of different photometric observers on luxmeter accuracy for LEDs and FLs lamps measurements. Opt. Appl. 2019, 49, 345–354. [Google Scholar] [CrossRef]
- Supronowicz, R.; Fan, J.; Listowski, M.; Watras, A.; Fryc, I. Application of different metrics for describing light color quality of a white LED. Photonics Lett. Pol. 2021, 13, 31–33. [Google Scholar] [CrossRef]
- Sun, C.; Lian, Z. Sensitive physiological indicators for human visual comfort evaluation. Light. Res. Technol. 2016, 48, 726–741. [Google Scholar] [CrossRef]
- Ishii, H.; Kanagawa, H.; Shimamura, Y.; Uchiyama, K.; Miyagi, K.; Obayashi, F.; Shimoda, H. Intellectual productivity under task ambient lighting. Light. Res. Technol. 2018, 50, 237–252. [Google Scholar] [CrossRef]
- Figueiro, M.G.; Steverson, B.; Heerwagen, J.; Yucel, R.; Roohan, C.; Sahin, L.; Kampschroer, K.; Rea, M.S. Light, entrainment and alertness: A case study in offices. Light. Res. Technol. 2020, 52, 736–750. [Google Scholar] [CrossRef]
- Huang, Z.; Liu, Q.; Pointer, M.R.; Luo, M.R.; Wu, B.; Liu, A. White lighting and colour preference, Part 1: Correlation analysis and metrics validation. Light. Res. Technol. 2020, 52, 5–22. [Google Scholar] [CrossRef]
- Dangol, R.; Islam, M.S.; Hyvärinen, M.; Bhushal, P.; Puolakka, M.; Halonen, L. User acceptance studies for LED office lighting: Preference, naturalness and colourfulness. Light. Res. Technol. 2015, 47, 36–53. [Google Scholar] [CrossRef]
- Park, J.; Loftness, V.; Aziz, A.; Wang, T.H. Strategies to achieve optimum visual quality for maximum occupant satisfaction: Field study findings in office buildings. Build. Environ. 2021, 195, 107458. [Google Scholar] [CrossRef]
- Hviid, C.A.; Pedersen, C.; Dabelsteen, K.H. A field study of the individual and combined effect of ventilation rate and lighting conditions on pupils’ performance. Build. Environ. 2020, 171, 106608. [Google Scholar] [CrossRef]
- Shamsul, B.M.; Sia, C.C.; Ng, Y.; Karmegan, K. Effects of Light’s Colour Temperatures on Visual Comfort Level, Task Performances, and Alertness among Students. Am. J. Public Health Res. 2013, 1, 159–165. [Google Scholar] [CrossRef] [Green Version]
- Houser, K.W.; Boyce, P.R.; Zeitzer, J.M.; Herf, M. Human-centric lighting: Myth, magic or metaphor? Light. Res. Technol. 2021, 53, 97–118. [Google Scholar] [CrossRef]
- Zhai, Q.Y.; Luo, M.R.; Liu, X.Y. The impact of illuminance and colour temperature on viewing fine art paintings under LED lighting. Light. Res. Technol. 2015, 47, 795–809. [Google Scholar] [CrossRef]
- Islam, M.S.; Dangol, R.; Hyvärinen, M.; Bhusal, P.; Puolakka, M.; Halonen, L. User acceptance studies for LED office lighting: Lamp spectrum, spatial brightness and illuminance. Light. Res. Technol. 2015, 47, 54–79. [Google Scholar] [CrossRef]
- Veitch, J.A.; Newsham, G.R.; Boyce, P.R.; Jones, C.C. Lighting appraisal, well-being and performance in open-plan offices: A linked mechanisms approach. Light. Res. Technol. 2008, 40, 133–148. [Google Scholar] [CrossRef] [Green Version]
- Ye, M.; Zheng, S.Q.; Wang, M.L.; Luo, M.R. The effect of dynamic correlated colour temperature changes on alertness and performance. Light. Res. Technol. 2018, 50, 1070–1081. [Google Scholar] [CrossRef]
- Park, B.C.; Chang, J.H.; Kim, Y.S.; Jeong, J.W.; Choi, A.S. A study on the subjective response for corrected colour temperature conditions in a specific space. Indoor Built Environ. 2010, 19, 623–637. [Google Scholar] [CrossRef]
