Numerical Investigation of Gravity-Driven Granular Flow around the Vertical Plate: Effect of Pin-Fin and Oscillation on the Heat Transfer †
Abstract
1. Introduction
2. Method and Simulation
2.1. Method
2.2. Model Validations
2.3. Physical Model and Simulation Cases
3. Results and Discussion
3.1. Effect of Pin-Fin and Oscillation
3.2. Effect of Frequency
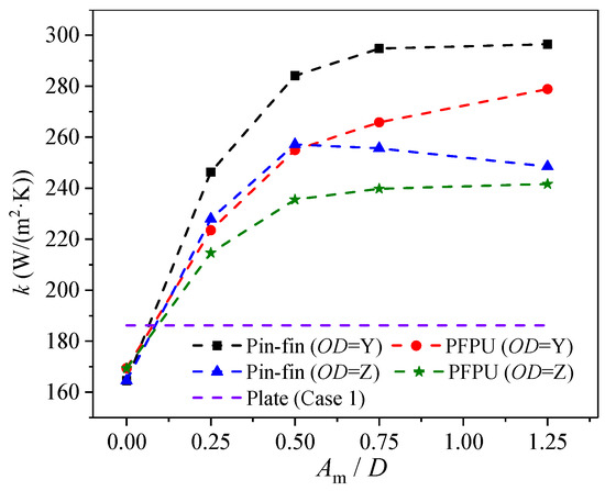
3.3. Effect of Oscillating Direction and Amplitude
4. Conclusions
- (1)
- Compared with the smooth plate, the area and the heat transfer rate of the PFPU increases by 58% and 44%, respectively. The static PFPU enables particles far away from the plate to exchange heat with the pin-fin, and the average particle temperature at the outlet is lower. When the PFPU oscillates, the number of particles in contact with the PFPU increase significantly, and the particle temperature diffusion around the pin-fin increases. When the PFPU oscillates under the condition of OD = Y, f = 3 Hz and Am = 0.25 D, the total heat transfer rate and the heat transfer coefficient of the PFPU are increased by 89% and 21%, compared with the smooth plate.
- (2)
- As the oscillating frequency of the PFPU increases, the unit area particle contact number of pin-fin gradually increases, the contact time of particles with pin-fin gradually decreases and the particle renewal near the pin-fin accelerates. When the PFPU oscillates under the condition of OD = Y, f = 10 Hz and Am = 0.25 D, the unit area particle contact number of pin-fin is increased by 40% and the contact time of particles with pin-fin is reduced by 61%, compared with the static PFPU. The heat transfer coefficients of particles flow around the PFPU increase with the frequency increasing. When the PFPU oscillates under the condition of OD = Y, f = 10 Hz and Am = 0.25 D, the heat transfer coefficient of the particles flow around the PFPU is 28% higher than that of the particle flow around the plate.
- (3)
- When the PFPU oscillates along the Z direction, the unit area particle contact number of pin-fin decreases with the amplitude increasing and the cavity zone at the bottom of the pin-fin oscillating along the Z direction increases. The unit area particle contact number of pin-fin is significantly lower than that of the pin-fin oscillating along the Y direction. The heat transfer coefficients of particles flow around the PFPU increase with the amplitude increasing. The heat transfer coefficient of the PFPU oscillating along the Y direction is larger than that of the PFPU oscillating along the Z direction. When the PFPU oscillates under the condition of OD = Y, f = 3 Hz and Am = 1.25 D, the heat transfer coefficient of the particles flow around the PFPU increases by 50% compared with that of the particle flow around the plate.
