LED Luminaires: Many Chips—Many Photometric and Lighting Simulation Issues to Solve
Abstract
1. Introduction
2. The Need to Change the Traditional Understanding of the Coordinate System for a Luminaire
3. The Dependence of the Photometric Test Distance on the Geometrical Configuration of the LED Matrix
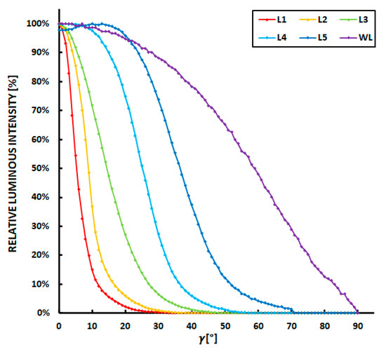
3.1. The Photometric Test Distance
3.2. The Laboratory Experiment
- δPTD—is the relative difference of photometric test distance [%];
- PTDM—is the measured photometric test distance [m];
- PTDC—is the calculated photometric test distance [m].
3.3. The Results of the Experiment and Discussion
| LENS TYPE | HPD Datasheet * [°] | Dmin Measured [°] | LINEAR LED LUMINAIRE | SURFACE LED LUMINAIRE | ||
|---|---|---|---|---|---|---|
| PTD Calculated [m] | PTD Measured [m] | PTD Calculated [m] | PTD Measured [m] | |||
| S = 35 mm/L = 140 mm | S = 50 mm/L = 100 mm | |||||
| L1 | 8.5° | 4.6° | 1.74 | 1.77 | 1.24 | 1.30 |
| L2 | 14° | 8.3° | 0.97 | 1.10 | 0.69 | 0.80 |
| L3 | 30° | 11.1° | 0.72 | 0.77 | 0.51 | 0.70 |
| L4 | 45° | 30.1° | 0.26 | 0.50 | 0.19 | 0.40 |
| L5 | 70° | 47.8° | 0.16 | 0.50 | 0.11 | 0.40 |
| WL | 120° | 54.0° | 0.14 | 0.32 | 0.10 | 0.40 |
| S = 105 mm/L = 420 mm | S = 105 mm/L = 210 mm | |||||
| L1 | 8.5° | 4.6° | 5.21 | >5 ** | 2.60 | 2.52 |
| L2 | 14° | 8.3° | 2.91 | 3.10 | 1.45 | 1.52 |
| L3 | 30° | 11.1° | 2.16 | 2.40 | 1.08 | 1.12 |
| L4 | 45° | 30.1° | 0.78 | 0.90 | 0.39 | 0.50 |
| L5 | 70° | 47.8° | 0.47 | 0.67 | 0.24 | 0.40 |
| WL | 120° | 54.0° | 0.41 | 0.67 | 0.21 | 0.51 |
| S = 210 mm/L = 840 mm | S = 210 mm/L = 420 mm | |||||
| L1 | 8.5° | 4.6° | 10.41 | >5 ** | 5.21 | >5 ** |
| L2 | 14° | 8.3° | 5.82 | >5 ** | 2.91 | 3.80 |
| L3 | 30° | 11.1° | 4.31 | 4.57 | 2.16 | 3.10 |
| L4 | 45° | 30.1° | 1.56 | 1.70 | 0.78 | 1.00 |
| L5 | 70° | 47.8° | 0.95 | 1.60 | 0.47 | 1.00 |
| WL | 120° | 54.0° | 0.82 | 1.20 | 0.41 | 0.90 |
4. The Need for the Photometric Separation of Each Single Diode
- The model of the luminous intensity distribution of the entire lamp usually assumes that the light is emitted from the geometric center point of the luminaire;
- The values of the calculated lighting parameters in the areas of the illuminated object close to the luminaire are different when compared with the reality confirmed by measurements;
- The simulation image of a spotlight is different from its real observed appearance.
