Abstract
The cultivation of short rotation coppice (SRC) is a sustainable and ecological alternative for the production of energy vectors today. For its use, it is necessary to know the thermochemical properties of the biomass produced, as well as the differences between genotypes and varieties. In this work, the thermochemical properties of five different Populus clones grow up in Mediterranean basin, with two different age categories, are analyzed. The moisture content, wood density, heating value, ash content, energy density, composition and the volatile matter were measured, separating wood and crust fractions. The mean crust content for all clones was near to 10% but it is observed that the youngest clones have higher content of crust and humidity. The 3 year-old clones generally show lower humidity and ash content and higher density of wood and fixed carbon, consequently showing a higher heating value. In addition, 3 year-old clones are encouraged since they have a lower content of majority and minority elements in proportion that can generate less operating and environmental problems.
1. Introduction
1.1. Context of Biomass Energy
The continuous increase in the anthropogenic demand for energy implies the progressive depletion of fossil fuels and the increase of pollutant emissions, facts that have forced different governments to stimulate the use and search for alternative sources of energy. Currently, the European Union and other developed countries are promoting a strategy to reduce the emissions responsible for climate change and for the air pollution. In this sense, the objective is to create a sustainable production model considering a triple effect social, economic and environmental. The initiative, initially proposed in Kyoto Protocol, led to the drafting of the White Paper on Renewable Energies of the European Union (EU) [1]. In this regard, later the directive 2009/28/ EC was created which indicates that, in 2020, three objectives should be reached: (i) 20% of the primary energy produced in the Union countries must come from renewable origin, (ii) greenhouse gas emissions must be reduced by 20% and (iii) energy efficiency must be increased up to 20%. Additionally, 10% of fuels used in transport sector must be produced from renewable raw materials [2].
The European technical specification CEN/TS 14588 defines biomass as “all material of biological origin, excluding those that have been included in geological formations undergoing a mineralization process” [3]. This definition, therefore, excludes fossil fuels such as coal, oil or natural gas. Biomass includes residues of agricultural, livestock, forestry and urban origin, as well as energy crops, herbaceous or woody. According to this, biomass covers great heterogeneity in resources and applications associated with this energy source. Additionally, biomass is an abundant resource (the fourth primary energy source after coal, oil and natural gas) and geographically dispersed.
1.2. Wood Fuels and Forest Crops
Wood energy represents, in the developing countries, approximately 15 percent of total primary energy consumption although this value conceals differences at the subregional and national levels. In fact, in 13 countries woodfuels provide up to 90% of energy [4]. On the contrary, in industrialized countries, the total contribution of biomass to total primary energy is reduced to 3%, being used to produce heat and electricity, as well as in domestic applications [3]. Combustion is widely considered as one of the most simple, cost-effective, and environmentally benign thermal-chemical processes to date. Although the direct combustion process is considered as one of the most simple, cost-effective, and environmentally benign thermal-chemical processes to date [5].
Depending on the feeding material and the characteristics of the biomass the uses may be different. The residual biomass can be used directly in methane generation [6], heat cogeneration [7], biogas production [7] and hot water [8]. Biogas resources come from wastewater, empty industrial fruit bunches and live animal manure, pressed fiber and grain husk with a very high potential [7]. Likewise, poultry litter and natural gas co-combustion in a rotating fluidized bed combustion chamber have been proposed as one of the alternative solutions for the use of biomass [8].
However, despite the progress made in the use of biomass at the European level in last decades, biomass continues to be the pending subject of renewable energies in Spain, since it is the only source that has not met the objectives established in the Renewable Energy Plan 2005–2010 in Spain [9] and in the subsequent Renewable Energy Plan 2011–2020 [10,11] despite its high potential.
Biomass is usually classified into two large groups: primary and residual. Primary biomass, usually called energy crops, includes the production and management of different plant types. The residual or processed biomass is that which is extracted from the waste material of different productive activities (agricultural, forestry or industrial). Usually, residual biomass raw materials present more heterogeneity in its composition with implies higher ash content, lower C and H concentration and higher Nitrogen content (lower heating value) [12]. Other classification distinguishes between Short Rotation Forestry (SRF) that focuses mainly on forest species and Short Rotation Coppice (SRC), which normally does not distinguish between woody and herbaceous crops, being this last denomination broader.
Forest crops exploit certain species that are considered as energy efficient, economically profitable and are postulated as alternative for obtaining energy due to their rapid growth rate, greater regrowth capacity, high-energy accumulation per unit of weight and great adaptability to different soil conditions. In this sense, biomass in general and energy crops (in particular) were destined to play a fundamental role in energy plans, both at the European level and at the national level (Spain, PER 2011–2020 [11]).
