A New Anelasticity Model for Wave Propagation in Partially Saturated Rocks
Abstract
:1. Introduction
2. Model
2.1. Patchy-Saturation (White) Model
2.2. Squirt Flow Model
2.3. Patch-Saturation and Squirt Flow Models Combined
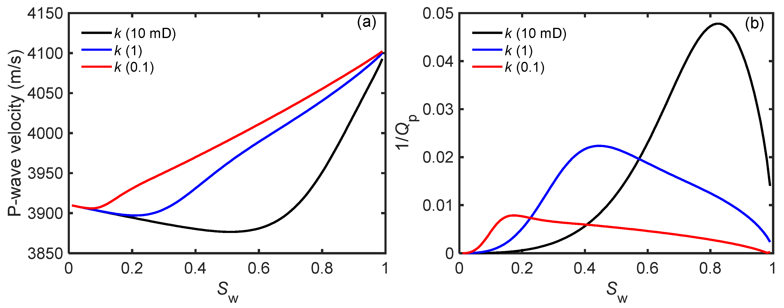
2.4. Results
3. Ultrasonic Data
3.1. Rock Specimen and Experiment
3.2. Experimental Results
3.3. Crack Parameters and Squirt Flow Length
- (1)
- The dry rock bulk and shear moduli are calculated from the velocities aswhere , and are the P- and S-wave velocities of full gas saturation, respectively.
- (2)
- The high-pressure dry rock bulk modulus, when the microcracks are closed, can be obtained from the linear trend of the dry rock velocities.
- (3)
- The microcrack porosity and density is estimated at different pressures by using the DZ model [52], based on the experiment data (see Appendix A).
- (4)
- The characteristic squirt flow length is estimated. This is an important parameter of the model and can be obtained with a least square method by matching the reformulated modified frame squirt flow model prediction with the experimental data at full water saturation.
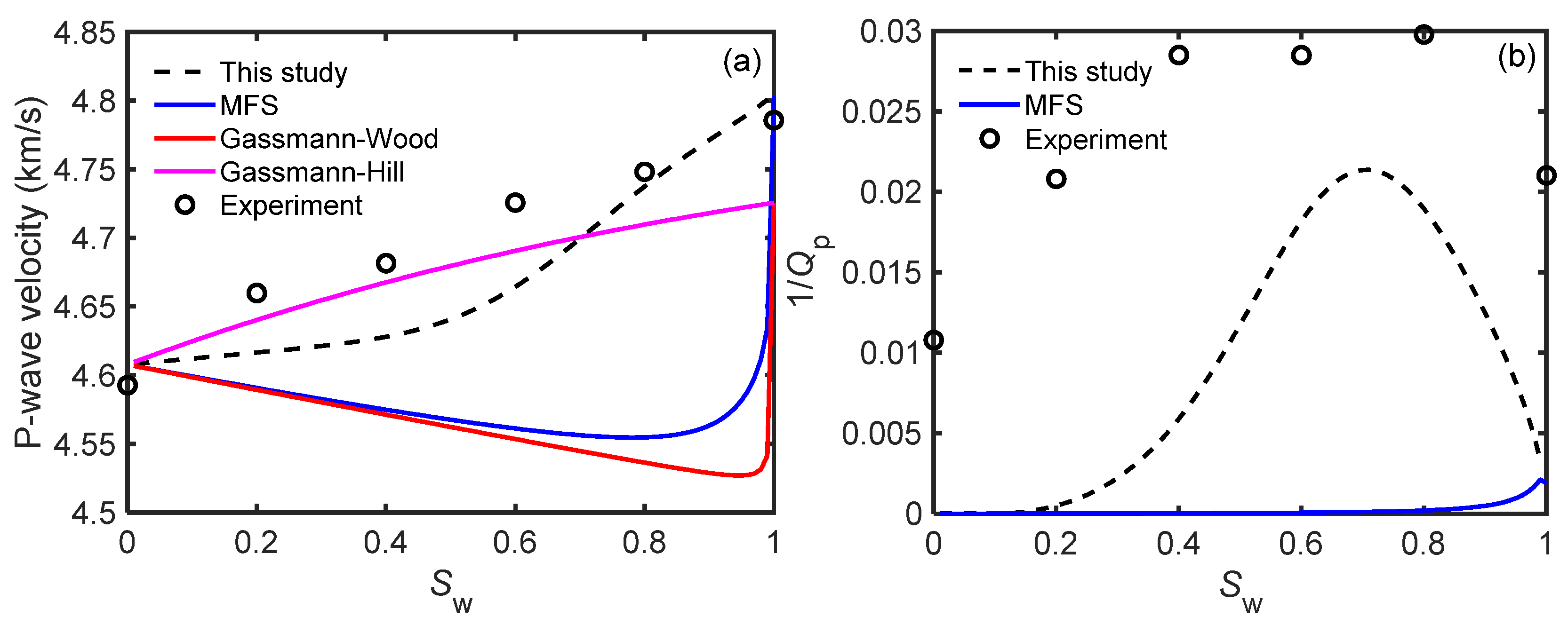
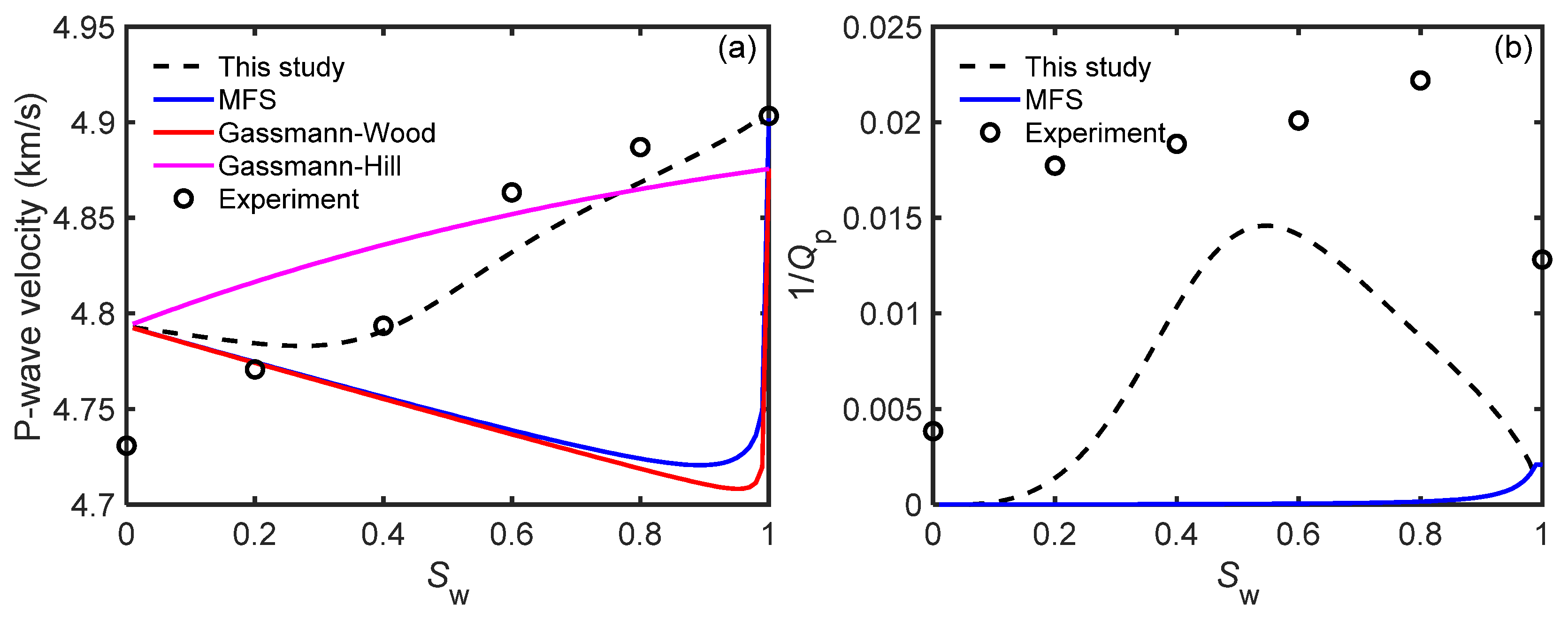
4. Comparison between Theory and Experiment
4.1. Effect of Saturation
4.2. Effect of Effective Pressure
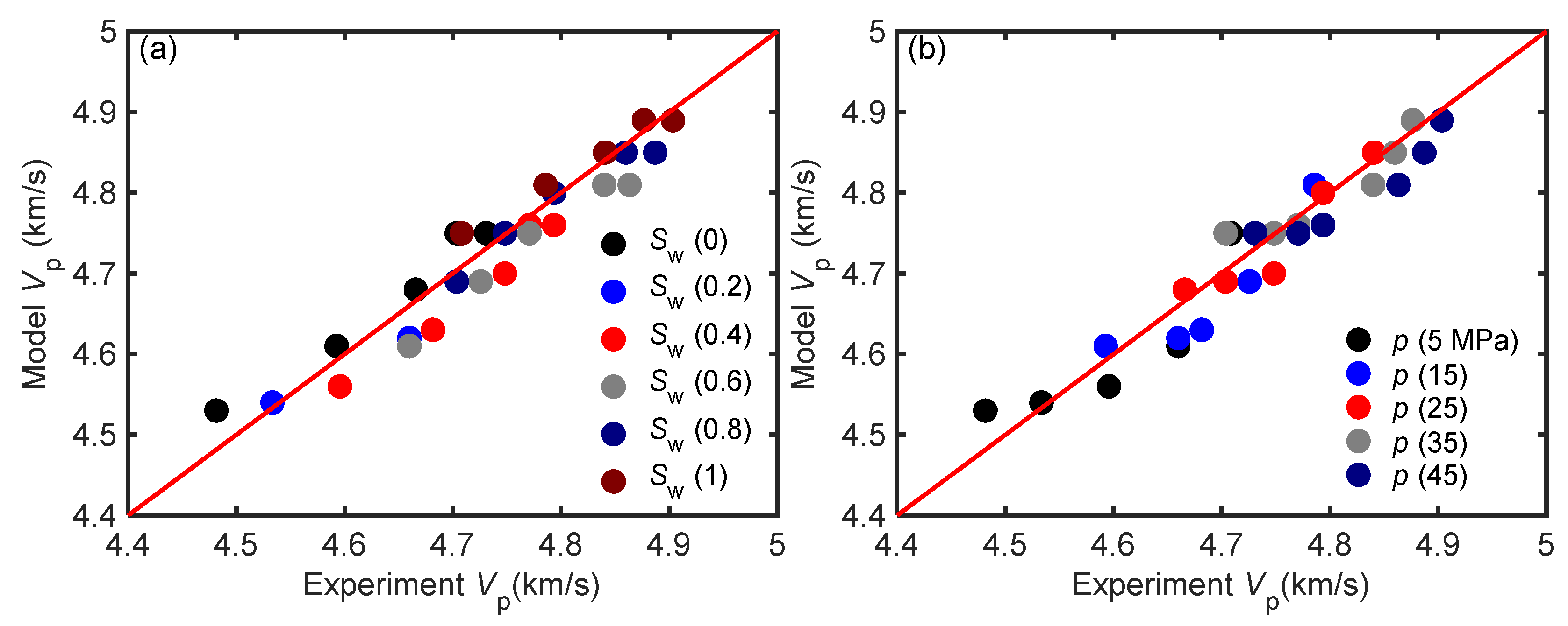
4.3. Crossplots
5. Conclusions
Author Contributions
Funding
Institutional Review Board Statement
Informed Consent Statement
Data Availability Statement
Acknowledgments
Conflicts of Interest
Appendix A. Symbols
| gas saturation | |
| outer diameter of the patch | |
| wet rock bulk modulus with the meso description of anelasticity | |
| bulk modulus at the high-frequency limit | |
| Gdry | dry rock shear modulus |
| bulk modulus of the mineral mixture | |
| microcrack porosity | |
| angular frequency | |
| permeability | |
| zero-order Bessel function | |
| modified dry-frame bulk modulus | |
| high-pressure modulus | |
| characteristic frequency | |
| mineral density | |
| wet rock bulk modulus with the micro and meso description of anelasticity | |
| gas fluid modulus | |
| gas viscosity | |
| Sw | water saturation |
| water density | |
| inner diameter of the patch | |
| ϕ | porosity |
| wet rock shear modulus with the meso description of anelasticity | |
