Energy and Temperature-Dependent Viscosity Analysis on Magnetized Eyring-Powell Fluid Oscillatory Flow in a Porous Channel
Abstract
:1. Introduction
2. Mathematical Formulation
Dimensionless Formulation of the Mathematical Model
3. Solution to the Problem
- Solution of the Heat Equations
- ii.
- Solution for Motion Equation
- Zeros-order system ()
- ii.
- First-order system ()
3.1. Approximation of Solution for
- Zeros-Order System ()
- ii.
- First-Order System ()
3.2. Approximate Solution for
- Zero-Order System ()
- ii.
- First-Order System ()
4. Results and Discussion
5. Conclusions
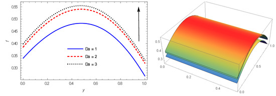
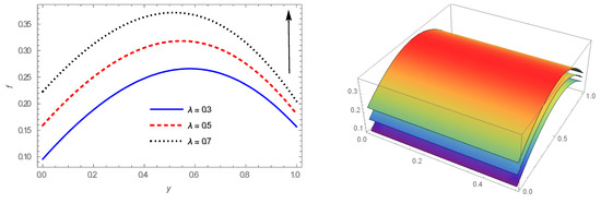
- Increasing the radiation parameter and Prandtl number increases the velocity profile.
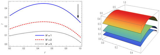
- Increase in and lead to a decreasing pattern in the velocity field due to the existence of the Lorentz force in the flow, thereby generating resistance.
- Higher radiation parameter and injection parameter values cause increases in the temperature profile.
- Temperature decreases when the increases.
Author Contributions
Funding
Conflicts of Interest
Nomenclature
| () | Prandtl number |
| () | Density |
| () | Pressure |
| () | Temperature |
| () | Electrical conductivity |
| () | Magnetic field |
| ) | Specific heat |
| (K) | Thermal conductivity |
| () | Ambient temperature |
| () | Radiation heat flux |
| () | Expression of velocity in horizontal and vertical directions, respectively |
| () | Nanoparticles, thermal conductivity |
| () | Fluid viscosity |
| () | Dimensionless temperature of the model |
| () | Radiation absorption |
| () | viscosity of the nanofluid effective dynamic |
| () | Darcray number |
| () | Constant horizontal velocity |
| () | Base fluid thermal expansion coefficient |
| () | Dimensionless magnetic parameter |
| () | Stagnation speed |
| () | Darcy number |
| (N) | Radiation parameter |
| () | Frequency of oscillation |
| () | The ratio of relaxation to retardation time |
| () | The real parameter |
| (A) | Dimensionless Eyring Powell fluid parameter |
| (We) | Weissenberg number |
| (Re) | Reynolds number |
| (S) | Suction/Injection parameter |
| (t) | Time |
| () | Aviation of viscosity with temperature |
| Convergence parameter | |
| () | Temperature at initial stage |
References
- Rahimi, J.; Ganji, D.; Khaki, M.; Hosseinzadeh, K. Solution of the boundary layer flow of an Eyring-Powell non-Newtonian fluid over a linear stretching sheet by collocation method. Alex. Eng. J. 2017, 56, 621–627. [Google Scholar] [CrossRef] [Green Version]
- Ghadikolaei, S.; Hosseinzadeh, K.; Ganji, D. Analysis of unsteady MHD Eyring-Powell squeezing flow in stretching channel with considering thermal radiation and Joule heating effect using AGM. Case Stud. Therm. Eng. 2017, 10, 579–594. [Google Scholar] [CrossRef]
- Powell, R.E.; Eyring, H. Mechanisms for the relaxation theory of viscosity. Nature 1944, 154, 427–428. [Google Scholar] [CrossRef]
- Hina, S.; Mustafa, M.; Hayat, T.; Alsaedi, A. Peristaltic transport of Powell Eyriny fluid in a curved channel with heat/mass transfer and wall properties. Int. J. Heat Mass Transf. 2016, 110, 156–165. [Google Scholar] [CrossRef]
- Longo, S.; Di Federico, V.; Chiapponi, L.; Archetti, R. Experimental verification of power-law non-Newtonian axisymmetric porous gravity currents. J. Fluid Mech. 2013, 731, R2. [Google Scholar] [CrossRef] [Green Version]
- Jalil, M.; Asghar, S.; Imran, S. Self-similar solutions for the flow and heat transfer of Powell-Eyring fluid over a moving surface in a parallel free stream. Int. J. Heat Mass Transf. 2013, 65, 73–79. [Google Scholar] [CrossRef]
- Hayat, T.; Ali, S.; Alsaedi, A.; Alsulami, H.H. Influence of thermal radiation and Joule heating in the Eyring-Powell fluid flow with the Soret and Dufour effects. J. Appl. Mech. Tech. Phys. 2016, 57, 1051–1060. [Google Scholar] [CrossRef]