1.3. Advantages and Drawback of Energy Crops
Several economic, environmental and social advantages are associated to the cultivation and use of energy crops [3,13,14]:
- -
- Around 90% reduction of CO2 emissions [15]. Part of the CO2 emissions generated in the combustion process is previously immobilized in the biomass structure during its growth associated with photosynthesis. This balance is known as Life Cycle Analysis, being a disagreement in bibliography related to the CO2 percentage “captured” by the plants.
- -
- The use of biomass is not dependent on intermittent weather, such as solar or wind energy.
- -
- Contribution to forest maintenance (reduction of the risk of forest fires and pests) and agriculture (use of set-aside land, reduction of erosion).
- -
- Reduction in SO2 and NOx emissions due to the low content of sulfur and nitrogen in the elemental composition of the biomass.
- -
- Socio-economic development of rural areas: job creation, development of processing and distribution industries, strengthening of agricultural markets, fixing of rural population.
Although the numerous advantages commented, the cultivation of energy crops presents some drawbacks [16]:
- -
- The handling and management (collection, transport, planting, phytosanitary treatments etc.) implies in turn a significant consumption of energy from fossil sources and high production costs.
- -
- The reduction in CO2 emissions is lower than expected (up to 90% with respect to the emissions generated in the combustion of fossil fuels [16]).
- -
- Impossibility of total replacement of fossil fuels with fuel produced from biomass due to limited availability of farmland.
- -
- Possible alteration of biodiversity because of the introduction of alien species and large areas of monoculture.
Sweden was the first country which opted for energetic forest species in the 80s, starting with willow plantations for energy production. The good results obtained favored the creation of new plantations in Denmark, Finland and the United Kingdom. However, the edaphological and climatic conditions of Spain mean that the species suitable for energy production must have different characteristics from the species used in northern Europe. For this reason, the first crop cultivated in Spain on a large scale was Populus (commonly called poplars), selected by the possibility of diversifying its exploitation in the paper industry in the case of not being profitable as energy crop. This variety has been little studied in the Mediterranean climate but is generating great expectations as an energy crop.
To cultivate profitable energy crops, it is necessary to scientifically determine which are those species whose performance is optimal under certain bioclimatic conditions. Apart from Populus, other crops stand such as: eucaenas, willows, paulownias and Eucalyptus, which are cultivated in a nursery until they are installed in the field and during the whole process they behave as CO2 sinks. All of them have a high planting density and their felling shifts are short (2, 3, 4 or 5 years) until the tree canopy closes.
Short rotation forest species are selected as energy crops because they meet the following requirements to a greater or lesser extent [17,18,19]:
- High heating value and quality of the fuel.
- High biomass production in dry basis.
- High youth growth.
- Narrow cups and/or large size of leaves at the top.
- Very fast-growing species.
- Very broad genetic base.
- Brief improvement cycles.
- Ease of vegetative multiplication.
- Regrowth after cutting.
- Adaptability to different soils and climates.
- Resistance to biotic and abiotic stress.
- Low ash content.
- Tolerance to high densities.
Considering all the commented aspects, the characterization of the biomass is a necessary step to evaluate its potential for energy application. Parameters such as the proportion of crust, the moisture content, the density or specific weight, the heating value, the ash and volatile content, the concentration of inorganic elements (including alkali metals) and the relationship between cellulose and lignin are properties must be evaluated to get a complete characterization of the biomass [17].
Short-shift, fast-growing species plantations are currently a promising way to produce electricity and heat either in industrial plants or in homes. The thermochemical and physical properties of the different crops, among them Populus gender, are of great interest since they allow to determine the energy potential of this type of biomass and the possible problems derived from the ashes produced in the combustion process. For this reason, a study of thermochemical and physical characterization of the biomass of different genotypes in the climatic conditions of the Mediterranean basin is carried out in this work. From this information, it is possible to evaluate which of the commercial genotypes usually considered as energy crops is the most appropriate for using in the climatic conditions selected (higher energy densities) and which period of cultivate time (2 or 3 years) is more suitable. Additionally, the biomass characterization was carried out for wood and crust, separately, in order to know the influence of both fractions on the properties evaluated and, consequently, to estimate the behavior that these genotypes would have in the combustion process of a power generation central.
2. Materials and Methods
2.1. Plant Material and Location
Five different genotypes, typically used as energy crops belonging to different species or hybrids, were used in this study:
- -
- Clone I-214 belongs to the species Populus deltoides x Populus nigra, called Populus x Euroamericana (Dode) Clone Guinier I-214 [20].