| a complex function of porosity, permeability and fluid viscosity, etc. | |
| modified bulk modulus | |
| dry rock bulk modulus | |
| R | characteristic squirt flow length |
| fluid viscosity | |
| Kfl | bulk modulus of the fluid |
| first-order Bessel function | |
| Gmd | modified dry-frame shear modulus |
| additional coupling density | |
| uniaxial modulus of the rock skeleton under drained conditions | |
| fluid density | |
| wet rock shear modulus with the micro and meso description of anelasticity | |
| water fluid modulus | |
| η2 | water viscosity |
| gas density | |
| bulk density |
References
- Winkler, K.W. Dispersion analysis of velocity and attenuation in Berea sandstone. J. Geophys. Res. Solid Earth 1985, 90, 6793–6800. [Google Scholar] [CrossRef]
- Knight, R.; Nolen-Hoeksema, R. A laboratory study of the dependence of elastic wave velocities on pore scale fluid distribution. Geophys. Res. Lett. 1990, 17, 1529–1532. [Google Scholar] [CrossRef]
- Gist, G.A. Interpreting laboratory velocity measurements inpartially gas-saturated rocks. Geophysics 1994, 59, 1100–1109. [Google Scholar] [CrossRef]
- Mavko, G.; Nolen-Hoeksema, R. Estimating seismic velocities at ultrasonic frequencies in partially saturated rocks. Geophysics 1994, 59, 252–258. [Google Scholar] [CrossRef] [Green Version]
- Zhao, H.B.; Wang, X.M.; Chen, S.M.; Li, L.L. Acoustic response characteristics of unsaturated porous media. Sci. China Phys. Mech. Astron. 2010, 53, 1388–1396. [Google Scholar] [CrossRef]
- Ba, J.; Yan, X.F.; Chen, Z.Y.; Xu, G.C.; Bian, C.S.; Cao, H.; Yao, F.C.; Sun, W.T. Rock physics model and gas saturation inversion for heterogeneous gas reservoirs. Chin. J. Geophys. 2013, 56, 1696–1706. (In Chinese) [Google Scholar]
- Sun, W.T.; Ba, J.; Müller, T.M.; Carcione, J.M.; Cao, H. Comparison of P-wave attenuation models of wave-induced flow. Geophys. Prospect. 2014, 63, 378–390. [Google Scholar] [CrossRef]
- Cheng, W.; Ba, J.; Fu, L.Y.; Lebedev, M. Wave-velocity dispersion and rock microstructure. J. Pet. Sci. Eng. 2019, 183, 106466. [Google Scholar] [CrossRef]
- Müller, T.M.; Gurevich, B.; Lebedev, M. Seismic wave attenuation and dispersion resulting from wave-induced flow in porous rocks-a review. Geophysics 2010, 75, 75A147–75A164. [Google Scholar] [CrossRef]