- Tobore, I.; Kandwal, A.; Li, J.; Yan, Y.; Omisore, O.M.; Enitan, E.; Sinan, L.; Yuhang, L.; Wang, L.; Nie, Z. Towards adequate prediction of prediabetes using spatiotemporal ECG and EEG feature analysis and weight-based multi-model approach. Knowl. -Based Syst. 2020, 209, 106464. [Google Scholar] [CrossRef]
- Zhao, R.; Xia, Y.; Wang, Q. Dual-modal and multi-scale deep neural networks for sleep staging using EEG and ECG signals. Biomed. Signal Process. Control 2021, 66, 102455. [Google Scholar] [CrossRef]
- Baek, H.; Min, B.K. Blue light aids in coping with the post-lunch dip: An EEG study. Ergonomics 2015, 58, 803–810. [Google Scholar] [CrossRef]
- Šmotek, M.; Vlček, P.; Saifutdinova, E.; Kopřivová, J. Objective and Subjective Characteristics of Vigilance under Different Narrow-Bandwidth Light Conditions: Do Shorter Wavelengths Have an Alertness-Enhancing Effect? Neuropsychobiology 2019, 78, 238–248. [Google Scholar] [CrossRef]
- Eroğlu, K.; Kayıkçıoğlu, T.; Osman, O. Effect of brightness of visual stimuli on EEG signals. Behav. Brain Res. 2020, 382, 112486. [Google Scholar] [CrossRef]
- Okamoto, Y.; Rea, M.S.; Figueiro, M.G. Temporal dynamics of EEG activity during short- and long-wavelength light exposures in the early morning. BMC Res. Notes 2014, 7, 113. [Google Scholar] [CrossRef] [Green Version]
- Lasauskaite, R.; Cajochen, C. Influence of lighting color temperature on effort-related cardiac response. Biol. Psychol. 2018, 132, 64–70. [Google Scholar] [CrossRef]
- Omidvar, A.; Brambilla, A. A novel theoretical method for predicting the effects of lighting colour temperature on physiological responses and indoor thermal perception. Build. Environ. 2021, 203, 108062. [Google Scholar] [CrossRef]
- Deng, M.; Wang, X.; Menassa, C.C. Measurement and prediction of work engagement under different indoor lighting conditions using physiological sensing Min. Build. Environ. 2021, 203, 108098. [Google Scholar] [CrossRef]
- Yang, Y.; Hu, L.; Zhang, R.; Zhu, X.; Wang, M. Investigation of students’ short-term memory performance and thermal sensation with heart rate variability under different environments in summer. Build. Environ. 2021, 195, 107765. [Google Scholar] [CrossRef]
- Lu, M.; Hu, S.; Mao, Z.; Liang, P.; Xin, S.; Guan, H. Research on work efficiency and light comfort based on EEG evaluation method. Build. Environ. 2020, 183, 107122. [Google Scholar] [CrossRef]
- Yu, H.; Akita, T. The effect of illuminance and correlated colour temperature on perceived comfort according to reading behaviour in a capsule hotel. Build. Environ. 2019, 148, 384–393. [Google Scholar] [CrossRef]
- Lashina, T.; van der Vleuten-Chraibi, S.; Despenic, M.; Shrubsole, P.; Rosemann, A.; van Loenen, E. A comparison of lighting control strategies for open offices. Build. Environ. 2019, 149, 68–78. [Google Scholar] [CrossRef]
- Ru, T.; de Kort, Y.A.W.; Smolders, K.C.H.J.; Chen, Q.; Zhou, G. Non-image forming effects of illuminance and correlated color temperature of office light on alertness, mood, and performance across cognitive domains. Build. Environ. 2019, 149, 253–263. [Google Scholar] [CrossRef]
- Huang, Z.; Liu, Q.; Liu, Y.; Pointer, M.R.; Luo, M.R.; Wang, Q.; Wu, B. Best lighting for jeans, part 1: Optimising colour preference and colour discrimination with multiple correlated colour temperatures. Light. Res. Technol. 2019, 51, 1208–1223. [Google Scholar] [CrossRef]
- Te Kulve, M.; Schlangen, L.; van Marken Lichtenbelt, W. Interactions between the perception of light and temperature. Indoor Air 2018, 28, 881–891. [Google Scholar] [CrossRef] [Green Version]