- A—a photometric file of the luminaire obtained for far-field photometry with the light emitting from a point;
- B—a photometric file of the luminaire obtained for far-field photometry with the light emitting from a rectangular strip with a length and width corresponding to the dimensions of the luminaire;
- C—a photometric file of the luminaire obtained for near-field photometry with the light emitting from a point;
- D—a photometric file of the luminaire obtained for near-field photometry with the light emitting from a rectangular strip with a length and the width corresponding to the dimensions of the luminaire;
- E—five photometric files of a single diode with the light emitting from a point;
- F—five photometric files of a single diode with the light emitting from a circle with the area corresponding to the output area of the lens of one diode.
- EP—illuminance at point P of the object;
- EP,i—illuminance from the following LED chip;
- n—number of LED chips;
- IP,i,nf—luminous intensity of the i-th diode in the direction of point P according to the near-field model;
- IP,i,ff—luminous intensity of the i-th diode in the direction of point P according to the far-field model;
- rP,i—distance of the i-th diode from point P;
- fa—approximation function of the mid-field region model.
5. Conclusions
- The coordinate system for multi-source luminaires should be definitively determined by their manufacturer. It needs to be marked in the technical documentation and related to the coordinate system for the plane shaping the luminous intensity distribution of a single LED chip.
- The photometric test distance of multi-source LED luminaires should be verified in an experimental way by a photometric laboratory. This helps to define the near-field or far-field photometry and prepare the proper, high-quality input data such as photometric files for different distances.
- The simulations of the effects of a lighting solution with multi-source LED luminaires should be performed with the greatest of care for the realism of the obtained effect. Therefore, the appropriate photometric data for the proper distance need to be used. The manufacturers of lighting equipment should specify the distance for which the measurements of the luminous intensity distributions were taken. They should also provide various photometric files for the designer’s use. Therefore, the lighting designer responsible for a given project should use the appropriate photometric files of the luminaires according to the real distance they will work in.
Author Contributions
Funding
Institutional Review Board Statement
Informed Consent Statement
Data Availability Statement
Acknowledgments
Conflicts of Interest
Correction Statement
References
- Tabaka, P.; Rozga, P. Assessment of methods of marking LED sources with the power of equivalent light bulb. Bull. Pol. Acad. Sci. Tech. Sci. 2017, 65, 883–890. [Google Scholar] [CrossRef]
- Malik, R.; Ray, K.; Mazumdar, S. A Low-Cost, Wide-Range, CCT-Tunable, Variable-Illuminance LED Lighting System. LEUKOS J. Illum. Eng. Soc. 2020, 16, 157–176. [Google Scholar] [CrossRef]
- Wiśniewski, A. Źródła Światła (eng. Light Sources); SEP COSIW: Warsaw, Poland, 2013; ISBN 978-83-61163-34-3. (In Polish) [Google Scholar]
- Shailesh, K.R.; Kurian, C.P.; Kini, S.G. Understanding the reliability of LED luminaires. Light. Res. Technol. 2018, 50, 1179–1197. [Google Scholar] [CrossRef]
- Casamayor, J.L.; Su, D.; Ren, Z. Comparative life cycle assessment of LED lighting products. Light. Res. Technol. 2018, 50, 801–826. [Google Scholar] [CrossRef]
- Protzman, J.B.; Houser, K.W. LEDs for general illumination: The state of the science. LEUKOS J. Illum. Eng. Soc. 2006, 3, 121–142. [Google Scholar] [CrossRef]