- Biot, M.A. Theory of propagation of elastic waves in a fluid-saturated porous solid, I: Low frequency range. J. Acoust. Soc. Am. 1956, 28, 168–178. [Google Scholar] [CrossRef]
- Biot, M.A. Theory of propagation of elastic waves in a fluid-saturated porous solid, II: Higher frequency range. J. Acoust. Soc. Am. 1956, 28, 179–191. [Google Scholar] [CrossRef]
- Biot, M.A. Mechanics of deformation and acoustic propagation in porous media. J. Appl. Phys. 1962, 33, 1482–1498. [Google Scholar] [CrossRef]
- Mavko, G.; Mukerji, T.; Dvorkin, J. The Rock Physics Handbook: Tools for Seismic Analysis of Porous Media, 2nd ed.; Cambridge University Press: Cambridge, UK, 2009. [Google Scholar]
- Murphy, W.F. Effects of partial water saturation on attenuation in Massilon sandstone and Vycor porous glass. J. Acoust. Soc. Am. 1982, 71, 1458–1468. [Google Scholar] [CrossRef]
- Carcione, J.M.; Picotti, S. P-wave seismic attenuation by slow-wave diffusion: Effects of inhomogeneous rock properties. Geophysics 2006, 71, 1–8. [Google Scholar] [CrossRef] [Green Version]
- Deng, J.X.; Wang, S.X.; Du, W. A study of the influence of mesoscopic pore fluid flow on the propagation properties of compressional wave-A case of periodic layered porous media. Chin. J. Geophys. 2012, 55, 2716–2727. (In Chinese) [Google Scholar]
- Wang, D.X. Study on the rock physics model of gas reservoirs in tight sandstone. Chin. J. Geophys. 2016, 59, 4603–4622. (In Chinese) [Google Scholar]
- Ba, J.; Xu, W.H.; Fu, L.Y.; Carcione, J.M.; Zhang, L. Rock anelasticity due to patchy saturation and fabric heterogeneity, A double double-porosity model of wave propagation. J. Geophys. Res. Solid Earth 2017, 122, 1949–1976. [Google Scholar] [CrossRef]
- Ba, J.; Ma, R.P.; Carcione, J.M.; Picotti, S. Ultrasonic wave attenuation dependence on saturation in tight oil siltstones. J. Pet. Sci. Eng. 2019, 179, 1114–1122. [Google Scholar] [CrossRef]
- White, J.E. Computed seismic speeds and attenuation in rocks with partial gas saturation. Geophysics 1975, 40, 224–232. [Google Scholar] [CrossRef]
- Dutta, N.C.; Odé, H. Attenuation and dispersion of compressional waves in fluid-filled porous rocks with partial gas saturation (White model)-Part I: Biot theory. Geophysics 1979, 44, 1777–1788. [Google Scholar] [CrossRef]
- Johnson, D.L. Theory of frequency dependent acoustics in patchy-saturated porous media. J. Acoust. Soc. Am. 2001, 110, 682–694. [Google Scholar] [CrossRef] [Green Version]