- Nadeem, S.; Saleem, S. Mixed convection flow of Eyring-Powell fluid along a rotating cone. Results Phys. 2014, 4, 54–62. [Google Scholar] [CrossRef] [Green Version]
- Tanveer, A.; Malik, M. Slip and porosity effects on peristalsis of MHD Ree-Eyring nanofluid in curved geometry. Ain Shams Eng. J. 2021, 12, 955–968. [Google Scholar] [CrossRef]
- Hayat, T.; Iqbal, Z.; Qasim, M.; Obaidat, S. Steady flow of an Eyring Powell fluid over a moving surface with convective boundary conditions. Int. J. Heat Mass Transf. 2012, 55, 1817–1822. [Google Scholar] [CrossRef]
- Al-Mdallal, Q.M.; Renuka, A.; Muthtamilselvan, M.; Abdalla, B. Ree-Eyring fluid flow of Cu-water nanofluid between infinite spinning disks with an effect of thermal radiation. Ain Shams Eng. J. 2021, 12, 2947–2956. [Google Scholar] [CrossRef]
- Xia, W.F.; Haq, F.; Saleem, M.; Khan, M.I.; Khan, S.U.; Chu, Y.M. Irreversibility analysis in natural bio-convective flow of Eyring-Powell nanofluid subject to activation energy and gyrotactic microorganisms. Ain Shams Eng. J. 2021. [Google Scholar] [CrossRef]
- Ara, A.; Khan, N.A.; Khan, H.; Sultan, F. Radiation effect on boundary layer flow of an Eyring-Powell fluid over an exponentially shrinking sheet. Ain Shams Eng. J. 2014, 5, 1337–1342. [Google Scholar] [CrossRef] [Green Version]
- Abbas, M.A.; Bai, Y.Q.; Rashidi, M.M.; Bhatti, M.M. Application of drug delivery in magnetohydrodynamics peristaltic blood flow of nanofluid in a non-uniform channel. J. Mech. Med. Biol. 2016, 16, 1650052. [Google Scholar] [CrossRef]
- Bbas, M.A.; Bai, Y.; Rashidi, M.M.; Bhatti, M.M. Analysis of entropy generation in the flow of peristaltic nanofluids in channels with compliant walls. Entropy 2016, 18, 90. [Google Scholar]
- Bhatti, M.M.; Abbas, M.A.; Rashidi, M.M. Combine effects of Magnetohydrodynamics (MHD) and partial slip on peristaltic Blood flow of Ree–Eyring fluid with wall properties. Eng. Sci. Technol. Int. J. 2016, 19, 1497–1502. [Google Scholar] [CrossRef] [Green Version]
- Wissam, S.K.; Hasan, H.D.; Hayder, K.M. Oscillatory Flow MHD of Jeffrey Fluid with Temperature-Dependent Viscosity (TDV) in a Saturated Porous Channel. Iraqi J. Sci. 2021, 27–34. [Google Scholar] [CrossRef]
- Wissam, S.K.; Dheia, G.S. Influence of Heat Transfer on MHD Oscillatory Flow for Williamson Fluid with Variable Viscosity through a Porous Medium. Int. J. Fluid Mec. Therm. Sci. 2018, 4, 11–17. [Google Scholar]
- Dawar, A.; Shah, Z.; Idrees, M.; Khan, W.; Islam, S.; Gul, T. Impact of thermal radiation and heat source/sink on Eyring-Powell fluid flow over an unsteady oscillatory porous stretching surface. Math. Comput. Appl. 2018, 23, 20. [Google Scholar] [CrossRef] [Green Version]













Publisher’s Note: MDPI stays neutral with regard to jurisdictional claims in published maps and institutional affiliations. |
© 2021 by the authors. Licensee MDPI, Basel, Switzerland. This article is an open access article distributed under the terms and conditions of the Creative Commons Attribution (CC BY) license (https://creativecommons.org/licenses/by/4.0/).
Share and Cite
Yang, M.; Abbas, M.A.; Khudair, W.S. Energy and Temperature-Dependent Viscosity Analysis on Magnetized Eyring-Powell Fluid Oscillatory Flow in a Porous Channel. Energies 2021, 14, 7829. https://doi.org/10.3390/en14237829
Yang M, Abbas MA, Khudair WS. Energy and Temperature-Dependent Viscosity Analysis on Magnetized Eyring-Powell Fluid Oscillatory Flow in a Porous Channel. Energies. 2021; 14(23):7829. https://doi.org/10.3390/en14237829
Chicago/Turabian StyleYang, Meng, Munawwar Ali Abbas, and Wissam Sadiq Khudair. 2021. "Energy and Temperature-Dependent Viscosity Analysis on Magnetized Eyring-Powell Fluid Oscillatory Flow in a Porous Channel" Energies 14, no. 23: 7829. https://doi.org/10.3390/en14237829
APA StyleYang, M., Abbas, M. A., & Khudair, W. S. (2021). Energy and Temperature-Dependent Viscosity Analysis on Magnetized Eyring-Powell Fluid Oscillatory Flow in a Porous Channel. Energies, 14(23), 7829. https://doi.org/10.3390/en14237829