- -
- Clone AF2 belongs to the species Populus deltoides 145-86 x Populus nigra 40 called Populus x canadensis Mönch [21],
- -
- Ballotino clone belongs to the species Populus x canadensis Mönch, and according to some authors it is called Ballottino [22],
- -
- Clone Monviso belongs to the species Populus x generosa 103-86 (Populus deltoides 583 x Populus trichocarpa 196) x Populus nigra 715-86 (Populus nigra 12 x Populus nigra 7), briefly indicated as Populus x generosa x Populus nigra clone Monviso [21], finally,
- -
- The clone Viriato, which is the least known, belongs to the species Populus deltoides Marsh 20.
The commercial plantations are located in Spain, in the city of Granada, in the area called Vega de Granada. The plots have a slope that ranges from 3.7% to 4.4% and they are considered as irrigated land. The localization and edaphic, physiographic and climatic characteristics of zone are shown in Table 1 and Table 2. No fertilization was performed in any of the location studied and irrigation was applied according to the requirements.
Table 1.
Location and meteorological factors.
Table 2.
Biophysical factors and measurement methods.
From the information showed of Table 2 is possible to confirm that the selected soils have a typical sandy texture which matches the cation exchange capacity. These are considered as impoverished soils due to their low concentration in P and K, slightly basic pH and low-medium organic matter, which makes them susceptible to an alternative use for agricultural.
2.2. Design and Management of Plantation
The preparation of the land and the plantation was carried out mechanically, in spring, to allow the stumps to regrowth. The density was 13,200 trees per hectare for AF2, I-214, Ballotino and Monviso, and 15,000 tress per hectare in the case of Viriato. Sampling in the plantations was carried out to the samples collected were representative of the plants, being the population density comparable. Trees were harvested and the fresh weight of aerial biomass (stem and branches) per plant was determined. The characteristics of the plantation are showed in the Table 3, where is observed that four clones of 3 year-old were selected and only one younger (2 year-old). The use of the land by local farmers, as well as commercial limitations and interests limited the possibility of planting other 2 year-old varieties.
Table 3.
Biomass name, age and density of plantation.
The sampling should be carried out inside the plantation to avoid the edge effect, i.e., the different growth of the plants in the limit the plot due to changing conditions such as light, irrigation, protection, etc. A representative sample is taken randomly, considering this sample as sufficiently repeatable and reliable of the total plantation. The cut is made at ground level, up to a height about 10–20 cm.
3. Results and Discussion
3.1. Natural Air-Drying
Immediately after cutting, the samples are debarked upon receipt in the laboratory and measurements of diameter, weight and length of the samples are taken which allow to estimate the density of the wood once the dry weight has been calculated. The samples were dried naturally, this process consisting on spreading the sample in an airy place, free of contaminants, avoiding direct exposure to the sun and in as far as possible little traveled. To evaluate the natural air drying for each genotype, the difference between the moisture content before and after natural air drying was calculated. The sample preparation methods were developed according to the methodologies proposed in the technical specification CEN/TS 14780 [23]. The samples were then weighted, cut into chips and dried in an oven to determine the moisture content of according to EN 14774 [24].
3.2. Samples Crust Content
As it was commented previously, the biomass characterization was carried out separating wood and crust fraction. In this sense, the first step necessary in this study is the evaluation of crust content in the samples. Results of this analysis are shown in Figure 1 the error detection associate to the device lower than 0.5%.
Figure 1.
Crust and wood content in mass percent dry basis of the different clones.
The crust content varies from 9.3% to 14.9% in dry basis. Senelwa et al. [25] comment that the crust/wood ratio is lower as the age of the stump increases, although results from clone I-214 are not consistent with this trend because this sample is 3 year-old and it presents a higher crust content than Viriato one. Generally, the mean crust content in the Mediterranean ambient is lower than that reported by Senelwa et al. [25] y Mészáros [26] (11.5–22%).
3.3. Methodology and Standards of the Composition and Properties Measured
The thermochemical properties of lignocellulosic biomass were analyzed in the laboratory. Three repetitions were made for each analysis. Different physical-chemical properties and composition measured in this study are moisture content, particle size distribution, apparent density, lower and higher heating value (LHV and HHV, respectively), elemental analysis (carbon (C), hydrogen (H), nitrogen (N), sulfur (S)), ash content and volatile matter. Additionally, the majority and minority inorganic elements (Al, Ca, Fe, Mg, K, Si, Na, Ti, Mn, As, Cd, Cr, Cu, Ni, Pb, Sb, Mo, V, Co, Zn) present in the lignocellulosic biomass were also determined. In the Table 4, all the properties measured in this work and its the standard associated are detailed.