- Liu, J.; Ma, J.W.; Yang, H.Z. Research on P-wave’s propagation in White′s sphere model with patchy saturation. Chin. J. Geophys. 2010, 53, 954–962. (In Chinese) [Google Scholar]
- Mavko, G.; Nur, A. Melt squirt in the asthenosphere. J. Geophys. Res. 1975, 80, 1444–1448. [Google Scholar] [CrossRef]
- Carcione, J.M.; Gurevich, B. Differential form and numerical implementation of Biot’s poroelasticity equations with squirt dissipation. Geophysics 2011, 76, N55–N64. [Google Scholar] [CrossRef]
- Dvorkin, J.; Nur, A. Dynamic poroelasticity: A unified model with the squirt and the Biot mechanics. Geophysics 1993, 58, 524–533. [Google Scholar] [CrossRef]
- Gassmann, F. Uber die Elasticität Poröser Medien (On the elasticity of porous media. Vierteljahrsschr. Nat. Ges. Zürich 1951, 96, 1–23. [Google Scholar]
- Dvorkin, J.; Nolen-Hoeksema, R.; Nur, A. The squirt-flow mechanism: Macroscopic description. Geophysics 1994, 59, 428–438. [Google Scholar] [CrossRef] [Green Version]
- Wood, A.B. A Textbook of Sound; Bell: London, UK, 1941. [Google Scholar]
- Dvorkin, J.; Mavkon, G.; Nur, A. Squirt flow in fully saturated rocks. Geophysics 1995, 60, 97–107. [Google Scholar] [CrossRef]
- Wu, C.F.; Ba, J.; Carcione, J.M.; Fu, L.Y.; Chesnokov, E.M.; Zhang, L. A squirt-flow theory to model wave anelasticity in rocks. Phys. Earth Planet. Inter. 2020, 301, 106450. [Google Scholar] [CrossRef]
- Mavko, G.; Jizba, D. Estimating grain-scale fluid effects on velocity dispersion in rocks. Geophysics 1991, 56, 1940–1949. [Google Scholar] [CrossRef]
- Gurevich, B.; Makarynska, D.; de Paula, O.B.; Pervukhina, M. A simple model for squirt-flow dispersion and attenuation in fluid-saturated granular rocks. Geophysics 2010, 75, N109–N120. [Google Scholar] [CrossRef]
- Murphy, W.F.; Winkler, K.W.; Kleinberg, R.L. Acoustic relaxation in sedimentary rocks, dependence on grain contacts and fluid saturation. Geophysics 1986, 51, 757–766. [Google Scholar] [CrossRef]
- Pride, S.R.; Berryman, J.G.; Harris, J.M. Seismic attenuation due to wave-induced flow. J. Geophys. Res. Solid Earth 2004, 109, B01201. [Google Scholar] [CrossRef]
- Le, R.; Guéguen, M.Y.; Chelidze, T. Elastic wave velocities in partially saturated rocks: Saturation hysteresis. J. Geophys. Res. Solid Earth 1996, 101, 837–844. [Google Scholar]