- Pracki, P.; Wiśniewski, A.; Czyżewski, D.; Krupiński, R.; Skarżyński, K.; Wesołowski, M.; Czaplicki, A. Strategies influencing energy efficiency of lighting solutions. Bull. Pol. Acad. Sci. Tech. Sci. 2020, 68, 711–719. [Google Scholar] [CrossRef]
- Lee, X.H.; Yang, J.T.; Chang, J.H.; Chien, W.T.; Lo, Y.C.; Lin, C.C.; Sun, C.C. An LED-based luminaire for badminton court illumination. Light. Res. Technol. 2017, 49, 396–406. [Google Scholar] [CrossRef]
- Żagan, W.; Zalewski, S.; Słomiński, S.; Kubiak, K. Methods for designing and simulating optical systems for luminaires. Bull. Pol. Acad. Sci. Tech. Sci. 2020, 68, 739–750. [Google Scholar] [CrossRef]
- Royer, M. Lumen maintenance and Light loss factors: Consequences of current design practices for LEDs. LEUKOS J. Illum. Eng. Soc. 2014, 10, 77–86. [Google Scholar] [CrossRef]
- Ojanen, M.; Kärhä, P.; Nevas, S.; Sperling, A.; Mäntynen, H.; Ikonen, E. Double-coiled tungsten filament lamps as absolute spectral irradiance reference sources. Metrologia 2012, 49. [Google Scholar] [CrossRef]
- Bertenshaw, D.R. The standardisation of light and photometry—A historical review. Light. Res. Technol. 2020, 52, 816–848. [Google Scholar] [CrossRef]
- Penny, A.G. Changes in the Dimensions of Incandescent Filament Lamps. Light. Res. Technol. 1962, 27, 37–40. [Google Scholar] [CrossRef]
- Tabaka, P.; Rózga, P. Analysis of selected parameters of compact fluorescent lamps during their long-term operation. Metrol. Meas. Syst. 2020, 27, 541–557. [Google Scholar] [CrossRef]
- Tähkämö, L.; Bazzana, M.; Zissis, G.; Puolakka, M.; Halonen, L. Life cycle assessment of a fluorescent lamp luminaire used in industry—A case study. Light. Res. Technol. 2014, 46, 453–464. [Google Scholar] [CrossRef]
- Chammam, A.; Nsibi, W.; Nejib Nehdi, M.; Mrabet, B.; Sellami, A. Behaviour of a high-intensity discharge lamp fed by a high-frequency dimmable electronic ballast. Light. Res. Technol. 2017, 49, 277–284. [Google Scholar] [CrossRef]
- Jack, A.G. Studies concerned with improvement of the low pressure sodium discharge lamp. Light. Res. Technol. 1978, 10, 150–155. [Google Scholar] [CrossRef]
- Cifuentes, L. High-pressure discharge lamps: Approaches to modelling. Light. Res. Technol. 1991, 23, 161–165. [Google Scholar] [CrossRef]
- Rea, M. Lighting Handbook: Reference & Application; IESNA: New York, NY, USA, 2000; ISBN 0879951508. [Google Scholar]
- Oleszyński, T. Miernictwo Techniki Świetlnej (Eng. Metrology of Lighting Technology); PWN: Warsaw, Poland, 1957. (In Polish) [Google Scholar]
- Li, M.; Chen, K.; Rupp, A.; Chu, D.; Vangari, D. Luminous flux and current uniformity analysis in linear LED modules. LEUKOS J. Illum. Eng. Soc. 2015, 11, 19–29. [Google Scholar] [CrossRef]
- Słomiński, S. Advanced modelling and luminance analysis of LED optical systems. Bull. Pol. Acad. Sci. Tech. Sci. 2019, 67, 1107–1116. [Google Scholar] [CrossRef]
- Barbosa, J.L.F.; Simon, D.; Calixto, W.P. Design optimization of a high power LED matrix luminaire. Energies 2017, 10, 639. [Google Scholar] [CrossRef]
- Martin, G.; Marty, C.; Bornoff, R.; Poppe, A.; Onushkin, G.; Rencz, M.; Yu, J. Luminaire digital design flow with multi-domain digital twins of LEDs. Energies 2019, 12, 2389. [Google Scholar] [CrossRef]
- Raypah, M.E.; Sodipo, B.K.; Devarajan, M.; Sulaiman, F. Estimation of Luminous Flux and Luminous Efficacy of Low-Power SMD LED as a Function of Injection Current and Ambient Temperature. IEEE Trans. Electron. Devices 2016, 63, 2790–2795. [Google Scholar] [CrossRef]
- Czyżewski, D. Research on luminance distributions of chip-on-board light-emitting diodes. Crystals 2019, 9, 645. [Google Scholar] [CrossRef]
- Zalewski, S. Digital recording of photometric data for multisource luminaires. Prz. Elektrotech. 2012, 88, 220–222. [Google Scholar]
