Next Article in Journal
Induction Heating in Domestic Cooking and Industrial Melting Applications: A Systematic Review on Modelling, Converter Topologies and Control Schemes
Next Article in Special Issue
Identification of Inter-Turn Short-Circuits in Induction Motor Stator Winding Using Simulated Annealing
Previous Article in Journal
Opportunities and Threats for Polish Power Industry and for Polish Coal: A Case Study in Poland
Previous Article in Special Issue
Utilization of Two Sensors in Offline Diagnosis of Squirrel-Cage Rotors of Asynchronous Motors
 
 
Font Type:
Arial Georgia Verdana
Font Size:
Aa Aa Aa
Line Spacing:
Column Width:
Background:
Article

A Method for Monitoring the Technical Condition of Large-Scale Bearing Nodes in the Bodies of Machines Operating for Extended Periods of Time

Faculty of Mechanical Engineering, Wrocław University of Science and Technology, Wybrzeże Wyspiańskiego 27, 50-370 Wrocław, Poland
*
Author to whom correspondence should be addressed.
Energies 2021, 14(20), 6637; https://doi.org/10.3390/en14206637
Submission received: 25 August 2021 / Revised: 7 October 2021 / Accepted: 9 October 2021 / Published: 14 October 2021
(This article belongs to the Special Issue Fault Diagnosis of Electrical Machines and Drives)

Abstract

:
Failure of systems applied in machines comprising rolling and slewing bearings usually causes downtime of the entire heavy machine. The problem of failures can be aggravated by extremely difficult operating conditions, such as significant loads or a harsh environment. The entire issue inspired us to develop a method of monitoring the condition of such units. A study was carried out for six different large-scale excavators which examined strain distributions in the tested subassemblies. In order to estimate the technical condition of wheeled bogies, we used the phenomenon of strain propagation caused by the concentrated force acting in the ring girder web. Flamant theory was utilized to describe this phenomenon. Measurements were performed using strain gauges and the obtained results were compared with the FEM model. To determine whether bearing joints were in a good or bad condition, a coefficient of variation and an impulse factor were introduced as diagnostic indicators. It turned out that by evaluating these indicators, it was possible to distinguish between these two conditions. The method was successfully validated on machines that are in operation.

1. Introduction

A large-scale heavy-duty machine often consists of a body that rotates around a vertical axis. Examples of such machines include bucket-wheel excavators, stackers and loader-stackers (Figure 1).
Slewing bearings play a significant role in the proper and reliable operation of heavy machines. These elements enable the machine body to move relative to the undercarriage in bucket-wheel excavators, stackers, stacker-reclaimers, draglines, cranes and also in wind turbines. Due to the large size of these machines, their slewing bearings are subjected to high loadings [1,2,3,4,5,6,7,8,9].
In order to operate, these machines strictly depend on the condition of the slewing bearings. Therefore, any inaccuracies or errors in their design or during their manufacture can lead to serious issues during operation, which is why a monitoring system should be implemented. Among the most severe consequences of defects in the design or manufacture of races and rolling elements are their local strain and decreased durability and load-carrying capacity [1,10,11,12].
There are several studies that focus on developing and utilizing methods that help to detect errors, predict and prevent failures and estimate the remaining life of large-scale bearings [13,14,15,16,17,18,19,20,21,22,23]. The most advantageous methods include statistical analyses based on advanced indicators such as kurtosis, squared envelope spectrum, protrugram, as well as empirical mode decomposition and ensemble empirical mode decomposition. These tools are useful to study and identify defects [13,14]. Reference [15] presents a complex strategy for residual life prediction. It involves a data-driven failure rate and a reliability assessment by means of vibration signals. An evaluation of contact forces and stresses in mating surfaces in bearings is also very important in terms of life prediction as those parameters influence fatigue conditions [24,25,26]. Reference [19] presents a novel diagnostic method which is less prone to errors and is designed to detect initial faults. A combined analytical and numerical method described in [20] helps in assessing the dynamics of large-scale bearings, including post-hardening risk which directly influences the mechanical properties of such elements and thus their reliability and durability. Another study presents a complex approach to controlling the deteriorating technical condition of slewing bearings [21]. It utilizes, among others, the Hidden Markov Model, Gated Recurrent Unit, Robust Local Mean Decomposition and Hilbert transform, to estimate the residual life. Another advanced study focused on predicting the residual life of slewing bearings is described in [22].
The identification of critical components can help to focus the diagnostic process on certain elements. Reference [18] shows a method which uses relevant sensors after such a component is selected. By applying certain modeling tools, it is possible to evaluate the technical condition and estimate the residual life of the device under study.
When analyzing the technical state of large-scale bearings and predicting their remaining useful life, it is necessary to monitor the condition of greases or bolt connectors which strictly influence the operation of the entire system [27,28]. These issues should be foreseen and taken into account already in the designing process. What is also worth mentioning are roller load tests, which help to diagnose large-scale bearings in mining machines. They are based on the assessment of the quality of geometry and can help predict the residual life while identifying maximum loading values. A more detailed description of this method can be found in [29,30,31,32].
What is more, when devising diagnostic procedures, it is important to include recommendations for potential repairs. Detailed procedures and rules for repairing load-bearing structures which deteriorate under loads transmitted by road wheels are proposed in [33,34].
To properly formulate a diagnostic procedure, the knowledge of the wear mechanism is invaluable. Reference [35] is a case study of raceways of slewing bearings whose technical properties degrade. The study includes a microstructure analysis, while in Reference [36], stress–strain characteristics for loading conditions are obtained by means of strain gauges.