- Tang, X.M. A unified theory for elastic wave propagation through porous media containing cracks-An extension of Biot’s poroelastic wave theory. Sci. China Earth Sci. 2011, 41, 784–795. [Google Scholar] [CrossRef]
- Jin, Z.Y.; Chapman, M.; Papageorgiou, G. Frequency-dependent anisotropy in a partially saturated fractured rock. Geophys. J. Int. 2018, 215, 1985–1998. [Google Scholar] [CrossRef] [Green Version]
- Zhang, L.; Ba, J.; Fu, L.; Carcione, J.M.; Cao, C. Estimation of pore microstructure by using the static and dynamic moduli. Int. J. Rock Mech. Min. Sci. 2019, 113, 24–30. [Google Scholar] [CrossRef]
- Zhang, L.; Ba, J.; Carcione, J.M. Wave propagation in infinituple-porosity media. J. Geophys. Res. Solid Earth 2021, 126, e2020JB021266. [Google Scholar] [CrossRef]
- Rubino, J.G.; Holliger, K. Research note: Seismic attenuation due to wave-induced fluid flow at microscopic and mesoscopic scales. Geophys. Prospect. 2013, 51, 369–379. [Google Scholar] [CrossRef]
- Li, D.Q.; Wei, J.X.; Di, B.R.; Ding, P.B.; Huang, S.Q.; Shuai, D. Experimental study and theoretical interpretation of saturation effect on ultrasonic velocity in tight sandstones under different pressure conditions. Geophys. J. Int. 2018, 212, 2226–2237. [Google Scholar] [CrossRef]
- Sun, W.T. On the theory of Biot-patchy-squirt mechanism for wave propagation in partially saturated double-porosity medium. Phys. Fluids 2021, 33, 076603. [Google Scholar] [CrossRef]
- Carcione, J.M.; Helle, H.B.; Pham, N.H. White’s model for wave propagation in partially saturated rocks: Comparison with poroelastic numerical experiments. Geophysics 2003, 68, 1389–1398. [Google Scholar] [CrossRef]
- Toksöz, M.N.; Johnston, D.H. Seismic Wave Attenuation; Geophysics Reprint Series; Society of Exploration Geophysicists: Tulsa, OK, USA, 1981. [Google Scholar]
- Guo, M.Q.; Fu, L.Y.; Ba, J. Comparison of stress-associated coda attenuation and intrinsic attenuation from ultrasonic measurements. Geophys. J. Int. 2009, 178, 447–456. [Google Scholar] [CrossRef] [Green Version]
- Yan, X.F.; Yao, F.C.; Cao, H.; Ba, J.; Hu, L.L.; Yang, Z.F. Analyzing the mid-low porosity sandstone dry frame in central Sichuan based on effective medium theory. Appl. Geophys. 2011, 8, 163–170. [Google Scholar] [CrossRef]