- International Commission on Illumination. Technical Report No. 121: The Photometry and Goniophotometry of Luminaires; CIE: Vienna, Austria, 1996. [Google Scholar]
- Żagan, W.; Skarżyński, K. The “layered method”—A third method of floodlighting. Light. Res. Technol. 2020, 52, 641–653. [Google Scholar] [CrossRef]
- International Commission on Illumination. Technical Report No. 70: The Measurement of Absolute Luminous Intensity Distribution; CIE: Vienna, Austria, 1987. [Google Scholar]
- Dybczyński, W. The influence of distance on the photometry of luminous intensity. Prz. Elektrotech. 2003, 79, 274–277. (In Polish) [Google Scholar]
- Żagan, W. Oprawy Oświetleniowe—Kształtowanie Rozsyłu Strumienia Świetlnego i Rozkładu Luminancji (Eng. Luminaires—The Modelling of Luminous Flux and Luminance Distribution); OWPW: Warsaw, Poland, 2012; ISBN 978-83-7814-054-2. (In Polish) [Google Scholar]
- Holmes, J.G. A reference distance for the photometry of projectors. Light. Res. Technol. 1981, 13, 96–98. [Google Scholar] [CrossRef]
- Jacobs, V.; Blattner, P.; Ohno, Y.; Bergen, T.; Krueger, U.; Hanselaer, P.; Rombauts, P.; Schmidt, F. Analyses of errors associated with photometric distance in goniophotometry. In Proceedings of the 28 Session of CIE, Manchester, UK, 28 June–4 July 2015; pp. 458–468. [Google Scholar]
- International Commission on Illumination. CIE S 025/E:2015 Test Method for Led Lamps, Led Luminaires and Led Modules; CIE: Vienna, Austria, 2015. [Google Scholar]
- Sun, C.-C.; Lee, T.-X.; Ma, S.-H.; Lee, Y.-L.; Huang, S.-M. Precise optical modeling for LED lighting verified by cross correlation in the midfield region. Opt. Lett. 2006, 31, 2193. [Google Scholar] [CrossRef] [PubMed]
- Sametoglu, F. Construction of two-axis goniophotometer for measurement of spatial distribution of a light source and calculation of luminous flux. Acta Phys. Pol. A 2011, 119, 783–791. [Google Scholar] [CrossRef]
- Jacobs, V.; Forment, S.; Rombauts, P.; Hanselaer, P. Near-field and far-field goniophotometry of narrow-beam LED arrays. Light. Res. Technol. 2015, 47, 470–482. [Google Scholar] [CrossRef]
- Website of International Commission on Illumination CIE. Available online: http://cie.co.at/e-ilv (accessed on 11 June 2021).
- Wachta, H.; Baran, K.; Leśko, M. The meaning of qualitative reflective features of the facade in the design of illumination of architectural objects. AIP Conf. Proc. 2019, 2078, 020102. [Google Scholar] [CrossRef]
- Reinhart, C.; Pierre-Felix, B. Experimental validation of autodesk® 3ds max® design 2009 and daysim 3.0. LEUKOS J. Illum. Eng. Soc. 2009, 6, 7–35. [Google Scholar] [CrossRef]
- Joon, J.S. Principles of Photorealism to develop photorealistic visualisation for Interface Design: A review. In Proceedings of the 2010 Seventh International Conference on Computer Graphics, Imaging and Visualization, Sydney, Australia, 7–10 August 2010; pp. 17–25. [Google Scholar] [CrossRef]
- Stojanov, I.; Ristevski, B.; Kotevski, Z.; Savoska, S. Application of 3ds Max for 3D Modelling and Rendering. In Proceedings of the International Conference on Applied Internet and Information Technologies, Bitola, North Macedonia, 3–4 June 2016; pp. 133–144. [Google Scholar] [CrossRef]
- Krupinski, R. Simulation and analysis of floodlighting based on 3D computer graphics. Energies 2021, 14, 1042. [Google Scholar] [CrossRef]
- Geebelen, B.; Van Der Voorden, M.; Neuckermans, H. Fast and accurate simulation of long-term daylight availability using the radiosity method. Light. Res. Technol. 2005, 37, 295–310. [Google Scholar] [CrossRef]
- Website of Autodesk 3ds Max Help. Available online: https://help.autodesk.com/view/3DSMAX/2021/ENU/?query=radiosity (accessed on 11 June 2021).
