Numerical Investigation of Performance Enhancement of the S809 Airfoil and Phase VI Wind Turbine Blade Using Co-Flow Jet Technology
Abstract
:1. Introduction
2. Methodology
2.1. CFJ Airfoil Configuration Design
2.2. Numerical Methods
2.3. CFJ Airfoil Parameters
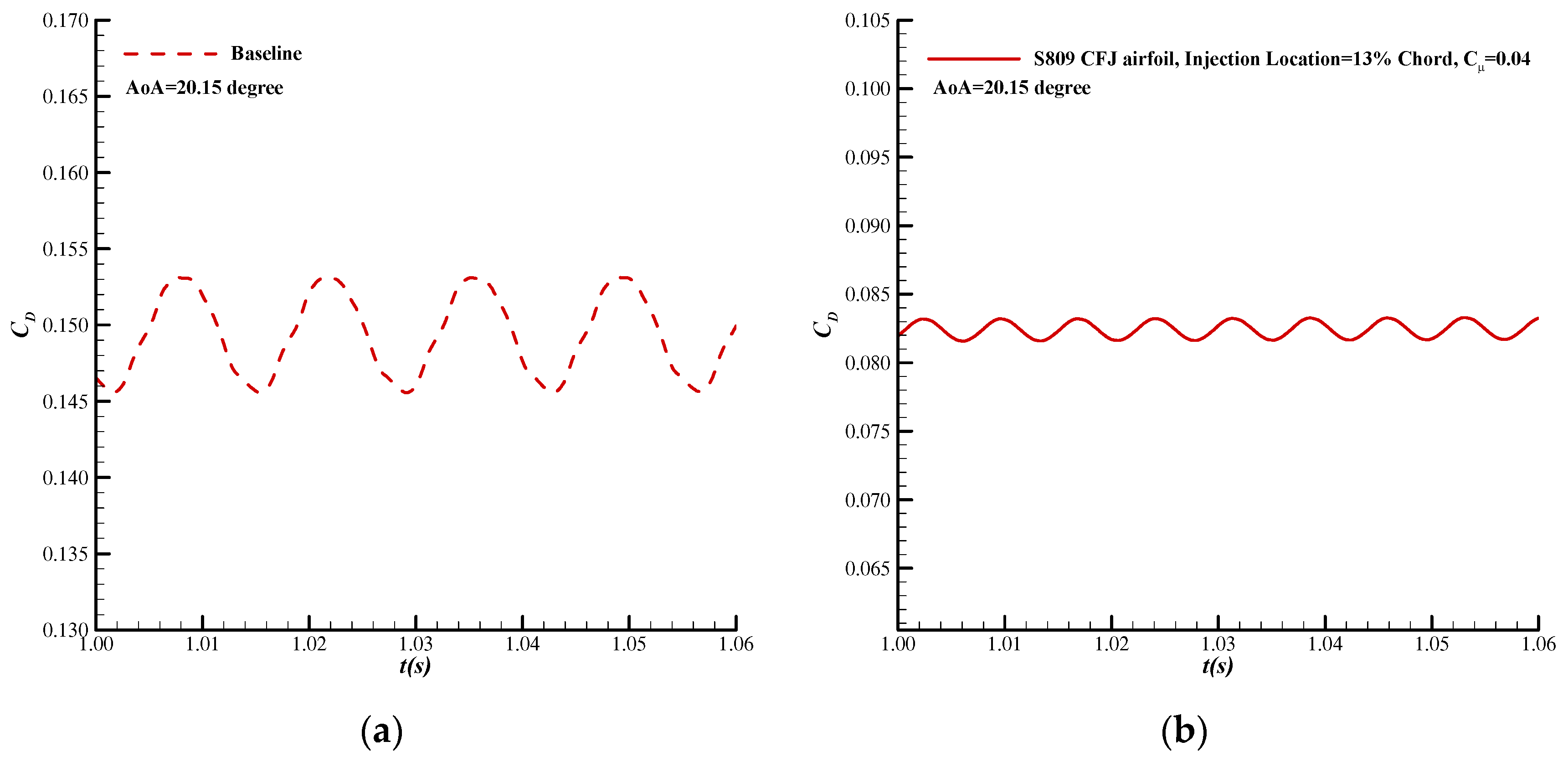
3. Results and Discussions
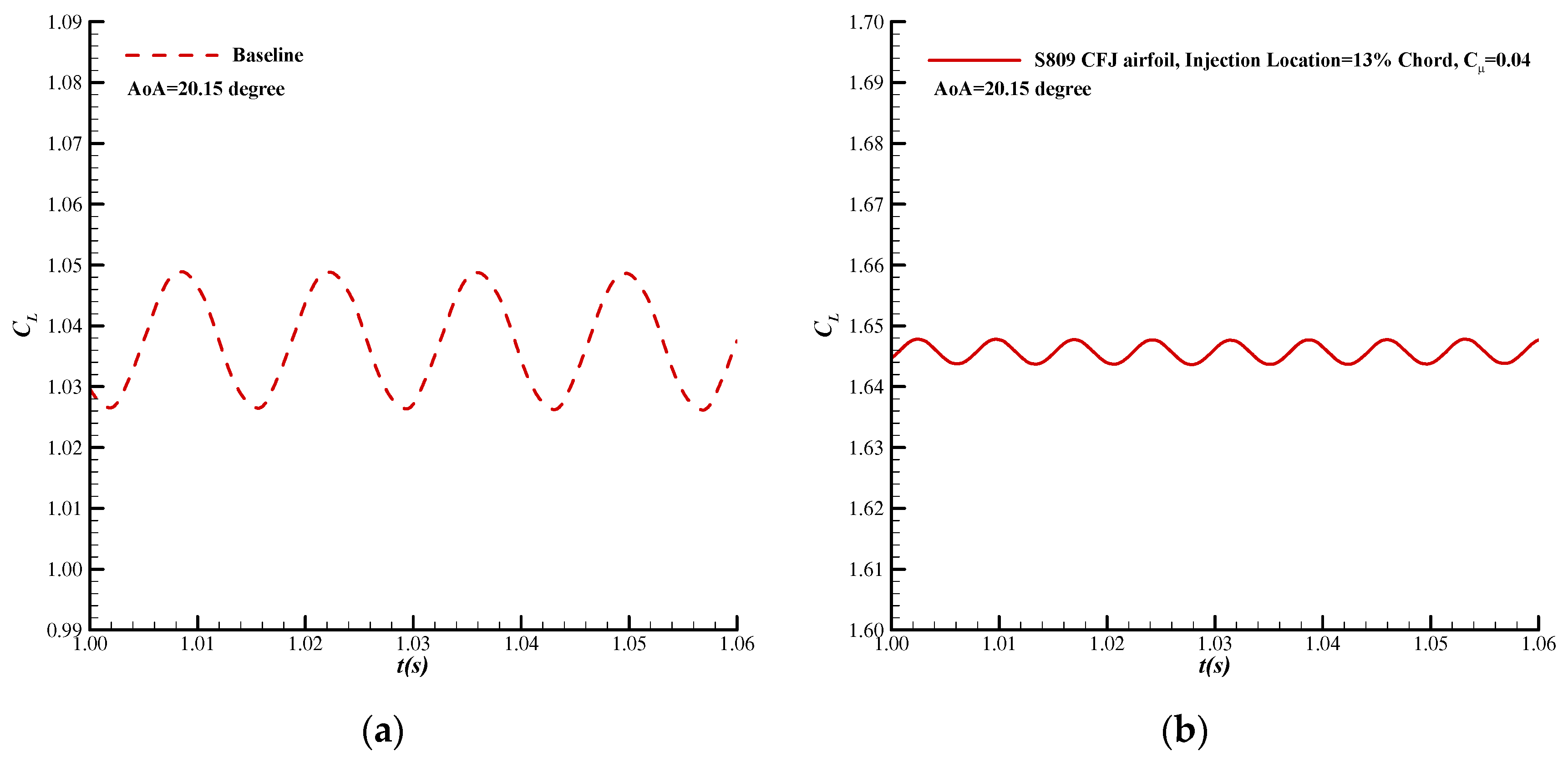
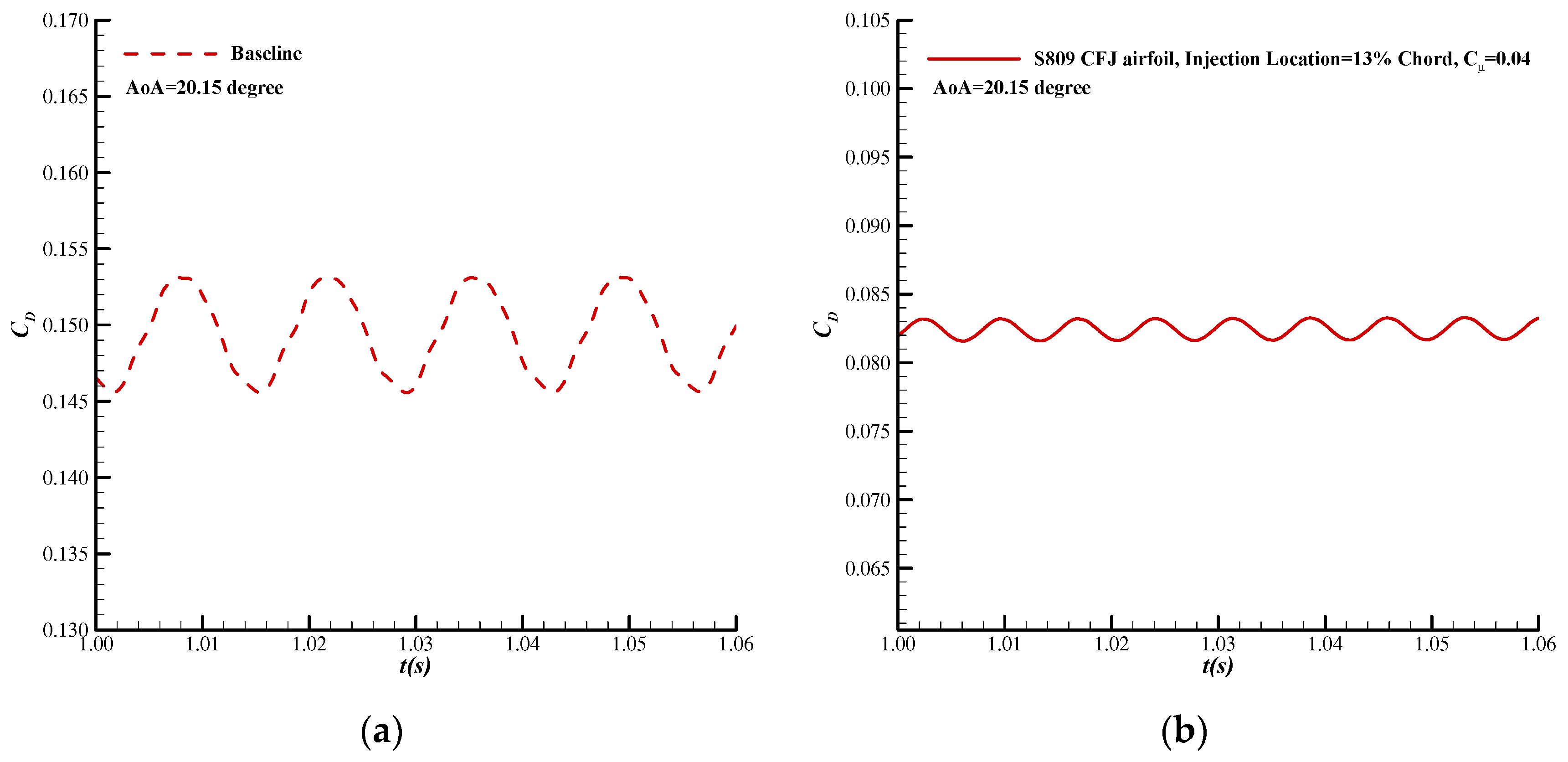
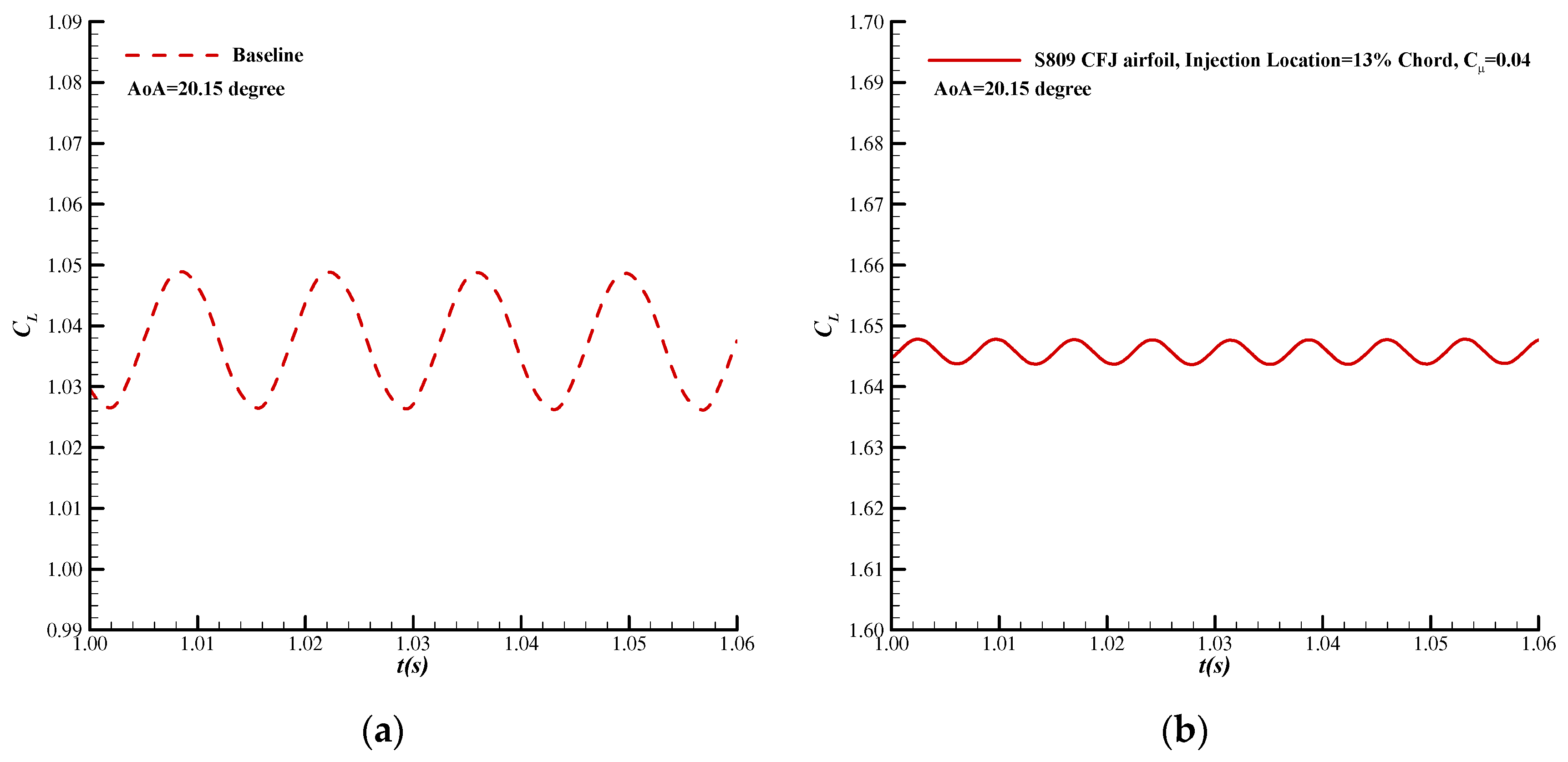
3.1. Baseline Simulation and Validation
3.2. Effect of the Injection Location