- Ma, R.P.; Ba, J. Coda and intrinsic attenuations from ultrasonic measurements in tight siltstones. J. Geophys. Res. Solid Earth 2020, 125, e2019JB018825. [Google Scholar] [CrossRef]
- Deng, J.X.; Zhou, H.; Wang, H.; Zhao, J.G. The influence of pore structure in reservoir sandstone on dispersion properties of elastic waves. Chin. J. Geophys. 2015, 58, 3389–3400. (In Chinese) [Google Scholar]
- Song, L.T.; Wang, Y.; Liu, Z.H.; Wang, Q. Elastic anisotropy characteristics of tight sands under different confining pressures and fluid saturation states. Chin. J. Geophys. 2015, 58, 3401–3411. (In Chinese) [Google Scholar]
- Chen, Y.; Huang, T.F.; Liu, E.R. Rock Physics; China University of Science and Technology Press: Hefei, China, 2009. (In Chinese) [Google Scholar]
- David, E.C.; Zimmerman, R.W. Pore structure model for elastic wave velocities in fluid-saturated sandstones. J. Geophys. Res. Solid Earth 2012, 117, B07210. [Google Scholar] [CrossRef]
- Ba, J.; Zhang, L.; Wang, D.; Yuan, Z.; Cheng, W.; Ma, R.; Wu, C. Experimental analysis on P-wave attenuation in carbonate rocks and reservoir identification. J. Seism. Explor. 2018, 27, 371–402. [Google Scholar]
- Lucet, N.; Zinszner, B. Effects of heterogeneities and anisotropy on sonic and ultrasonic attenuation in rocks. Geophysics 1992, 57, 1018–1026. [Google Scholar] [CrossRef]
- Pang, M.Q.; Ba, J.; Ma, R.P.; Chen, T.S. Analysis of attenuation rock-physics template of tight sandstones: Reservoir microcrack prediction. Chin. J. Geophys. 2020, 63, 281–295. (In Chinese) [Google Scholar]
- Amalokwu, K.; Papageorgiou, G.; Chapman, M.; Best, A.I. Modelling ultrasonic laboratory measurements of the saturation dependence of elastic modulus: New insights and implications for wave propagation mechanisms. Int. J. Greenh. Gas Control 2017, 59, 148–159. [Google Scholar] [CrossRef] [Green Version]
- Wei, Y.J.; Ba, J.; Ma, R.P.; Zhang, L.; Carcione, J.M.; Guo, M.Q. Effect of effective pressure change on pore structure and elastic wave responses in tight sandstones. Chin. J. Geophys. 2020, 63, 2810–2822. (In Chinese) [Google Scholar]
- Sun, Y.Y.; Carcione, J.M.; Gurevich, B. Squirt-flow seismic dispersion models: A comparison. Geophys. J. Int. 2020, 222, 2068–2082. [Google Scholar] [CrossRef]
- Batzle, M.L.; Wang, Z.J. Seismic properties of pore fluids. Geophysics 1992, 57, 1396–1408. [Google Scholar] [CrossRef]