2. Typical Solutions for Slewing Units in Large-Scale Heavy-Duty Machines

In general, systems of slewing units in heavy-duty machines are based on the following elements (Figure 2):
  • Large-diameter rolling bearings and slewing bearings,
  • Wheeled bogies running on a rail track,
  • Column rotary joints.
The main advantages of the first solution are the “soft” uniform distribution of loads and lower resistance to motion. However, this solution also has some disadvantages, for instance vulnerability (lower resistance to damage), non-reparability, requirement of higher stiffness of the girder ring and higher costs.
The second above-mentioned solution has advantages such as lower costs, the possibility to replace the damaged components and easier maintenance. However, the disadvantages of this type of construction include “hard” distribution of loads (higher concentration of loads under the rails) and relatively higher resistance to motion.
Turntables with bogies were adopted much earlier than ball bearings because this solution is less complex. In this case, the load from the body is transferred through a rocker arm system to a set of road wheels moving on a circular rail track [6]. The purpose of rocker arms is to equalize the loads transferred by individual wheels, which prevents excessive pressure on the wheel–rail contact and thus the degradation of the supporting components.
In the bogie turntables, high-pressure points appear between the wheels and the raceway. In order to ensure stability, four bogies are used with several wheels mounted in each bogie. Due to the statically indeterminate support, unequal loads appear when there is an unevenness on the raceway [5].
One of the basic requirements for the bearing nodes of large-scale heavy machinery is to obtain an even distribution of loads, which is hampered by friction occurring in kinematic pairs as well as the differences in stiffness of the supporting components.
An even distribution of loads is extremely important to ensure adequate durability, reliability and safety of the supporting structure. This is particularly relevant due to the large masses of this type of machinery, often reaching 1000 tons or more.
Due to their long-term operation, large heavy-duty machines are subject to various degradation processes: corrosion, fatigue, material aging and flow, strain, cracks, loss of lubricating properties of greases, galling of the pins in the rocker arms, etc. In particular, fatigue is a typical material degradation process that affects even properly operated machine bearing nodes, and is the result of cyclical loads that occur when rolling elements are shifted.
In general, a rotating node may fail for many reasons, but it is usually possible to determine the dominant cause. One of the main reasons is the uneven distribution of loads. It results not only in the concentration of stresses or excessive pressures on the “wheel–rail track” interface, but also causes local overloads of the supporting structure under the running rail. This may lead to a decrease in the ring girder load capacity due to material fatigue.
These additional local stresses occur under the wheeled bogies of slewing units and are usually not considered in preliminary calculations of a steel structure, although in some cases, they can reach relatively high levels [12].
For this reason, diagnostic procedures and effective monitoring of the technical condition of elements of bearing nodes in the bodies of large heavy-duty machinery are very important. Any negligence in this area may endanger the safety of operation of these machines, and in extreme cases, may lead to a disaster.

3. Materials and Methods

Until a certain moment, the degradation of the bogie rotation units in machines that operate for extended periods of time is slowly varying in character. The main processes which contribute to this degradation include abrasive wear and scuffing of the rocker arm bolt joints, as well as corrosion, aging of materials and development of cracks (especially in the area of welded joints).
However, above a certain threshold, the slowly varying degradation can suddenly lead to catastrophic failures.
In order to successfully prevent such events, it is therefore necessary to use effective methods for identifying and monitoring these degradation processes as well as for diagnosing the technical condition of rotation nodes in heavy machinery.
Since the elements of the rotating unit are not easily accessible, especially the bogies and the track, it is virtually impossible to assess their technical condition on the basis of symptoms sensed by operators or maintenance engineers while the machine is in operation.
In this context, there is a need to develop an effective diagnostic method based on the analysis of the so-called failure-oriented signals, which are obtained by measuring relevant physical quantities, e.g., strains or loads. At the same time, it should be possible to use such a method while the machine under study is operating.
In the preliminary stage, we analyzed the usefulness of various methods, including the classical methods of vibroacoustic diagnostics and thermal diagnostics. These methods were tested on various large heavy-duty machines.
The vibration diagnostics method was used, among others, to assess the technical condition of large-scale bucket conveyors [12,37]. The method of acoustic diagnostics was also successfully used to assess the technical condition of caterpillar chains. The thermal diagnostics method has proven successful in diagnosing more accessible assemblies, such as drive units and rollers of belt conveyors.
However, in the case of large-scale bogie units, one of the basic indicators of the quality of their operation is the degree of uniformity of load distribution on the chassis structure (ring girder). This fact had to be taken into consideration when deciding which diagnostic method to choose.
As a consequence, our method uses a diagnostically useful signal as the carrier of information which is clearly correlated in terms of quality and quantity with the character of the distribution of loads acting on the rolling elements (wheels of bogies).
It is virtually impossible to directly measure the loads acting on the “wheel–rail” interface because it would require measuring sensors to be installed along the rail surface, in which case these sensors would interfere with the operation of the assembly or could be damaged. However, it is possible to estimate the distribution of these loads on the basis of strain–stress measurements in the substructure (ring girder). It is important to place the measurement points in the zones where working loads have maximum impact (to obtain the maximum sensitivity of the measurement systems), while avoiding the zones of local stiffening (ribs, diaphragms, etc.), which could cause stress irregularities.
Based on the above-mentioned considerations, strain (stresses) was selected as the diagnostic signal to be used with the presented method for assessing the technical condition of bogie rotation units. An additional advantage of this signal is that it is also useful for assessing the stress state of the support structure of the rotation node (ring girder).
This article focuses on the identification of symptoms of deterioration in the technical condition of rotating joints, determination of the threshold values of these symptoms and interpretation of the final results in the context of their relevance for assessing the stress of the chassis structure of the tested large heavy-duty machine.
With this in mind, the procedures for diagnostic signal processing, such as techniques of extracting useful components from diagnostic signals under disturbance conditions and the methods of a statistical analysis of the results, are not described in detail.