Author Contributions
Funding
Institutional Review Board Statement
Informed Consent Statement
Data Availability Statement
Conflicts of Interest
Nomenclature
| A | Area (mm2) |
| Am | Amplitude (mm) |
| APFPU | Area of PFPU (mm2) |
| Cp | Heat capacity (J/(kg·K)) |
| D | The Pin-fin diameter (mm) |
| dp | Particle diameter (mm) |
| E | Young’s modulus (Pa) |
| Fn | normal component of the contact force (N) |
| f | Frequency (Hz) |
| H | The rectangular channel height (mm) |
| Hg | PFPU’s plate height (mm) |
| k | Heat transfer coefficient (W/(m2·K)) |
| l | distance of particle–particle or particle–wall (m) |
| Lg | The pin-fin length (mm) |
| N | Number of particles |
| OD | Oscillating direction |
| Q | The total heat between particles and PFPU (J) |
| r | Radius (mm) |
| R | thermal resistance (K/W) |
| Tin | The particle inlet temperature (K) |
| TPFPU | PFPU wall temperature (K) |
| t | Time (s) |
| tp | The contact time of the particle (s) |
| W | The rectangular channel width (mm) |
| Wg | PFPU’s plate width (mm) |
| x,y,z | Cartesian coordinates (mm) |
| Greek letters | |
| α, β, Θ | angles (rad) |
| λg | Thermal conductivity of gas (W/(m·K)) |
| λp | Thermal conductivity of particle (W/(m·K)) |
| ν | The time-average unit area particle contact number (N/mm2) |
| ρ | Density (kg/m3) |
| τ | The time-average contact time (s) |
| Abbreviations | |
| DEM | Discrete element method |
| MBHE | Moving bed heat exchangers |
| PFPU | Pin-fin plate unit |
References
- Cheng, Z.; Tan, Z.; Guo, Z.; Yang, J.; Wang, Q. Technologies and fundamentals of waste heat recovery from high-temperature solid granular materials. Appl. Therm. Eng. 2020, 179, 115703. [Google Scholar] [CrossRef]
- He, Y.L.; Qiu, Y.; Wang, K.; Yuan, F.; Wang, W.Q.; Li, M.J.; Guo, J.Q. Perspective of concentrating solar power. Energy 2020, 198, 117373. [Google Scholar] [CrossRef]
- Preisner, N.C.; Linder, M. A moving bed reactor for thermochemical energy storage based on metal oxides. Energies 2020, 13, 1232. [Google Scholar] [CrossRef]
- Vignarooban, K.; Xu, X.; Arvay, A.; Hsu, K.; Kannan, A.M. Heat transfer fluids for concentrating solar power systems—A review. Appl. Energy 2015, 146, 383–396. [Google Scholar] [CrossRef]
- Ho, C.K.; Iverson, B.D. Review of high-temperature central receiver designs for concentrating solar power. Renew. Sustain. Energy Rev. 2014, 29, 835–846. [Google Scholar] [CrossRef]
- Cheng, Z.; Guo, Z.; Tan, Z.; Yang, J.; Wang, Q. Waste heat recovery from high-temperature solid granular materials: Energy challenges and opportunities. Renew. Sustain. Energy Rev. 2019, 116, 109428. [Google Scholar] [CrossRef]
- Fang, W.; Chen, S.; Xu, J.; Zeng, K. Predicting heat transfer coefficient of a shell-and-plate, moving packed-bed particle-to-sCO2 heat exchanger for concentrating solar power. Energy 2021, 217, 119389. [Google Scholar] [CrossRef]
- Vogtenhuber, H.; Pernsteiner, D.; Hofmann, R. Experimental and numerical investigations on heat transfer of bare tubes in a bubbling fluidized bed with respect to better heat integration in temperature swing adsorption systems. Energies 2019, 12, 2646. [Google Scholar] [CrossRef]
- Jiang, B.; Xia, D.; Guo, H.; Xiao, L.; Qu, H.; Liu, X. Efficient waste heat recovery system for high-temperature solid particles based on heat transfer enhancement. Appl. Therm. Eng. 2019, 155, 166–174. [Google Scholar] [CrossRef]
- Takeuchi, H. Particles flow pattern and local heat transfer around tube in moving bed. AIChE J. 1996, 42, 1621–1626. [Google Scholar] [CrossRef]
- Fernández-Torrijos, M.; Albrecht, K.J.; Ho, C.K. Dynamic modeling of a particle/supercritical CO2 heat exchanger for transient analysis and control. Appl. Energy 2018, 226, 595–606. [Google Scholar] [CrossRef]
- Dai, Y.L.; Liu, X.J.; Xia, D. Flow characteristics of three typical granular materials in near 2D moving beds. Powder Technol. 2020, 373, 220–231. [Google Scholar] [CrossRef]