- De Bakker, C.; Aarts, M.; Kort, H.; Rosemann, A. The feasibility of highly granular lighting control in open-plan offices: Exploring the comfort and energy saving potential. Build. Environ. 2018, 142, 427–438. [Google Scholar] [CrossRef]
- Smolders, K.C.H.J.; de Kort, Y.A.W. Investigating daytime effects of correlated colour temperature on experiences, performance, and arousal. J. Environ. Psychol. 2017, 50, 80–93. [Google Scholar] [CrossRef]
- Huebner, G.M.; Shipworth, D.T.; Gauthier, S.; Witzel, C.; Raynham, P.; Chan, W. Saving energy with light? Experimental studies assessing the impact of colour temperature on thermal comfort. Energy Res. Soc. Sci. 2016, 15, 45–57. [Google Scholar] [CrossRef] [Green Version]
- De Korte, E.M.; Spiekman, M.; Hoes-van Oeffelen, L.; van der Zande, B.; Vissenberg, G.; Huiskes, G.; Kuijt-Evers, L.F.M. Personal environmental control: Effects of pre-set conditions for heating and lighting on personal settings, task performance and comfort experience. Build. Environ. 2015, 86, 166–176. [Google Scholar] [CrossRef]
- Huang, R.H.; Lee, L.; Chiu, Y.A.; Sun, Y. Effects of correlated color temperature on focused and sustained attention under white LED desk lighting. Color Res. Appl. 2015, 40, 281–286. [Google Scholar] [CrossRef]
- Cuce, E.; Riffat, S.B.; Young, C.H. Thermal insulation, power generation, lighting and energy saving performance of heat insulation solar glass as a curtain wall application in Taiwan: A comparative experimental study. Energy Convers. Manag. 2015, 96, 31–38. [Google Scholar] [CrossRef]
- Yun, S.-I.; Jeong, J.-W.; Choi, A. Photopic illuminance-based black-box model for regulation of human circadian rhythm via daylight control. Build. Environ. 2021, 203, 108069. [Google Scholar] [CrossRef]
- Luk, H.N.; Ennever, J.F.; Day, Y.J.; Wong, C.S.; Sun, W.Z. Tiny tweaks, big changes: An alternative strategy to empower ethical culture of human research in anesthesia (A Taiwan Acta Anesthesiologica Taiwanica-Ethics Review Task Force Report). Acta Anaesthesiol. Taiwanica 2015, 53, 29–40. [Google Scholar] [CrossRef]
- Sullivan, L.M.; Weinberg, J.; Keaney, J.F. Common statistical pitfalls in basic science research. J. Am. Heart Assoc. 2016, 5, 1–9. [Google Scholar] [CrossRef]
- Ma, J.H.; Lee, J.K.; Cha, S.H. Effects of lighting CCT and illuminance on visual perception and task performance in immersive virtual environments. Build. Environ. 2022, 209, 108678. [Google Scholar] [CrossRef]
- Al Enezi, J.; Revell, V.; Brown, T.; Wynne, J.; Schlangen, L.; Lucas, R. A “melanopic” spectral efficiency function predicts the sensitivity of melanopsin photoreceptors to polychromatic lights. J. Biol. Rhythm. 2011, 26, 314–323. [Google Scholar] [CrossRef]
- Kim, M.K.; Müller, H.M.; Weiss, S. What you “mean” is not what I “mean”: Categorization of verbs by Germans and Koreans using the semantic differential. Lingua 2021, 252, 103012. [Google Scholar] [CrossRef]
- Li, Z.; Sun, X.; Zhao, S.; Zuo, H. Integrating eye-movement analysis and the semantic differential method to analyze the visual effect of a traditional commercial block in Hefei, China. Front. Archit. Res. 2021, 10, 317–331. [Google Scholar] [CrossRef]
- Putilov, A.A.; Donskaya, O.G. Construction and validation of the EEG analogues of the Karolinska sleepiness scale based on the Karolinska drowsiness test. Clin. Neurophysiol. 2013, 124, 1346–1352. [Google Scholar] [CrossRef]