3.1. Theoretical Basis of the Diagnostic Method

Based on the above-mentioned reasons, we propose a method of assessing the technical condition which uses the strain of the ring girder under loads from road wheels of the bogies of the rotation node as the diagnostic signal. Strain is measured by means of strain gauges installed in the so-called critical cross-sections of the ring girder. The location of these cross-sections is determined on the basis of strength analyses using the finite element method.
The theoretical basis of the proposed diagnostic method is the analysis of the stress field in an isotropic elastic half-space under a vertical point load. An analytical description of such a stress field is provided in the classic Flamant solution, which states that the vertical stresses, σx, generated on the substrate (ring girder) expressed in the cylindrical coordinate system (r, x) are described by the following Equation (1):
σ x = 3 2 π F x 2 1 1 + r x 2 5 / 2
In the case of a system of “n” point loads acting along the track of the rolling node of the rotation, vertical stresses in the ground can be expressed by Equation (2):
σ x = 3 2 π F x 2 k = 1 n 1 1 + r r k x 2 5 / 2
where:
F —loading force,
r k —coordinate of the “k” point load.
Figure 3 shows the Flamant solution.
In the plane stress state, the strain, ε x , in the direction of the force can be calculated from Equation (3):
ε x = 1 E ( σ x ν σ y ) = 2 F x E π a cos 2 φ ( cos 2 φ ν sin 2 φ ) ,
where:
φ—the angle between the direction of the force and the line extending from the point where the force is applied,
ν —Poisson’s ratio.
The following four variants of load distribution in individual wheels of the bogies of the machine rotation node were considered (Figure 4):
  • Case #T1: The large rocker arm A and both small rocker arms B and C work properly. The load is evenly distributed to all wheels of the bogie assembly. The wheel load scheme is as follows: {F1 F2 F3 F4} = {25%, 25%, 25%, 25%}, i.e., the loading of every wheel expressed as a percentage of the total load on the bogie is equal to 25%.
  • Case #T2: The large rocker arm A does not work properly (e.g., due to partial seizure of the main pivot). The loads are not distributed evenly, i.e., the wheels of the rear small rocker arm C are subject to higher loads than the wheels of the front small rocker arm B. The wheel load scheme is as follows: {20%, 20%, 30%, 30%}.
  • Case #T3: The large rocker arm A works properly but the rear small rocker arm C does not. The loads are not distributed evenly, i.e., the rear wheel of the rear small rocker arm C is subject to a higher load than the front wheel of the rear small rocker arm C. Both wheels of the front small arm B are evenly loaded. The wheel load scheme is as follows: {25%, 25%, 40%, 10%}.
  • Case #T4: The large rocker arm A does not work properly (e.g., due to partial seizure of the main pin) nor does the rear small rocker arm C (e.g., due to partial seizure of the pin). The loads are not distributed evenly. The rear small rocker arm C is subject to higher loads in relation to the front rocker arm B. Moreover, the rear wheel of the rear small rocker arm C is also subject to higher loads compared to the front wheel of the rear small rocker arm C. The wheel load scheme is as follows: {10%, 40%, 30%, 20%}.
Figure 5 shows the results of the simulation of the distribution of normal stresses generated in the ground for each of the above-mentioned cases of wheel loading. These results were obtained on the basis of the theoretical Flamant model.
Simulations of load distribution based on the Flamant model show that the peak values of normal stresses under individual wheels in relation to the sum of all four peaks correspond to the percentages of load values per wheel.
For example, in case #T3, the peak stresses under the wheels of the bogie (expressed as percentage) are respectively {−25%, −25%, −40%, −10%}, which corresponds to the load system assumed for case #T3.
Similarly, in case #T4, the stress peaks are as follows: {10%, 40%, 30%, 20%}, which is in line with the load system adopted for variant #T4.
Thus, the results of simulations based on the theoretical Flamant model confirm that the qualitative nature and the peak values of normal stresses are clearly correlated with the distribution of loads acting on the bogie’s wheels.
This proves that normal stresses generated in the subgrade can be used as a diagnostically useful signal. On this basis, it is possible to assess the distribution of working loads on the wheels and the technical condition of the bogie assembly of the heavy machinery rotation node.
An important advantage of using stresses as a diagnostic signal is the possibility to perform continuous monitoring of the technical condition of the rotation nodes of large heavy equipment machinery in actual operating conditions.

3.2. Numerical Basis of the Diagnostic Method

The formulas derived by Flamant are solutions to the field of stresses and strains in an elastic half-plane loaded with a concentrated force. Figure 6 shows the field of strain in the force direction in a semi-infinite body without imperfections, calculated by FEM. The structures of real rotating support systems differ significantly from their theoretical models. Firstly, the spar flange is not flat, but has the shape of a cylindrical surface. Secondly, the force is introduced into the system through the massive beam of the running rail and can act eccentrically. Thirdly, the spar flange is usually stiffened by diaphragms, ribs and bracket leads. These significant deviations from the theoretical solution must be taken into account both when selecting the location of sensors and when interpreting the results of measurements.
A fragment of the model of the portal frame of an excavator undercarriage including the zone where strain gauges are to be located is shown in Figure 7. Various thicknesses of the sheets are marked with different colors.
The strain field determined by FEM also allows the sensors to be calibrated numerically, which is often not possible on a physical object.
Without calibration, it is impossible to determine the exact values of the forces exerted by individual wheels (Figure 8). However, since the load ratios between individual wheels of the bogie rolling unit are known, the measurement results can be used to diagnose the state of kinematic pairs in the tested assembly.

4. Application of the Presented Diagnostic Method

This diagnostic method was applied during a comprehensive study of six similar bucket-wheel excavators (Figure 9) whose support systems are based on wheeled bogies running on rail tracks (Figure 10).
In each of the tested excavators, six critical cross-sections (Figure 11) were selected in the ring girders constituting the track-bed of the circular rotation assembly. The location of the measurement cross-sections was determined based on a stress analysis of the girders using the finite element method. This method allowed us to obtain the highest sensitivity of the measurement systems.
Electrical resistance strain gauges were used for diagnostic measurements. At each critical cross-section, strain gauge systems (strain gauge rosettes) were installed on the spar web. The Saint Venant’s principle was taken into consideration when selecting the distance of the measuring systems from the top flange, which serves as the rail support of the circular rotation unit. The distances from the acting loads were sufficiently large to be in accordance with the Saint Venant’s principle.
The measurements were taken while the excavator bodies made a full turn to the left and to the right.
Examples of typical time courses of local strain in the ring girder of one of the tested bucket-wheel excavators are presented in Figure 12, Figure 13 and Figure 14.
In the vast majority of cases, the bogies of the slewing units in the tested excavators were in a satisfactory technical condition, despite many years of operation, which was evidenced by a quasi-uniform distribution of strain in the ring girders under the road wheels. Figure 12 shows examples of cases #I to #IV.
Nevertheless, in the course of the study, several cases of improper technical condition of bogies were diagnosed based on an uneven distribution of strain under the road wheels. These cases were detected in two excavators which have operated for the longest period of time (over 20 years).
Several characteristic cases of a non-uniform strain distribution (denoted as case #1 to case #8) are presented in Figure 13 and Figure 14.