- Tian, X.; Yang, J.; Guo, Z.; Wang, Q.; Sunden, B. Numerical study of heat transfer in gravity-driven particle flow around tubes with different shapes. Energies 2020, 13, 1961. [Google Scholar] [CrossRef]
- Bartsch, P.; Zunft, S. Granular flow around the horizontal tubes of a particle heat exchanger: DEM-simulation and experimental validation. Sol. Energy 2019, 182, 48–56. [Google Scholar] [CrossRef]
- Liu, J.; Yu, Q.; Peng, J.; Hu, X.; Duan, W. Thermal energy recovery from high-temperature blast furnace slag particles. Int. Commun. Heat Mass Transf. 2015, 69, 23–28. [Google Scholar] [CrossRef]
- Guo, Z.; Zhang, S.; Tian, X.; Yang, J.; Wang, Q. Numerical investigation of tube oscillation in gravity-driven granular flow with heat transfer by discrete element method. Energy 2020, 207, 118203. [Google Scholar] [CrossRef]
- Tian, X.; Yang, J.; Guo, Z.; Wang, Q.; Sunden, B. Numerical study of heat transfer in gravity-driven dense particle flow around a hexagonal tube. Powder Technol. 2020, 367, 285–295. [Google Scholar] [CrossRef]
- Guo, Z.; Tian, X.; Tan, Z.; Yang, J.; Zhang, S.; Wang, Q. Numerical investigation of heat resistances in uniform dense granular flows along a vertical plate. Powder Technol. 2021, 385, 396–408. [Google Scholar] [CrossRef]
- Guo, Z.; Tian, X.; Yang, J.; Shi, T.; Wang, Q. Comparison of heat transfer in gravity-driven granular flow near different surfaces. J. Therm. Sci. 2020, 9, 1–10. [Google Scholar] [CrossRef]
- Natarajan, V.V.R.; Hunt, M.L. Heat transfer in vertical granular flows. Exp. Heat Transf. 1997, 10, 89–107. [Google Scholar] [CrossRef]
- Nie, F.; Cui, Z.; Bai, F.; Wang, Z. Properties of solid particles as heat transfer fluid in a gravity driven moving bed solar receiver. Sol. Energy Mater. Sol. Cells 2019, 200, 110007. [Google Scholar] [CrossRef]
- Yin, J.; Zheng, Q.; Zhang, X. Heat transfer model of a particle energy storage-based moving packed bed heat exchanger. Energy Storage 2020, 2, e113. [Google Scholar] [CrossRef]
- Mehos, M.; Turchi, C.; Vidal, J.; Wagner, M.; Ma, Z.; Ho, C.; Kolb, W.; Andraka, C.; Kruizenga, A. Concentrating Solar Power Gen3 Demonstration Roadmap; No. NREL/TP-5500-67464; National Renewable Energy Lab (NREL): Golden, CO, USA, 2017; pp. 1–140.
- Tian, X.; Yang, J.; Guo, Z.; Wang, Q. Numerical study of heat transfer for gravity-driven particle flow along a vertical oscillating pin-fin plate. Chem. Eng. Trans. 2020, 81, 175–180. [Google Scholar]
- Albrecht, K.J.; Ho, C.K. Heat transfer models of moving packed-bed particle-to-sCO2 heat exchangers. J. Sol. Energy Eng. Trans. Asme 2019, 141, 1–8. [Google Scholar] [CrossRef]
- Albrecht, K.J.; Ho, C.K. Design and operating considerations for a shell-and-plate, moving packed-bed, particle-to-sCO2 heat exchanger. Sol. Energy 2019, 178, 331–340. [Google Scholar] [CrossRef]
- Deng, S.; Wen, Z.; Lou, G.; Zhang, D.; Su, F.; Liu, X.; Dou, R. Process of particles flow across staggered tubes in moving bed. Chem. Eng. Sci. 2020, 217, 115507. [Google Scholar] [CrossRef]
- Chen, L.; Wang, C.; Moscardini, M.; Kamlah, M.; Liu, S. A DEM-based heat transfer model for the evaluation of effective thermal conductivity of packed beds filled with stagnant fluid: Thermal contact theory and numerical simulation. Int. J. Heat Mass Transf. 2019, 132, 331–346. [Google Scholar] [CrossRef]
- Qi, F.; Wright, M.M. Particle scale modeling of heat transfer in granular flows in a double screw reactor. Powder Technol. 2018, 335, 18–34. [Google Scholar] [CrossRef]
- Mindlin, R.D.; Deresiewicz, H. Elastic spheres in contact under varying oblique forces. J. Appl. Mech. 1953, 20, 327–344. [Google Scholar]
- Zhang, R.; Yang, H.; Lu, J.; Wu, Y. Theoretical and experimental analysis of bed-to-wall heat transfer in heat recovery processing. Powder Technol. 2013, 249, 186–195. [Google Scholar] [CrossRef]