- Carcione, J.M. Wave Fields in Real Media. In Theory and Numerical Simulation of Wave Propagation in Anisotropic, Anelastic, Porous and Electromagnetic Media, 3rd ed.; Elsevier: Amsterdam, The Netherlands, 2014. [Google Scholar]
- Helle, H.B.; Pham, N.H.; Carcione, J.M. Velocity and attenuation in partially saturated rocks: Poroelastic numerical experiments. Geophys. Prospect. 2003, 55, 551–566. [Google Scholar] [CrossRef] [Green Version]
- Shapiro, S.A. Elastic piezosensitivity of porous and crackd rocks. Geophysics 2003, 68, 482–486. [Google Scholar] [CrossRef]
















| Mineral density (kg/m3) | 2650 | Porosity (%) | 10 |
| Mineral mixture bulk modulus (GPa) | 38 | Water bulk modulus (GPa) | 2.25 |
| Dry rock bulk modulus (GPa) | 17 | Gas bulk modulus (GPa) | 0.0022 |
| Dry rock shear modulus (GPa) | 12.6 | Water density (kg/m3) | 1000 |
| Permeability (mD) | 1 | Gas density (kg/m3) | 1.2 |
| Squirt flow length (mm) | 0.01 | Water viscosity (Pa·s) | 0.001 |
| High-pressure modulus (GPa) | 22 | Gas viscosity (Pa·s) | 0.00011 |
| Crack porosity (%) | 0.02 | External diameter (m) | 0.0005 |
Publisher’s Note: MDPI stays neutral with regard to jurisdictional claims in published maps and institutional affiliations. |
© 2021 by the authors. Licensee MDPI, Basel, Switzerland. This article is an open access article distributed under the terms and conditions of the Creative Commons Attribution (CC BY) license (https://creativecommons.org/licenses/by/4.0/).
Share and Cite
Wu, C.; Ba, J.; Zhong, X.; Carcione, J.M.; Zhang, L.; Ruan, C. A New Anelasticity Model for Wave Propagation in Partially Saturated Rocks. Energies 2021, 14, 7619. https://doi.org/10.3390/en14227619
Wu C, Ba J, Zhong X, Carcione JM, Zhang L, Ruan C. A New Anelasticity Model for Wave Propagation in Partially Saturated Rocks. Energies. 2021; 14(22):7619. https://doi.org/10.3390/en14227619
Chicago/Turabian StyleWu, Chunfang, Jing Ba, Xiaoqin Zhong, José M. Carcione, Lin Zhang, and Chuantong Ruan. 2021. "A New Anelasticity Model for Wave Propagation in Partially Saturated Rocks" Energies 14, no. 22: 7619. https://doi.org/10.3390/en14227619
APA StyleWu, C., Ba, J., Zhong, X., Carcione, J. M., Zhang, L., & Ruan, C. (2021). A New Anelasticity Model for Wave Propagation in Partially Saturated Rocks. Energies, 14(22), 7619. https://doi.org/10.3390/en14227619