4.1. Analysis of the Research Results

It should be emphasized that the subject of this study concerns large-scale wheeled excavators operating for 20 years or more. One of the main objectives of this research was to diagnose the rotating units used in these machines. In each of the tested excavators, the load from the body was transferred through the rocker arm system to a set of road wheels moving along a circular rail supported by the ring girder.
In bogie turntables, the load from the body is distributed over a relatively small number of rolling elements, i.e., the road wheels, and therefore the load distribution is generally “hard” as opposed to the so-called “soft” distribution in slewing bearings where the load is distributed over multiple rolling elements.
The load distribution depends largely on the quality of the rocker arm assemblies consisting of a large rocker arm and small rocker arm, as well as their pin connections.
However, degradation processes such as corrosion, contamination of friction pairs, or loss of lubricating properties of greases may cause, among others, the gradual galling of the pins in bogie rocker arms, which is sometimes one of the main causes of uneven load distribution.
With this in mind, the degree of uniformity of load distribution on the road wheels of individual bogies was adopted as the criterion for assessing the technical condition of the bogie wheels in the tested excavators.
As for the diagnostic signal, we used the strain/stresses generated in the foot of the ring girder by loads from road wheels in the bogies of the excavator rotation unit. The following descriptive quantities were adopted as diagnostic measures:
  • Coefficient of variation defined as:
    γ = s ε / ε Mean
  • Impulse factor defined as:
    C = ε Peak / ε Mean
  • Coefficient of friction in the pin joints of balance levers in wheeled bogies calculated from the formula:
μ = M f F f r
where:
s ε —mean absolute deviation, ε Mean —mean value and ε Peak —peak value of strain under wheeled bogies,
M f , F f —moment of friction and normal force in the pin joint, and r—radius of pin.
Based on the above-mentioned indicators, we performed a diagnostic assessment of individual bogies of the rotation units in the tested excavators.
The article presents only four examples of test results. The limit values for the coefficient of variation and the impulse factor, equal to 8% and 15% respectively, were determined on the basis of all results.

4.2. Examples of Quasi-Uniform Pressure Distribution

Figure 15 and Figure 16 present examples of calculation results of diagnostic indicators for four characteristic cases of quasi-uniform distribution of loads on road wheels.
The research revealed that in most cases, there was a quasi-uniform distribution of loads on the running wheels of the bogies in the tested excavators. The analysis of the measurement results showed that in these cases:
  • The impulse factor did not exceed 1.15 because the peak values of strain under wheeled bogies did not exceed the mean value by more than 15%, and the coefficient of variation did not exceed 8%.
  • The coefficient of friction in the pin joints of wheeled bogies, determined on the basis of the analysis of the results of measurements, did not exceed the value of μ = 0.4, except for case #XIV and case #XVI, where the friction coefficient at node “A” was slightly higher. These results suggest that there was no galling of the rocker pins.
The above values indicate that the wheeled bogies in the tested bucket-wheel excavators are in good condition.

4.3. Cases of Non-Uniform Strain Distribution

The research also revealed several cases of an uneven distribution of loads on the running wheels of the bogie units. These cases are designated as case #1 to case #8 and the strain distributions are shown in Figure 13 and Figure 14.
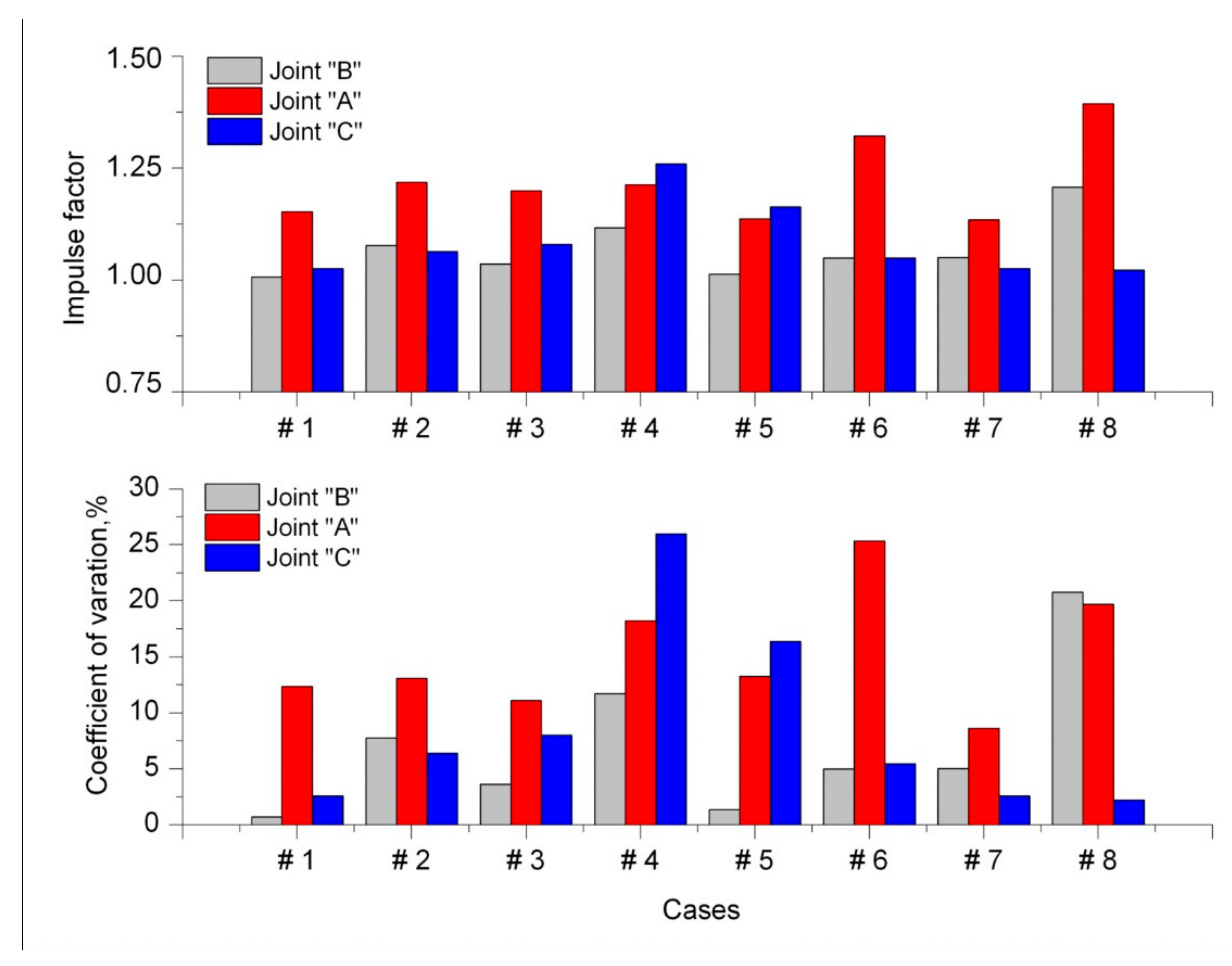
Figure 17 and Figure 18 show the numerical values of the adopted diagnostic indicators for cases #1 to #8, i.e., the coefficient of variation, the impulse factor and the coefficient of friction. For cases #4, #6 and #8, the coefficient of variation was unfavorable as it exceeded 18%. This was caused by a significant seizure of joint pins in the bogies. The friction coefficient in these joints reached the value of 1.2–1.7, which was the highest among all cases.
Depending on which bogie pins were seized, the direction of the moment of friction was either clockwise or counter-clockwise. As joint surface degradation progressed and lubrication conditions deteriorated, the friction coefficient of individual joints increased. The values of diagnostic factors, particularly the coefficient of variation, were highest in cases #4, #6 and #8. In case #4, friction in joint C significantly exceeded the limit value, whereas in joint B, it almost reached the limit value. In case #6, joints B and C were in good condition, but the friction in joint A was very high. In case #8, friction was very high in joint A and the friction limit was exceeded in joint B. The values of diagnostic factors increased significantly when the coefficient of friction was high in joints B and C and very high in joint A.
In technical devices, the value of the friction coefficient can be very different. In the case of friction nodes in materials characterized by high adhesion and low roughness, the coefficient of friction can reach very high values and even significantly exceed the value of µ = 1 [38]. For example, in the friction nodes described in [39], due to the formation of couplings at the molecular level and strong metallic interactions, the values of the friction coefficient for a friction pair made of the same material, i.e., 316L steel, can reach the value of µ = 7.6.
An analysis of the aforementioned results has proven that the values of the diagnostic factors in cases #1 to #8 of a non-uniform strain distribution are as follows:
  • The peak values of strain under the wheeled bogies did not exceed the mean value by ca. 40%, and the coefficient of variation reached the level of ca. 25% (Figure 19).
  • The coefficient of friction in the pin joints of the wheeled bogies, estimated on the basis of the research results, exceeded the level of μ = 1.0, and in extreme cases, it reached the value of μ = 1.7. These high values may be interpreted as a symptom of progressive galling in the pin joints of balance levers.
Based on the conducted research and the analysis of the obtained results, we can determine the following:
  • Uneven loads between sets of road wheels (bogies),
  • Uneven loads between road wheels in a single set,
  • Large strain in the coating caused by bending, but only if the sensors are situated on both walls of the coating.
The unevenness of loads between sets of road wheels is due to the location of the center of gravity of the body and the distribution of elasticity in the superstructure. The analysis of the results indicated either a decrease in load capacity of structural elements or a shift of the center of gravity.
It is extremely important to determine the unevenness of loads between road wheels in a single set. Such a distribution may indicate galling of the rocker arm pins or an improper guidance of the bogies and their eccentric effect on the rail. The latter cause of uneven load distribution is especially dangerous for the load-bearing structure.
Figure 20 shows the effect that an eccentric load on the rail has on the connection between the spar upper flange and the web, in which the yield point of the material was exceeded. Such a stress will lead to dangerous fatigue cracks.