- Molerus, O. Heat transfer in moving beds with a stagnant interstitial gas. Int. J. Heat Mass Transf. 1997, 40, 4151–4159. [Google Scholar] [CrossRef]
- Chen, R.; Guo, K.; Zhang, Y.; Tian, W.; Qiu, S.; Su, G.H. Numerical analysis of the granular flow and heat transfer in the ADS granular spallation target. Nucl. Eng. Des. 2018, 330, 59–71. [Google Scholar] [CrossRef]
- Zehner, P.; Schlünder, E.U. Thermal conductivity of granular materials at moderate temperatures. Chem. Ing. Tech. 1970, 42, 933–941. [Google Scholar] [CrossRef]










| Name | Parameter | Value | Name | Parameter | Value | Name | Parameter | Value |
|---|---|---|---|---|---|---|---|---|
| geometry | L (mm) | 20 | geometry | Lg (mm) | 10 | particle | ρ (kg/m3) | 2848 |
| W (mm) | 10 | Wg (mm) | 14 | Cp (J/(kg·K)) | 1210 | |||
| H (mm) | 20 | Hg (mm) | 14 | λp (W/(m·K)) | 0.55 | |||
| D (mm) | 4 | TPFPU (K) | 300 | dp (mm) | 0.8 | |||
| gas | λg (W/(m·K)) | 0.0257 | time step | Δt (s) | 1.2 × 10−6 | Tin (K) | 700 |
| Mechanical Parameters | Value | Mechanical Parameters | Value |
|---|---|---|---|
| E (particle, Pa) | 5.5 × 108 | Static friction coefficient (particle–particle) | 0.154 |
| E (wall, Pa) | 1.82 × 1011 | Rolling friction coefficient (particle–wall) | 0.1 |
| Poisson’s ratio (particle) | 0.25 | Rolling friction coefficient (particle–particle) | 0.1 |
| Poisson’s ratio (wall) | 0.30 | Restitution coefficient (particle–wall) | 0.5 |
| Static friction coefficient (particle–wall) | 0.154 | Restitution coefficient (particle–particle) | 0.3 |
| Case | 1 | 2 | 3 | 4 | 5 | 6 | Heat Exchange Surface |
| Oscillating direction | - | - | Y | Y | Y | Y | ![]() |
| Frequency (Hz) | - | 0 | 1 | 3 | 5 | 10 | |
| Amplitude (mm) | - | - | 0.25 D | 0.25 D | 0.25 D | 0.25 D | |
| Oscillation locus | - | - | Sinusoid | ||||
| Case | 7 | 8 | 9 | 10 | 11 | 12 | 13 |
| Oscillating direction | Y | Y | Y | Z | Z | Z | Z |
| Frequency (Hz) | 3 | 3 | 3 | 3 | 3 | 3 | 3 |
| Amplitude (mm) | 0.5 D | 0.75 D | 1.25 D | 0.25 D | 0.5 D | 0.75 D | 1.25 D |
| Oscillation locus | Sinusoid | Sinusoid | Sinusoid | ||||
| Simulation Cases | 1 | 2 | 4 |
|---|---|---|---|
| Total contact number (N/mm2) | 1.31 | 1.15 | 1.40 |
| Pin-fin contact number (N/mm2) | - | 0.87 | 1.18 |
| Total Heat transfer rate Φ (W) | 14.60 | 20.94 | 27.63 |
| Percentage increase of Φ (%) | - | 44 | 89 |
| Pin-fin Heat transfer rate ΦPin-fin (W) | - | 8.27 | 12.38 |
| Heat transfer coefficient k (W/(m2·K)) | 186 | 169 | 224 |
| Percentage increase of k (%) | - | −8.4 | 21 |
| Particle outlet temperature (K) | 656 | 630 | 616 |
Publisher’s Note: MDPI stays neutral with regard to jurisdictional claims in published maps and institutional affiliations. |
© 2021 by the authors. Licensee MDPI, Basel, Switzerland. This article is an open access article distributed under the terms and conditions of the Creative Commons Attribution (CC BY) license (https://creativecommons.org/licenses/by/4.0/).
Share and Cite
Tian, X.; Yang, J.; Guo, Z.; Wang, Q. Numerical Investigation of Gravity-Driven Granular Flow around the Vertical Plate: Effect of Pin-Fin and Oscillation on the Heat Transfer. Energies 2021, 14, 2187. https://doi.org/10.3390/en14082187
Tian X, Yang J, Guo Z, Wang Q. Numerical Investigation of Gravity-Driven Granular Flow around the Vertical Plate: Effect of Pin-Fin and Oscillation on the Heat Transfer. Energies. 2021; 14(8):2187. https://doi.org/10.3390/en14082187
Chicago/Turabian StyleTian, Xing, Jian Yang, Zhigang Guo, and Qiuwang Wang. 2021. "Numerical Investigation of Gravity-Driven Granular Flow around the Vertical Plate: Effect of Pin-Fin and Oscillation on the Heat Transfer" Energies 14, no. 8: 2187. https://doi.org/10.3390/en14082187
APA StyleTian, X., Yang, J., Guo, Z., & Wang, Q. (2021). Numerical Investigation of Gravity-Driven Granular Flow around the Vertical Plate: Effect of Pin-Fin and Oscillation on the Heat Transfer. Energies, 14(8), 2187. https://doi.org/10.3390/en14082187