- Stannard, S.; Brass, J. Application distance photometry. J. Illum. Eng. Soc. 1990, 19, 39–46. [Google Scholar] [CrossRef]
- Ngai, P.Y.; Zhang, J.X.; Quan, Y. On computation using far-field and near-field photometry. J. Illum. Eng. Soc. 1993, 22, 118–149. [Google Scholar] [CrossRef]
- Audenaert, J.; Acuña, R.P.C.; Hanselaer, P.; Leloup, F.B. Practical limitations of near-field goniophotometer measurements imposed by a dynamic range mismatch. Opt. Express 2015, 23, 2240. [Google Scholar] [CrossRef] [PubMed]
- Skarżyński, K. Methods of Calculation of Floodlighting Utilisation Factor at the Design Stage. Light Eng. 2018, 26, 144–152. [Google Scholar] [CrossRef]














| TYPE | CASE | Number of .ies Files | Total Luminous Flux [lm] | EMIT LIGHT FORM | Lavg [cd/m2] | Lmax [cd/m2] | Lmax/Lavg [-] |
|---|---|---|---|---|---|---|---|
| FAR-FIELD | A | 17 | 17 × 195 = 3315 lm | POINT | 12.34 | 34.62 | 2.81 |
| B | RECTANGLE | 12.30 | 22.71 | 1.85 | |||
| NEAR-FIELD | C | 17 | 17 × 195 = 3315 lm | POINT | 12.49 | 24.14 | 1.93 |
| D | RECTANGLE | 12.49 | 22.81 | 1.83 | |||
| LED | E | 85 | 85 × 39 = 3315 lm | POINT | 12.29 | 24.32 | 1.98 |
| F | CIRCLE | 12.66 | 25.49 | 2.01 |
Publisher’s Note: MDPI stays neutral with regard to jurisdictional claims in published maps and institutional affiliations. |
© 2021 by the authors. Licensee MDPI, Basel, Switzerland. This article is an open access article distributed under the terms and conditions of the Creative Commons Attribution (CC BY) license (https://creativecommons.org/licenses/by/4.0/).
Share and Cite
Skarżyński, K.; Żagan, W.; Krajewski, K. LED Luminaires: Many Chips—Many Photometric and Lighting Simulation Issues to Solve. Energies 2021, 14, 4646. https://doi.org/10.3390/en14154646
Skarżyński K, Żagan W, Krajewski K. LED Luminaires: Many Chips—Many Photometric and Lighting Simulation Issues to Solve. Energies. 2021; 14(15):4646. https://doi.org/10.3390/en14154646
Chicago/Turabian StyleSkarżyński, Krzysztof, Wojciech Żagan, and Kamil Krajewski. 2021. "LED Luminaires: Many Chips—Many Photometric and Lighting Simulation Issues to Solve" Energies 14, no. 15: 4646. https://doi.org/10.3390/en14154646
APA StyleSkarżyński, K., Żagan, W., & Krajewski, K. (2021). LED Luminaires: Many Chips—Many Photometric and Lighting Simulation Issues to Solve. Energies, 14(15), 4646. https://doi.org/10.3390/en14154646