5. Conclusions

This article proposed a method for diagnosing the technical condition of rotating nodes that comprise multiple linked sets of road wheels. The first step in this method involves the use of strain gauges to measure the strain caused by a wheel travelling on the web of the superstructure located directly under the rail. This is followed by an analysis of the strain values obtained for individual wheels. Galling of the rocker arm pins is one of the most common causes of failures in these types of nodes. The presented analytical solution of strain distribution in an elastic half-space according to Flamant (Figure 3) as well as the FEM solution of the model of the actual supporting structure (Figure 6) both showed sufficient separation of strain between individual road wheels. To obtain a required sensitivity of the adopted diagnostic method, the strain gauge was placed at a short distance from the running rail.
Based on the strain value, the forces transmitted by individual road wheels passing over the measurement point can be determined, provided that calibration is performed. Without calibration, it is impossible to determine the exact values of the forces exerted by individual wheels. However, since the load ratios between individual wheels of the traction unit are known, the measurement results can be used to diagnose the state of kinematic pairs in the bogie. Due to the fact that this system is statically determinate, the force ratios from individual wheels can be used to calculate the moments of friction on the rocker pins and the friction coefficients in the aforementioned kinematic pairs.
Two diagnostic measures of the condition of the bogie pins have been proposed: the coefficient of variation and the impulse factor.
We applied the diagnostic method to assess the technical condition of bogies in six large machines using six measuring points in each machine. This was followed by examples of quasi-uniform and uneven load distribution in bogies. We then determined the diagnostic measures of the coefficient of variation, γ, and the impulse factor, C, as well as friction coefficients in individual rocker arm pins. The value of the friction coefficient, µ, equal to 0.6 was adopted as the boundary value, which determined whether the bogie was in a proper technical condition or damaged. Figure 21 shows the relationship between the coefficient of variation, γ, and the impulse factor, C, for the 24 cases presented above. The green color indicates wheel sets that are still operational, and the red color indicates damaged wheel sets. Letters “A” and “C” indicate which of the joints have a decisive influence on the poor technical condition of the bogie.
We found that both diagnostic measures help to correctly identify defective sets, but the best measure is the coefficient of variation, γ, as it shows a higher separation between good and bad cases. In the case of the tested machines, the limit value of the coefficient of variation, γ, is ca. 0.75.
The proposed diagnostic method can be used to monitor the condition of a multi-wheel set over a long period of time.
The above-mentioned method can be applied not only to rotating joints, but also to multi-wheel rail undercarriages, which are used, for example, in material handling machines such as stacker-reclaimers.

Author Contributions

Conceptualization, T.S.; methodology, P.S. and T.S.; formal analysis, P.S. and T.S.; investigation, P.S. and T.S.; resources, P.S.; writing—original draft preparation, P.S. and T.S.; writing—review and editing, P.S. and T.S.; supervision, T.S. All authors have read and agreed to the published version of the manuscript.