3.3. Effect of the Jet Momentum Coefficient
3.4. Performance Enhancement of the Wind Turbine Blade Using the CFJ Technology
4. Conclusions
- (1)
- The CFJ technology can significantly improve the maximum lift coefficient and maximum corrected lift-to-drag ratio of the S809 airfoil;
- (2)
- At the low AoA, the closer the injection location is to the leading edge, the better the lift and drag characteristics of S809 CFJ airfoil. At the high AoA, the more downstream the injection location, the stronger the flow separation suppression capability of S809 CFJ airfoil;
- (3)
- A S809 CFJ strategy with the adaptive Cμ is proposed. The small Cμ is used at the low AoA, and the Cμ gradually increases as the AoA rises. The performance of S809 CFJ airfoil with adaptive Cμ is comprehensively enhanced, and the maximum lift coefficient and maximum corrected lift-to-drag ratio of the typical S809 CFJ airfoil are improved by 119.7% and 36.2%, respectively;
- (4)
- The application of the CFJ technology to the Phase VI wind turbine blade can greatly improve the power coefficient at the low tip speed ratio. The maximum power coefficient of CFJ blade can be increased by 4.5%, and the power coefficient of CFJ blade can be boosted by 226.7% when the tip speed ratio is 1.52.
Future Work
Author Contributions
Funding
Institutional Review Board Statement
Informed Consent Statement
Data Availability Statement
Conflicts of Interest
References
- World Wind Energy Association. Available online: https://wwindea.org/worldwide-wind-capacity-reaches-744-gigawatts/ (accessed on 24 March 2021).