Table 4.
Standards of the composition and properties measured.
The crushing of the wood and the crust, separately, was carried out with a cutting mill (Retsch model SM100) according to EN 14780. Once the samples are prepared (crushed to 0.25 mm and pre-dried) they are dried in an atmosphere of air (or N2 if the sample is susceptible to oxidation) at 105 ± 2 °C until a constant mass is reached. The humidity data are expressed in units of percentage by mass and are carried out independently (wood and crust). This parameter is evaluated before carrying out the tests for determining the rest of properties (wood density, heating value, ash content, volatile matter, C, H, O, N, S, and Cl content, major and minor inorganic elements) in order to show the results of the properties evaluated on dry or wet basis.
The biomass (wood and crust) used for the rest of the properties analyzed (Table 4) was crushed with an ultra-centrifugal mill (Retsch model ZM 200) in order to reduce the particle size up to 0.5 mm or less (size required by the different analysis equipment) and a weight of approximately 50 g to allow to carry out all the tests.
The higher heating value (HHV) was measured using the calorimeter 6100 PARR, with removable oxygen bomb and bucket. The combustion is carried out at constant volume, so the internal energy change due to combustion with water in the condensed state is the higher heating value at constant volume [26]. From this value, the lower heating value (LHV) is calculated using the Equation (1):
and are the lower and higher heating value measured at volume constant, respectively. is the standard enthalpy of vaporization of water and is the mass fraction of hydrogen in the fuel.
The combustion process in a boiler occurs at constant pressure. For this reason, in order to calculate different parameters related to the efficiency of the power cycle using biomass as fuel, the lower heating value is calculated at these conditions () using the Equation (2), where is the mass fraction of oxygen in the fuel composition:
The elemental analysis, i.e., carbon, hydrogen, nitrogen, and sulfur content, was measured with a CHNS analyzer (LECO model TruSpec) [27,28]. An ion chromatography was used for the chlorine determination [28] and the ash content was analyzed in a furnace following the specifications of EN 14775 [29]. The volatile matter was determined using a furnace according to EN 15148 [30] while the concentration of major and minor inorganic elements in the biomass samples composition were determined specified in the EN 15290 and EN 15297 standards [31,32].
3.4. Moisture Content
Moisture content depends, largely, on the proportion of sheets, fine and coarse material, the time of year, the time elapsed since felling, precipitation and environmental humidity. The importance of this property lies in different aspects: (i) the price of transport (the weight of wet biomass is higher than dry biomass), (ii) the storage because the moisture affects drying time, favors the putrefaction and the possible autoignition during the storage. However, the most important disadvantage associated to the moisture in biomass is the decrease of the heating value, with the consequent price penalty.
Moisture was removed in the samples to avoid uncertainty. For this reason, in this study the content of volatile matter, fixed carbon and ash are normalized on a dry basis (without moisture) because the characteristics of the sample become more significant and comparable with other studies [33].
Figure 2 shows the moisture of the five “clones” selected for this work, separating the fractions of wood and crust. The values of moisture (in percentage) are high which is justified because they are “green samples” (wood+crust). These percentages (between 48–57%) compromise the thermal use of biomass, since the fuel humidity would be not higher than 20% in small-scale installations and in big installations this value would be lower than 40%. It is remarkable the reduction of humidity when the sample is pre-dried, decreasing up to 6% or 8.5% in only one month. From all the samples tested, the clone with the lowest humidity content is Monviso (wood+crust) and the highest value is associated to AF2. Viriato sample (the youngest one) shows the highest value of moisture in the crust, which is justified by the lower lignification of the stem and the higher biological activity of the phloem because of the lower surface/volume ratio.
Figure 2.
Moisture content (in percentage) of the different clones and fractions.
3.5. Density of Wood Samples
The density of biomass (wood fraction in this case) has influence on the physical-chemical properties and on the fibrosity of solid wood products [34]. This parameter is necessary to estimate the transport and storage costs and the feedstock characteristic of the thermo-chemistry equipment (hoppers, augers, conveyors, etc.). The production of dry wood is directly related to the density of the samples [35].
Results of wood density at the time of cutting, and after the wood drying, are shown in Figure 3. The highest values of wood density were obtained with Ballotino samples in both, wet and dry basis (785 y 381 kg/m3, respectively), being the results quite different depending on the clon [34]. Viriato samples (the only younger clone, 2 years) show the lowest density because the wood is less lignified. The higher density at the time of cutting do not imply a higher density when the biomass is dry, as is checked for the samples of AF2 y Monviso. Around the 50% of the weight correspond to water, so it would be interesting to study the viability of the dry process in field.