Funding

This research received no external funding.

Institutional Review Board Statement

Not applicable.

Informed Consent Statement

Not applicable.

Conflicts of Interest

The authors declare no conflict of interest.

References

  1. Aithal, S.; Siva Prasad, N.; Shunmugam, M.; Chellapandi, P. Effect of Manufacturing Errors on Load Distribution in Large Diameter Slewing Bearings of Fast Breeder Reactor Rotatable Plugs. Proc. Inst. Mech. Eng. Part C J. Mech. Eng. Sci. 2016, 230, 1449–1460. [Google Scholar] [CrossRef]
  2. Heras, I.; Aguirrebeitia, J.; Abasolo, M.; Coria, I.; Escanciano, I. Load Distribution and Friction Torque in Four-point Contact Slewing Bearings Considering Manufacturing Errors and Ring Flexibility. Mech. Mach. Theory 2019, 137, 23–36. [Google Scholar] [CrossRef]
  3. Liu, C.; Wang, F. A Review of Current Condition Monitoring and Fault Diagnosis Methods for Low-speed and Heavy-load Slewing Bearings. In Proceedings of the 9th International Conference on Modelling, Identification and Control (ICMIC), Kunming, China, 10–12 July 2017; pp. 104–109. [Google Scholar] [CrossRef]
  4. Sandoval, D.; Leturiondo, U.; Pozo, F.; Vidal, Y. Low-Speed Bearing Fault Diagnosis Based on Permutation and Spectral Entropy Measures. Appl. Sci. 2020, 10, 4666. [Google Scholar] [CrossRef]
  5. Smolnicki, T. Physical Aspects of the Coherence Between the Large-Size Rolling Bearings and Deformable Support Structures; Wrocław University of Technology Publishing House: Wrocław, Poland, 2002. (In Polish) [Google Scholar]
  6. Smolnicki, T. Large-Size Slewing Joints: Global and Local Issues; Wrocław University of Technology Publishing House: Wrocław, Poland, 2013. (In Polish) [Google Scholar]
  7. Smolnicki, T.; Derlukiewicz, D.; Stanco, M. Evaluation of Load Distribution in the Superstructure Rotation Joint of Single-bucket Caterpillar Excavators. Autom. Constr. 2008, 17, 218–223. [Google Scholar] [CrossRef]
  8. Smolnicki, T.; Stańco, M.; Pietrusiak, D. Distribution of Loads in the Large Size Bearing—Problems of Identification. Teh. Vjesn.-Tech. Gaz. 2013, 20, 831–836. [Google Scholar]
  9. Starvin, M.S.; Manisekar, K. The Effect of Manufacturing Tolerances on the Load Carrying Capacity of Large Diameter Bearings. Sadhana-Acad. Proc. Eng. Sci. 2015, 40, 1899–1911. [Google Scholar]
  10. Augustynowicz, J.; Dudek, K.; Rosik, R. The Causes of Degradation of the Load-bearing Structures of Multi-bucket Wheeled Excavators. Górnictwo Odkrywkowe 2006, 48, 10–14. (In Polish) [Google Scholar]
  11. Augustynowicz, J.; Rosik, R.; Wiewiórko, B. The Reasons for the Degradation of the Excavator Ring Girder KWK-1500S. Syst. J. Syst. Transdiscipl. Syst. Sci. 2003, 8, 15–24. (In Polish) [Google Scholar]
  12. Sokolski, M.; Sokolski, P. Assessment of Safety of Large Size Ring Girders in Bucket Wheel Excavators—A Case Study. In Safety and Reliability—Theory and Applications; Briš, C., Ed.; Taylor & Francis Group: London, UK, 2017. [Google Scholar]
  13. Borghesani, P.; Pennacchi, P.; Chatterton, S. The Relationship Between Kurtosis- and Envelope-based Indexes for the Diagnostic of Rolling Element Bearings. Mech. Syst. Signal Process. 2014, 43, 25–43. [Google Scholar] [CrossRef]
  14. Caesarendra, W.; Kosasih, P.B.; Tieu, A.K.; Moodie, C.A.S.; Choi, B.K. Condition Monitoring of Naturally Damaged Slow Speed Slewing Bearing Based on Ensemble Empirical Mode Decomposition. J. Mech. Sci. Technol. 2013, 27, 2253–2262. [Google Scholar] [CrossRef]
  15. Feng, Y.; Huang, X.D.; Hong, R.J.; Chen, J. Online Residual Useful Life Prediction of Large-size Slewing Bearings—A data Fusion Method. J. Cent. South Univ. 2017, 24, 114–126. [Google Scholar] [CrossRef]
  16. Hack-Eun, K.; Andy, C.C.T.; Joseph, M.; Byeong-Keun, C. Bearing Fault Prognosis Based on Health State Probability Estimation. Expert Syst. Appl. 2012, 39, 5200–5213. [Google Scholar] [CrossRef]
  17. Jin, X.; Chen, Y.; Wang, L.; Han, H.; Chen, P. Failure Prediction, Monitoring And Diagnosis Methods for Slewing Bearings of Large-Scale Wind Turbine: A Review. Measurement 2021, 172, 108855. [Google Scholar] [CrossRef]
  18. Medjaher, K.; Tobon-Mejia, D.; Zerhouni, N. Remaining Useful Life Estimation of Critical Components with Application to Bearings. IEEE Trans. Reliab. Inst. Electr. Electron. Eng. 2012, 61, 292–302. [Google Scholar] [CrossRef] [Green Version]
  19. Pan, Y.; Hong, R.; Chen, J.; Qin, Z.; Feng, Y. Incipient Fault Detection of Wind Turbine Large-size Slewing Bearing Based On Circular Domain. Measurement 2019, 137, 130–142. [Google Scholar] [CrossRef]
  20. Sauvage, P.; Jacobs, G.; Luneburg, B. Calculation Model for Evaluation of Slippage in Large Diameter Bearings: A Combined Analytical-numerical Evaluation of the Post-hardening Risk Due to Slippage in Large Diameter Bearing. In Proceedings of the 12. VDI-Fachtagung Gleit-und Wälzlagerungen: Gestaltung, Berechnung, Einsatz; mit Fachausstellung, Schweinfurt, Germany, 27–28 June 2017; VDI Produkt-und Prozessgestaltung: Düsseldorf, Germany, 2017; pp. 219–230. [Google Scholar]
  21. Wang, F.; Liu, C.; Su, W.; Xue, Z.; Han, Q.; Li, H. Combined Failure Diagnosis of Slewing Bearings Based on MCKD-CEEMD-ApEn. Shock Vib. 2018, 2018, 6321785. [Google Scholar] [CrossRef]
  22. Wang, S.; Chen, J.; Wang, H.; Zhang, D. Degradation Evaluation of Slewing Bearing Using HMM and Improved GRU. Measurement 2019, 146, 385–395. [Google Scholar] [CrossRef]
  23. Yang, F.; Xiaodiao, H.; Rongjing, H.; Jie, C. Residual Useful Life Prediction of Large-size Low-speed Slewing Bearings—A Data Driven Method. J. Vibroeng. 2015, 17, 4164–4179. [Google Scholar]
  24. Chen, G.; Wen, G.; Xiao, Z.; San, H. Experimental Study on Contact Force in a Slewing Bearing. ASME J. Tribol. 2018, 140, 021402. [Google Scholar] [CrossRef]
  25. Gnanamoorthy, N.; Gnanamoorthy, R. Rolling/sliding Contact Fatigue Life Prediction of Sintered and Hardened Steels. Wear 2007, 262, 70–78. [Google Scholar] [CrossRef]
  26. Goncz, P.; Potocnik, R.; Glodez, S. Lifetime Determination of the Raceway of a Large Three-Row Roller Slewing Bearing. Key Eng. Mater. 2011, 488–489, 113–116. [Google Scholar] [CrossRef]
  27. Komatsuzaki, S.; Uematsu, T. Estimation of Service Life of Grease in Large-size Roller-bearings. Lubr. Eng. 1994, 50, 25–29. [Google Scholar]
  28. Krynke, M.; Ulewicz, R. Analysis of the Influence of Slewing Bearing Mounting on Their Static Load Capacity. Transp. Res. Procedia 2019, 40, 745–750. [Google Scholar] [CrossRef]
  29. Herringe, R.A.; Fry, P.R. Dragline Tub and Roller Circle Repairs. In Proceedings of the Third Large Open Pit Mining Conference, Mackay, Australia, 30 August–4 September 1992; pp. 137–144. [Google Scholar]
  30. McGriffin, P.B.; Proud, D.J. Diagnosing Problems in Dragline Roller Circles Using the Roller Load Test. In Proceedings of the Second International Conference on Mining Machinery, Brisbane, Australia, 9–11 May 1988; The Institution of Engineers, Australia: Barton, Australia, 1988; pp. 42–47. [Google Scholar]
  31. Morrison, W.R.B. Improving Dragline Reliability & Availability COSMET. 1982. Available online: https://www.ndt.net/apcndt2001/papers/1481/1481.htm (accessed on 13 October 2021).
  32. Morrison, W.R.B.; Beale, R.F. Dragline Slew Bearings: Factors Affecting Their Life and Operation Mechanical Engineering Transaction; Institution of Engineers Australia: Barton, Australia, 1980. [Google Scholar]