- Ahmed, M.R.; Nabolaniwaqa, E. Performance Improvement of a Wind Turbine Blade Designed for Low Wind Speeds With a Passive Trailing Edge Flap. In Proceedings of the ASME 2012 International Mechanical Engineering Congress & Exposition, Houston, TX, USA, 9–15 November 2012. [Google Scholar]
- Fernandez-Gamiz, U.; Zulueta, E.; Boyano, A.; Ansoategui, I.; Uriarte, I. Five Megawatt Wind Turbine Power Output Improvements by Passive Flow Control Devices. Energies 2017, 10, 742. [Google Scholar] [CrossRef] [Green Version]
- Zhang, H.; Zhao, Z.D.; Zhou, G.X.; Kang, S. Experimental Investigation of the Effect of Gurney Flap on Du93-W-210 Airfoil Aerodynamics Performance. Acta Energy Sol. Sin. 2017, 38, 601–606. [Google Scholar]
- Ahmed, M.R.; Nabolaniwaqa, E. Performance Studies on a Wind Turbine Blade Section for Low Wind Speeds With a Gurney Flap. J. Energy Resour. Technol. 2019, 141, 111202. [Google Scholar] [CrossRef]
- Inigo, A.; Unai, F.G.; Ekaitz, Z.; Aitor, S.A.; Daniel, S.A. Parametric Study of a Gurney Flap Implementation in a Du91w(2)250 Airfoil. Energies 2019, 12, 294. [Google Scholar]
- Afjeh, A.A.; Keith, T.G.; Fateh, A. Predicted aerodynamic performance of a horizontal-axis wind turbine equipped with vortex generators. J. Wind. Eng. Ind. Aerodyn. 1990, 33, 515–529. [Google Scholar] [CrossRef]
- Dai, L.P.; Jiao, J.D.; Li, X.K.; Kang, S.; Zhao, P. Numerical Investigation on Effect of Installation Position of Vortex Generator on Aerodynamic Characteristics of Wind Turbine Airfoil. Acta Energy Sol. Sin. 2016, 37, 276–281. [Google Scholar]
- Wang, H.; Zhang, B.; Qiu, Q.; Xu, X. Flow control on the NREL S809 wind turbine airfoil using vortex generators. Energy 2017, 118, 1210–1221. [Google Scholar] [CrossRef]
- Li, X.; Yang, K.; Wang, X. Experimental and Numerical Analysis of the Effect of Vortex Generator Height on Vortex Characteristics and Airfoil Aerodynamic Performance. Energies 2019, 12, 959. [Google Scholar] [CrossRef] [Green Version]
- Ye, Q.; Avallone, F.; Van Der Velden, W.; Casalino, D. Effect of Vortex Generators on NREL Wind Turbine: Aerodynamic Performance and Far-Field Noise. J. Phys. Conf. Ser. 2020, 1618, 52077. [Google Scholar] [CrossRef]
- Khameneh, N.; Tadjfar, M. Improment of Wind Turbine Efficiency by Using Synthetic Jets. In Proceedings of the ASME 2016 Fluids Engineering Division Summer Meeting, Washington, DC, USA, 10–14 July 2016. [Google Scholar]
- Moshfeghi, M.; Hur, N. Numerical study on the effects of a synthetic jet actuator on S809 airfoil aerodynamics at different flow regimes and jet flow angles. J. Mech. Sci. Technol. 2017, 31, 1233–1240. [Google Scholar] [CrossRef]
- Ali, B.; Ouahiba, G.; Hamid, O.; Ahmed, B. Aerodynamic Optimization of Active Flow Control over S809 Airfoil Using Synthetic Jet. In Proceedings of the 2018 International Conference on Wind Energy and Applications in Algeria, Algiers, Algeria, 6–7 November 2018. [Google Scholar]
- Zhu, H.; Hao, W.; Li, C.; Ding, Q. Simulation on flow control strategy of synthetic jet in an vertical axis wind turbine. Aerosp. Sci. Technol. 2018, 77, 439–448. [Google Scholar] [CrossRef]
- Maldonado, V.; Gupta, S. Increasing the power efficiency of rotors at transitional Reynolds numbers with synthetic jet actuators. Exp. Therm. Fluid Sci. 2019, 105, 356–366. [Google Scholar] [CrossRef] [Green Version]
- Xu, H.-Y.; Qiao, C.-L.; Yang, H.-Q.; Ye, Z.-Y. Active Circulation Control on the Blunt Trailing Edge Wind Turbine Airfoil. AIAA J. 2018, 56, 554–570. [Google Scholar] [CrossRef]
- Xu, H.Y.; Dong, Q.L.; Qiao, C.L.; Ye, Z.Y. Flow Control over the Blunt Trailing Edge of Wind Turbine Airfoils Using Circu-Lation Control. Energies 2018, 11, 619. [Google Scholar] [CrossRef] [Green Version]