- Konstantzos, I.; Sadeghi, S.A.; Kim, M.; Xiong, J.; Tzempelikos, A. The effect of lighting environment on task performance in buildings—A review. Energy Build. 2020, 226, 110394. [Google Scholar] [CrossRef]
- Zhang, T.; Han, Z.; Chen, X.; Li, M.; Chen, W.; Yang, Y.; Jiang, Y.; Zheng, X. Assessing multi-layered nonlinear characteristics of ECG/EEG signal via adaptive kernel density estimation-based hierarchical entropies. Biomed. Signal. Process. Control. 2021, 67, 102520. [Google Scholar] [CrossRef]
- Li, T.M.; Chao, H.C.; Zhang, J. Emotion classification based on brain wave: A survey. Human-centric Comput. Inf. Sci. 2019, 9, 1–17. [Google Scholar] [CrossRef] [Green Version]
- Hassan, M.A.; Malik, A.S.; Fofi, D.; Karasfi, B.; Meriaudeau, F. Towards health monitoring using remote heart rate measurement using digital camera: A feasibility study. Meas. J. Int. Meas. Confed. 2020, 149, 106804. [Google Scholar] [CrossRef] [PubMed]
- Heiss, S.; Vaschillo, B.; Vaschillo, E.G.; Timko, C.A.; Hormes, J.M. Heart rate variability as a biobehavioral marker of diverse psychopathologies: A review and argument for an “ideal range”. Neurosci. Biobehav. Rev. 2021, 121, 144–155. [Google Scholar] [CrossRef]
- Sheedy, J.E.; Smith, R.; Hayes, J. Visual effects of the luminance surrounding a computer display. Ergonomics 2005, 48, 1114–1128. [Google Scholar] [CrossRef] [PubMed]









| Ref. | CCT (K) Illuminance (lux) | Experiment Method | Physiological & Psychological Measurement | Productivity Measurement | Conclusions |
|---|---|---|---|---|---|
| [44] | 1 CCT (5000) 3 illuminances (200, 500, 1000) | Fixed lighting/3 groups | 1. EEG 2. heart rate 3. skin temperature 4. engagement level | 1. number addition 2. visual search 3. digit recall |
|
| [45] | 3 CCTs (3000, 4500, 6000) 1 illuminance (300) | Fixed lighting/3 groups | 1. ECG 2. thermal sensation and comfort 3. light satisfaction and comfort | 1. short-term memory test |
|
| [46] | 3 CCTs (3000, 4000, 6000) 5 illuminances (75, 100, 200, 300, 500) | Fixed lighting/15 groups | 1. ECG 2. luminance 3. color authenticity 4. fatigue 5. relaxation | 1. reading |
|
| [47] | 3 CCTs (2800, 5000, 6700) 2 illuminances (150, 300) | Fixed lighting/6 groups | 1. luminance 2. security sense 3. pressure 4. positive feelings 5. fatigue | 1. reading |
|
| [48] | 5 illuminances (300, 500, self-adjust) | Fixed and adjustable lighting/5 groups | 1. visual perception 2. self-rated productivity 3. satisfaction level | - |
|
| [49] | 2 CCTs (3000, 6500) 2 illuminances (100, 1000) | Fixed lighting/4 groups | 1. KSS 2. Psycho-motor vigilance test | 1. Go/No-go test 2. Flanker test 3. working memory task |
|
| [50] | 9 CCTs (2500–6500) 1 illuminance (200) | Fixed lighting/9 groups | 1. six different jeans 2. color preference 3. color discrimination | - |
|
| [51] | 2 CCTs (2700, 5800) 2 illuminances (5, 1200) | Fixed lighting/4 groups | 1. core body temperature 2. skin temperatures 3. energy expenditure 4. thermal perception 5. visual comfort | - |
|
| [52] | CCT (4000) illuminances (variable) | Adjustable lighting/9 groups | 1. visual perception 2. comfort level | 1. typing 2. reading 3. look at clock and tree |
|
| [53] | 2 CCTs (2700, 6000) | Fixed lighting/4 groups | 1. Electro-dermal activity (EDA) 2. ECG 3. visual experience 4. comfort level | 1. image response 2. number operation 3. find fault 4. image change |
|
| [54] | 2 CCTs (2700, 6500) | Fixed lighting(from 20 to 24 °C)/2 groups | 1. thermal perception 2. personal acceptability 3. affective assessment | - |
|