  33. Rusiński, E.; Smolnicki, T.; Czmochowski, J.; Kanczewski, P. Some Aspects of Reconstructing and Modernizing the SchRs 800 Stripper Gantry Using FEM. W: Off-road machine and vehicles in theory and practice. In Proceedings of the 1st International Conference, Wrocław, Poland, 23–24 September 1996; Dudziński, P., Hawrylak, H., Hohl, G., Ketting, M., Eds.; ISTVS East European Office, Technical University of Wrocław: Wrocław, Poland, 1996; pp. 329–336. [Google Scholar]
  34. Rusiński, E.; Smolnicki, T.; Kanczewski, P. Gesichtspunkte zur Sanierung der Stahlkonstruktion von Schaufelradbaggern. Braunkohle. Surf. Min. 1997, 49, 465–471. (In German) [Google Scholar]
  35. Smolnicki, T.; Pękalski, G.; Jakubik, J.; Harnatkiewicz, P. Investigation into Wear Mechanisms of the Bearing Raceway Used in Bucket Wheel Excavators. Arch. Civ. Mech. Eng. 2017, 17, 1–8. [Google Scholar] [CrossRef]
  36. Bosnjak, S.; Pantelic, M.; Zrnic, N.; Gnjatovic, N.; Djordevic, M. Failure Analysis and Reconstruction Design of the Slewing Platform Mantle of the Bucket Wheel Excavator O&K SchRs 630. Eng. Fail. Anal. 2011, 18, 658–669. [Google Scholar] [CrossRef]
  37. Sokolski, M.; Sokolski, P. Condition Monitoring of an Industrial Bucket Elevator for Bulk Materials. In Proceedings of the IRF2018: 6th International Conference Integrity-Reliability-Failure, Lisbon, Portugal, 22–26 July 2018; Gomes, J.F.S., Meguid, S.A., Eds.; INEGI/FEUP: Porto, Portugal, 2018; pp. 209–216. [Google Scholar]
  38. Davis, H.R. Dependence of the Static Coefficient of Friction on the Time of Stationary Contact. Ph.D. Thesis, University of British Columbia, Vancouver, BC, Canada, 1966. [Google Scholar]
  39. Dobrowolska, A.; Kowalewski, P.; Ptak, A. Influence of the Lubricating Fluid on the Changes on Rubbing Metallic Biomaterials Surface. Colloids Surf. A Physicochem. Eng. Asp. 2015, 480, 419–425. [Google Scholar] [CrossRef]
Figure 1. Schematic diagram of a large-scale heavy-duty machine (bucket-wheel excavator) mounted on a slewing bearing.
Figure 1. Schematic diagram of a large-scale heavy-duty machine (bucket-wheel excavator) mounted on a slewing bearing.
Energies 14 06637 g001
Figure 2. Basic solutions of slewing units: (a) on a large-diameter rolling bearing, and (b) on wheeled bogies running on a rail track [6].
Figure 2. Basic solutions of slewing units: (a) on a large-diameter rolling bearing, and (b) on wheeled bogies running on a rail track [6].
Energies 14 06637 g002
Figure 3. Flamant solution in the stress space in Cartesian and cylindrical systems. Stresses for unit thickness of the disc [6].
Figure 3. Flamant solution in the stress space in Cartesian and cylindrical systems. Stresses for unit thickness of the disc [6].
Energies 14 06637 g003
Figure 4. Schematic diagram of loads acting on the bogie of the rotation node assembly.
Figure 4. Schematic diagram of loads acting on the bogie of the rotation node assembly.
Energies 14 06637 g004
Figure 5. Examples of load distributions under wheels for cases #T1 to #T4 based on the Flamant model (local loads/peak values of loads are expressed as a percentage of the total loading, y—coordinate according to Figure 4).
Figure 5. Examples of load distributions under wheels for cases #T1 to #T4 based on the Flamant model (local loads/peak values of loads are expressed as a percentage of the total loading, y—coordinate according to Figure 4).
Energies 14 06637 g005
Figure 6. Strain ε 22 in the direction of the force—Flamant model without imperfections.
Figure 6. Strain ε 22 in the direction of the force—Flamant model without imperfections.
Energies 14 06637 g006
Figure 7. Example of a physical structure model: the portal frame of an excavator undercarriage.
Figure 7. Example of a physical structure model: the portal frame of an excavator undercarriage.
Energies 14 06637 g007
Figure 8. Calibration of sensors by means of FEM helps to determine the forces in a wheel.
Figure 8. Calibration of sensors by means of FEM helps to determine the forces in a wheel.
Energies 14 06637 g008
Figure 9. One of the tested bucket-wheel excavators.
Figure 9. One of the tested bucket-wheel excavators.
Energies 14 06637 g009
Figure 10. Wheeled bogies on a rail track in the tested bucket-wheel excavator.
Figure 10. Wheeled bogies on a rail track in the tested bucket-wheel excavator.
Energies 14 06637 g010
Figure 11. Distribution of measurement cross-sections in the structure of ring girders of the tested excavators.
Figure 11. Distribution of measurement cross-sections in the structure of ring girders of the tested excavators.
Energies 14 06637 g011
Figure 12. Examples of strain distribution in the vertical direction in the ring girder of one of the tested bucket-wheel excavators. Cases #I to #IV are the so-called proper cases of quasi-uniform distribution.
Figure 12. Examples of strain distribution in the vertical direction in the ring girder of one of the tested bucket-wheel excavators. Cases #I to #IV are the so-called proper cases of quasi-uniform distribution.
Energies 14 06637 g012
Figure 13. Cases #1 to #4 of non-uniform strain distribution in the ring girder of a tested bucket-wheel excavator. Strain values are given in micro-strains.
Figure 13. Cases #1 to #4 of non-uniform strain distribution in the ring girder of a tested bucket-wheel excavator. Strain values are given in micro-strains.
Energies 14 06637 g013
Figure 14. Cases #5 to #8 of non-uniform strain distribution in the ring girder of a tested bucket-wheel excavator. Strain values are given in micro-strains.
Figure 14. Cases #5 to #8 of non-uniform strain distribution in the ring girder of a tested bucket-wheel excavator. Strain values are given in micro-strains.
Energies 14 06637 g014
Figure 15. Diagnostic factors of the wheeled bogies for case #I to case #XVI of quasi-uniform strain distribution.
Figure 15. Diagnostic factors of the wheeled bogies for case #I to case #XVI of quasi-uniform strain distribution.
Energies 14 06637 g015
Figure 16. Coefficient of friction for case #I to case #XVI of quasi-uniform strain distribution.
Figure 16. Coefficient of friction for case #I to case #XVI of quasi-uniform strain distribution.
Energies 14 06637 g016
Figure 17. Diagnostic factors of wheeled bogies for cases #1 to #8 of non-uniform strain distribution: (a) coefficient of variation and (b) impulse factor.
Figure 17. Diagnostic factors of wheeled bogies for cases #1 to #8 of non-uniform strain distribution: (a) coefficient of variation and (b) impulse factor.
Energies 14 06637 g017
Figure 18. Coefficient of friction for cases #1 to #8 of non-uniform strain distribution (the level μ = 0.6 assumed in the design is marked by the dash-dotted line).
Figure 18. Coefficient of friction for cases #1 to #8 of non-uniform strain distribution (the level μ = 0.6 assumed in the design is marked by the dash-dotted line).
Energies 14 06637 g018
Figure 19. Diagnostic factors of balance levers in the wheeled bogies for case #1 to case #8 of non-uniform strain distribution.
Figure 19. Diagnostic factors of balance levers in the wheeled bogies for case #1 to case #8 of non-uniform strain distribution.
Energies 14 06637 g019
Figure 20. Von Mises stress in MPa in the connection between the upper flange and the web. Deformation at a scale of 100:1.
Figure 20. Von Mises stress in MPa in the connection between the upper flange and the web. Deformation at a scale of 100:1.
Energies 14 06637 g020
Figure 21. Empirical correlation between the diagnostic factors of the tested large-scale bearing nodes.
Figure 21. Empirical correlation between the diagnostic factors of the tested large-scale bearing nodes.
Energies 14 06637 g021
Publisher’s Note: MDPI stays neutral with regard to jurisdictional claims in published maps and institutional affiliations.