- Aono, H.; Nonomura, T.; Yakeno, A.; Fujii, K. Plasma Flow Control Simulation of an Airfoil of Wind Turbine at an Inter-Mediate Reynolds Number. In Proceedings of the ASME 2013 Fluids Engineering Division Summer Meeting, Incline Village, NV, USA, 7–11 July 2013. [Google Scholar]
- Baleriola, S.; Leroy, A.; Loyer, S.; Devinant, P.; Aubrun, S. Circulation control on a rounded trailing-edge wind turbine airfoil using plasma actuators. J. Phys. Conf. Ser. 2016, 753, 52001. [Google Scholar] [CrossRef]
- Li, G.Q.; Zhang, W.G.; Jiang, Y.B.; Yang, P.Y. Experimental Investigation of Dynamic Stall Flow Control for Wind Turbine Airfoils Using a Plasma Actuator. Energy 2019, 185, 90–101. [Google Scholar]
- Li, G.Q.; Yi, S.H. Large Eddy Simulation of Dynamic Stall Flow Control for Wind Turbine Airfoil using Plasma Actuator. Energy 2020, 212, 118753. [Google Scholar]
- Aono, H.; Fukumoto, H.; Abe, Y.; Sato, M.; Nonomura, T.; Fujii, K. Separated Flow Control of Small Horizontal-Axis Wind Turbine Blades Using Dielectric Barrier Discharge Plasma Actuators. Energies 2020, 13, 1218. [Google Scholar] [CrossRef] [Green Version]
- Fadaei, M.; Davari, A.; Sabetghadam, F.; Soltani, M. Enhancement of a Horizontal Axis Wing Turbine Airfoil Performance Using Single Dielectric Barrier Discharge Plasma Actuator. Proc. IMechE Part A J. Power Energy 2021, 235, 476–493. [Google Scholar] [CrossRef]
- Zhu, H.; Hao, W.; Li, C.; Ding, Q.; Wu, B. Application of flow control strategy of blowing, synthetic and plasma jet actuators in vertical axis wind turbines. Aerosp. Sci. Technol. 2019, 88, 468–480. [Google Scholar] [CrossRef]
- Zha, G.-C.; Paxton, C. A Novel Airfoil Circulation Augment Flow Control Method Using Co-Flow Jet. In Proceedings of the 2rd AIAA Flow Control Conference, Portland, OR, USA, 28 June–1 July 2004. [Google Scholar]
- Zha, G.C.; Gao, W.; Paxton, C. Numerical Simulation of Co-Flow Jet Airfoil Flows. In Proceedings of the 44th AIAA Aerospace Sciences Meeting and Exhibit, Reno, NV, USA, 9–12 January 2006. [Google Scholar]
- Zha, G.-C.; Carroll, B.F.; Paxton, C.D.; Conley, C.A.; Wells, A. High-Performance Airfoil Using Coflow Jet Flow Control. AIAA J. 2007, 45, 2087–2090. [Google Scholar] [CrossRef]
- Yang, Y.C.; Zha, G.C. Super-Lift Coefficient of Active Flow Control Airfoil: What is the Limit? In Proceedings of the 55th AIAA Aerospace Sciences Meeting, Grapevine, TX, USA, 9–13 January 2017. [Google Scholar]
- Yang, Y.C.; Fernandez, M.; Zha, G.C. Improved Delayed Detached Eddy Simulation of Super-Lift Flow of Co-Flow Jet Airfoil. In Proceedings of the 2018 AIAA Aerospace Sciences Meeting, Kissimmee, FL, USA, 8–12 January 2018. [Google Scholar]
- Yang, Y.C.; Zha, G.C. Super Lift Coefficient of Cylinder Using Co-Flow Jet Active Flow Control. In Proceedings of the 2018 AIAA Aerospace Sciences Meeting, Kissimmee, FL, USA, 8–12 January 2018. [Google Scholar]
- Yang, Y.C.; Zha, G.C. Numerical Investigation of Ultra-High Lift Coefficient Co-Flow Jet Wing without Flaps. In Proceedings of the 2018 AIAA Aerospace Sciences Meeting, Kissimmee, FL, USA, 8–12 January 2018. [Google Scholar]
- Zha, G.; Yang, Y.; Ren, Y.; McBreen, B. Super-Lift and Thrusting Airfoil of Coflow Jet Actuated by Micro-Compressors. In Proceedings of the 2018 Flow Control Conference, Atlanta, GA, USA, 25–29 June 2018. [Google Scholar]
- Ren, Y.; Zha, G. Simulation of 3D Co-Flow Jet Airfoil with Embedded Micro-Compressor Actuator. In Proceedings of the 2018 AIAA Aerospace Sciences Meeting, Kissimmee, FL, USA, 8–12 January 2018. [Google Scholar]