| [55] | 4 illuminances (self-adjust) | Adjustable lighting/4 groups | 1. visual perception 2. comfort level | 1. reading 2. identify difference |
|
| [56] | 4 CCTs (2700, 4300, 6500), 1 illuminance (500) | Fixed lighting/3 groups | 1. visual perception 2. comfort level | 1. Chu attention test |
|
| Subjective Psychological Evaluation | CCT | Illumination | EML | ||||
|---|---|---|---|---|---|---|---|
| 3000 K 4000 K | 4000 K 5500 K | 3000 K 5500 K | <200 lux 200~500 lux | <200 lux >500 lux | 200~500 lux >500 lux | <150 EML ≥150 EML | |
| Self-evaluative work performance | 0.343 | 0.474 | 0.308 | 0.499 | 0.397 | 0.411 | 0.109 |
| Mental state | 0.327 | 0.024 * | 0.063 | 0.187 | 0.388 | 0.169 | 0.112 |
| Satisfaction with CCT | 0.280 | 0.184 | 1.65 | 0.036 | 0.105 | 0.497 | 0.037 * |
| Satisfaction with illumination | 0.105 | 0.309 | 0.039 * | 0.380 | 0.477 | 0.388 | 0.280 |
| Relaxation level | 0.002 ** | <0.001 *** | <0.001 *** | <0.001 *** | <0.001 *** | 0.002 ** | 0.443 |
| Comfort level | 0.002 ** | 0.004 ** | <0.001 *** | 0.003 ** | <0.001 *** | 0.073 | 0.367 |
| Thermal sensation | 0.060 | 0.086 | 0.001 ** | 0.075 | 0.150 | 0.025 | 0.232 |
| Work Productivity Evaluation | CCT | Illumination | EML | Lighting Satisfaction (EML ≥ 150) | ||||
|---|---|---|---|---|---|---|---|---|
| 3000 K 4000 K | 4000 K 5500 K | 3000 K 5500 K | <200 lux 200~500 lux | <200 lux >500 lux | 200~500 lux >500 lux | <150 EML ≥150 EML | Satisfied Unsatisfied | |
| Self-evaluative work performance | 0.179 | 0.332 | 0.238 | 0.107 | 0.003 * | 0.012 * | <0.001 *** | 0.034 * |
| Physiological Changes Evaluation | CCT | Illumination | EML | ||||
|---|---|---|---|---|---|---|---|
| 3000 K 4000 K | 4000 K 5500 K | 3000 K 5500 K | <200 lux 200~500 lux | <200 lux >500 lux | 200~500 lux >500 lux | <150 EML ≥150 EML | |
| Concentration level of brain wave | 0.195 | 0.201 | 0.466 | 0.390 | 0.440 | 0.465 | 0.411 |
| Changes of heart rate | 0.087 | 0.206 | 0.285 | 0.447 | 0.383 | 0.317 | 0.212 |
| Adjustable Lighting | Satisfaction with CCT | Satisfaction with Illumination | Comfort Level of Lighting | Self-Evaluative Productivity | Actual Productivity | Average Brain Wave | Average Heat Rate |
|---|---|---|---|---|---|---|---|
| Significant value (p) | 0.052 | 0.243 | 0.194 | 0.298 | <0.001 *** | 0.216 | 0.006 * |
Publisher’s Note: MDPI stays neutral with regard to jurisdictional claims in published maps and institutional affiliations. |
© 2022 by the authors. Licensee MDPI, Basel, Switzerland. This article is an open access article distributed under the terms and conditions of the Creative Commons Attribution (CC BY) license (https://creativecommons.org/licenses/by/4.0/).
Share and Cite
Chen, R.; Tsai, M.-C.; Tsay, Y.-S. Effect of Color Temperature and Illuminance on Psychology, Physiology, and Productivity: An Experimental Study. Energies 2022, 15, 4477. https://doi.org/10.3390/en15124477
Chen R, Tsai M-C, Tsay Y-S. Effect of Color Temperature and Illuminance on Psychology, Physiology, and Productivity: An Experimental Study. Energies. 2022; 15(12):4477. https://doi.org/10.3390/en15124477
Chicago/Turabian StyleChen, Ruijun, Meng-Chun Tsai, and Yaw-Shyan Tsay. 2022. "Effect of Color Temperature and Illuminance on Psychology, Physiology, and Productivity: An Experimental Study" Energies 15, no. 12: 4477. https://doi.org/10.3390/en15124477
APA StyleChen, R., Tsai, M.-C., & Tsay, Y.-S. (2022). Effect of Color Temperature and Illuminance on Psychology, Physiology, and Productivity: An Experimental Study. Energies, 15(12), 4477. https://doi.org/10.3390/en15124477