Share and Cite

MDPI and ACS Style

Sokolski, P.; Smolnicki, T. A Method for Monitoring the Technical Condition of Large-Scale Bearing Nodes in the Bodies of Machines Operating for Extended Periods of Time. Energies 2021, 14, 6637. https://doi.org/10.3390/en14206637

AMA Style

Sokolski P, Smolnicki T. A Method for Monitoring the Technical Condition of Large-Scale Bearing Nodes in the Bodies of Machines Operating for Extended Periods of Time. Energies. 2021; 14(20):6637. https://doi.org/10.3390/en14206637

Chicago/Turabian Style

Sokolski, Piotr, and Tadeusz Smolnicki. 2021. "A Method for Monitoring the Technical Condition of Large-Scale Bearing Nodes in the Bodies of Machines Operating for Extended Periods of Time" Energies 14, no. 20: 6637. https://doi.org/10.3390/en14206637

APA Style

Sokolski, P., & Smolnicki, T. (2021). A Method for Monitoring the Technical Condition of Large-Scale Bearing Nodes in the Bodies of Machines Operating for Extended Periods of Time. Energies, 14(20), 6637. https://doi.org/10.3390/en14206637

Note that from the first issue of 2016, this journal uses article numbers instead of page numbers. See further details here.

Article Metrics

Back to TopTop