- Ren, Y.; Zha, G. Design of Injection and Suction Ducts for Co-Flow Jet Airfoils with Embedded Micro-Compressor Actuator. In Proceedings of the 2018 Flow Control Conference, Atlanta, GA, USA, 25–29 June 2018. [Google Scholar]
- Ren, Y.; Zha, G. Design of Injection Jet Span Profile for Co-Flow Jet Airfoil. In Proceedings of the AIAA Scitech 2019 Forum, San Diego, CA, USA, 7–11 January 2019. [Google Scholar]
- Zhang, S.L.; Yang, X.D.; Song, B.F.; Xu, J.H. Numerical and Experimental Study of the Co-Flow Jet Airfoil Performance En-hancement. In Proceedings of the 55th AIAA Aerospace Sciences Meeting, Grapevine, TX, USA, 9–13 January 2017. [Google Scholar]
- Zhu, M.; Yang, X.D.; Song, C.; Song, W.P. High Synergy Method for Near Space Propeller Using Co-Flow Jet Control. Acta Aeronaut. Astronaut. Sin. 2014, 35, 1549–1559. [Google Scholar]
- Yang, X.-D.; Jiang, W.-R.; Zhang, S.-L. Analysis of Co-Flow Jet Effect on Dynamic Stall Characteristics Applying to Rotor Airfoils. IOP Conf. Ser. Mate. Sci. Eng. 2019, 491, 12010. [Google Scholar] [CrossRef]
- Zha, G.-C.; Paxton, C.D.; Conley, C.A.; Wells, A.; Carroll, B.F.; Wells, A. Effect of Injection Slot Size on the Performance of Coflow Jet Airfoil. J. Aircr. 2006, 43, 987–995. [Google Scholar] [CrossRef]
- Wang, B.; Haddoukessouni, B.; Lévy, J.; Zha, G.-C. Numerical Investigations of Injection-Slot-Size Effect on the Performance of Coflow Jet Airfoils. J. Aircr. 2008, 45, 2084–2091. [Google Scholar] [CrossRef]
- Lefebvre, A.M.; Zha, G. Co-Flow Jet Airfoil Trade Study Part I: Energy Consumption and Aerodynamic Efficiency. In Proceedings of the 32nd AIAA Applied Aerodynamics Conference, Atlanta, GA, USA, 16–20 June 2014. [Google Scholar]
- Lefebvre, A.; Zha, G.C. Co-Flow Jet Airfoil Trade Study Part II: Moment and Drag. In Proceedings of the 32nd AIAA Applied Aerodynamics Conference, Atlanta, GA, USA, 16–20 June 2014. [Google Scholar]
- Xu, J.H.; Li, K.; Song, W.P.; Yang, X.D. Influence of Co-Flow Jet Key Parameters on Airfoil Aerodynamic Performance at Low Reynolds Number. Acta Aeronaut. Astronaut. Sin. 2018, 39, 122018. [Google Scholar]
- Xu, H.-Y.; Xing, S.-L.; Ye, Z.-Y. Numerical study of the S809 airfoil aerodynamic performance using a co-flow jet active control concept. J. Renew. Sustain. Energy 2015, 7, 23131. [Google Scholar] [CrossRef]
- Xu, H.-Y.; Qiao, C.-L.; Ye, Z.-Y. Dynamic Stall Control on the Wind Turbine Airfoil via a Co-Flow Jet. Energies 2016, 9, 429. [Google Scholar] [CrossRef] [Green Version]
- Sun, X.; Xu, Y.; Huang, D. Numerical simulation and research on improving aerodynamic performance of vertical axis wind turbine by co-flow jet. J. Renew. Sustain. Energy 2019, 11, 13303. [Google Scholar] [CrossRef]
- Xu, K.W.; Zha, G.C. Investigation of Coflow Jet Active Flow Control for Wind Turbine Airfoil. In Proceedings of the AIAA AVIATION 2020 FORUM, Virtual Online, 15–19 June 2020. [Google Scholar]
- Xu, K.; Zha, G. High Efficiency Wind Turbine Using Co-Flow Jet Active Flow Control. In Proceedings of the ASME Turbo Expo 2021, Virtual Online, 7–11 June 2021. [Google Scholar]
- Somers, D.M. Design and Experimental Results for the S809 Airfoil; Technical Report NREL/SR-440-6918; National Renewable Energy Laboratory (NREL): Golden, CO, USA, 1997.
- PROPID for Horizontal Axis Wind Turbine Design. Available online: https://m-selig.ae.illinois.edu/propid.html (accessed on 9 May 2021).
- Hand, M.M.; Simms, D.A.; Fingersh, L.J.; Jager, D.W.; Cotrell, J.R.; Schreck, S.; Larwood, S.M. Unsteady Aerodynamics Experiment Phase VI: Wind Tunnel Test Configurations and Available Data Campaigns; Technical Report NREL/TP-500-29955; National Renewable Energy Laboratory (NREL): Golden, CO, USA, 2001.
- Sørensen, N.N.; Michelsen, J.A.; Schreck, S. Navier-Stokes predictions of the NREL phase VI rotor in the NASA Ames 80 ft × 120 ft wind tunnel. Wind. Energy 2002, 5, 151–169. [Google Scholar] [CrossRef]


















| Parameters | Coarse Grid | Medium Grid | Fine Grid |
|---|---|---|---|
| Wrap-around points | 801 | 1101 | 1401 |
| Normal layers | 102 | 144 | 176 |
| Wake points | 101 | 201 | 301 |
| Leading edge spacing/mm | 0.12 | 0.06 | 0.03 |
| Trailing edge spacing/mm | 0.48 | 0.24 | 0.12 |
| First layer spacing/mm | 0.006 | 0.006 | 0.006 |
| Growth rate | 1.15 | 1.10 | 1.08 |
| Total number of nodes | 102,102 | 216,144 | 352,176 |
| AoA | Aerodynamic Coefficients | Experiment | Coarse Grid | Medium Grid | Fine Grid |
|---|---|---|---|---|---|
| 0.00° | CL | 0.11092 | 0.10619 | 0.10700 | 0.10725 |
| CD | 0.01216 | 0.01152 | 0.01139 | 0.01134 | |
| 8.20° | CL | 0.94007 | 0.93473 | 0.93897 | 0.94038 |
| CD | 0.01755 | 0.01825 | 0.01785 | 0.01775 | |
| 12.22° | CL | 0.99410 | 1.04870 | 1.03923 | 1.03477 |
| CD | —— | 0.04451 | 0.04442 | 0.04448 |
| Injection Location | CLmax | ΔCLmax | (L/D)emax | Δ(L/D)emax |
|---|---|---|---|---|
| baseline | 1.15 | — | 54.61 | — |
| 1% chord-wise location | 1.12 | −2.6% | 73.34 | 34.3% |
| 5% chord-wise location | 1.39 | 20.9% | 73.20 | 34.0% |
| 9% chord-wise location | 1.58 | 37.4% | 74.40 | 36.2% |
| 13% chord-wise location | 1.83 | 59.1% | 71.52 | 31.0% |
| 17% chord-wise location | 1.93 | 67.8% | 71.08 | 30.2% |
| 20% chord-wise location | 2.03 | 76.5% | 70.59 | 29.3% |
| AoA | Cμ |
|---|---|
| below 6.16° | 0.02 |
| 6.16° | 0.04 |
| 8.20° | 0.06 |
| 10.21° | 0.08 |
| above 12.22° | 0.10 |
| AoA | Cμ |
|---|---|
| below 6.16° | 0.02 |
| between 6.16° and 10.21° | 0.04 |
| 12.22° and 14.24° | 0.06 |
| above 14.24° | 0.08 |
| λ | Baseline | CFJ Blade | Increment |
|---|---|---|---|
| 1.52 | 0.015 | 0.049 | 226.7% |
| 2.53 | 0.070 | 0.212 | 202.9% |
| 3.81 | 0.217 | 0.379 | 74.7% |
| 7.58 | 0.382 | 0.382 | 0.0% |
Publisher’s Note: MDPI stays neutral with regard to jurisdictional claims in published maps and institutional affiliations. |
© 2021 by the authors. Licensee MDPI, Basel, Switzerland. This article is an open access article distributed under the terms and conditions of the Creative Commons Attribution (CC BY) license (https://creativecommons.org/licenses/by/4.0/).
Share and Cite
Zhang, S.; Yang, X.; Song, B. Numerical Investigation of Performance Enhancement of the S809 Airfoil and Phase VI Wind Turbine Blade Using Co-Flow Jet Technology. Energies 2021, 14, 6933. https://doi.org/10.3390/en14216933
Zhang S, Yang X, Song B. Numerical Investigation of Performance Enhancement of the S809 Airfoil and Phase VI Wind Turbine Blade Using Co-Flow Jet Technology. Energies. 2021; 14(21):6933. https://doi.org/10.3390/en14216933
Chicago/Turabian StyleZhang, Shunlei, Xudong Yang, and Bifeng Song. 2021. "Numerical Investigation of Performance Enhancement of the S809 Airfoil and Phase VI Wind Turbine Blade Using Co-Flow Jet Technology" Energies 14, no. 21: 6933. https://doi.org/10.3390/en14216933
APA StyleZhang, S., Yang, X., & Song, B. (2021). Numerical Investigation of Performance Enhancement of the S809 Airfoil and Phase VI Wind Turbine Blade Using Co-Flow Jet Technology. Energies, 14(21), 6933. https://doi.org/10.3390/en14216933