Figure 3.
Wood density (kg/m3) for the different clones in wet and dry basis.
Among 2 year-old clones, that of Viriato is the sample with the lowest density which is due to it is not lignified while for the 3 year-old clones it is Ballotino, in both wet and dry conditions (785 y 381 kg/m3, respectively). The higher density at the moment of felling does not imply a higher density when the biomass is dry, as it may be checked for the samples of AF2 y Monviso. Around the 50% of the weight correspond to water, so it would be interesting to study the viability of the dry process in field in order to minimize the transport costs.
3.6. Proximate Analysis
Proximate analysis includes the volatile content, ash content and fixed carbon of the fuel, in this case biomass. Regarding volatile content, it has influence in in the reaction velocity whatever was the process: pyrolysis, combustion and/or gasification. In this sense, the design of the biomass processing facilities, i.e., reactors or boilers depends on this parameter.
The results of volatile fraction (%) for all the samples tested are shown in Figure 4. Results obtained for the clones selected in this work are quite high (84.5–87%) compared to those commented in literature, which usually vary from 78.4% to 84.8% [35,36,37]. No great differences are observed between varieties or age clones, although is considered that the short rotation coppice (SRC) usually shows high volatile content [38,39]. Volatile fraction of crust samples is lower than that wood samples, which is in concordance with its lower heating values (see Section 3.9). Most of the heating value of biomass can be contained in its volatile fraction [40], this fraction could reach up to 80% of the total of the sample. The volatile fraction of biomass used to be higher than in other fuels, e.g., coal (30–50%).
Figure 4.
Volatile content (%) in dry basis for the different clones and fractions.
The higher ash content, the lower heating value. Apart from this effect, ash presence favors the deposit formation and heat transfer zones, being all these aspects notable disadvantages and affecting to the plant costs (thermal plant shutdowns for maintenance or periodic cleaning).
Ash content for the wood samples (Figure 5) varies from 0.83% for AF2 to 1.22% for Viriato clone while this content for the crust fractions is quite higher (7.88% for Viriato clone). The biomass ash content commented in bibliography varies from 1.4% and 4.5% [29,40,41,42,43] which indicated that the samples selected for this work correspond to high quality biomass which may be penalized by the presence of crust. The higher presence of ashes in crust fractions, and for the young samples, is justified by the lower ratio area/volume and, consequently, its lower biological activity. It is remarkable that the maximum value of this parameter for biomass samples is quite lower than that associated to other fuels such as the coal (5–30%), becoming an advantage for the use of biomass in power generation plants.
Figure 5.
Ash content (%) in dry basis for the different clones and fractions.
The ashes from biomass have two compounds: one intrinsic from composition and other derived from the external contamination (presence of waste material in the feedstock of power plant). Moreover, the ashes analyzed in this work are those generated in the laboratory at 550 °C while the solid waste generated in a thermal plant (ashes and slags) are produced at higher temperatures and, consequently, the composition is not the same than that showed in this work. In this sense, to evaluate its viability of use and economic recovery in depth, the study should be carried out with the solid waste generated in the plant itself.
Volatile matter on convection heating surfaces creates scaling. These compounds are usually alkali metal oxides (K2O and Na2O) [44]. Deposition of ashes (e.g., Na2SO4, K2SO4) via flue gas on the outer tube wall and calcium-based deposit on the inner tube wall by hard water could cause a fouling effect to increase thermal resistance, decreasing the heat transfer rate [45].
The values of fixed carbon content of the different samples analyzed are shown in Figure 6, observing that the values of this parameter of crust fractions are always higher than those of wood. The carbon content has a direct relationship to the heating value (see Section 3.9). Similar values were obtained with the different genotypes selected for this study which indicates the no influence of the age or another sample characteristic.
Figure 6.
Fixed carbon in dry basis for the different clones and fractions.
3.7. Elemental Analysis
Elemental analysis provides the carbon, hydrogen, nitrogen, sulfur and oxygen content in the fuel. Chlorine, fluorine and bromine can also be included in this analysis. The nitrogen, sulfur and chlorine content of forest biomass is low, a positive factor due to environmental issues (emissions and formation of dioxins) and the implications of the sulfur and chlorine content in the formation of deposits and corrosion in boilers [46]. All results shown are presented on a dry basis in Table 5. In addition, when elemental analysis data on a dry basis is shown, the ash content is included since the oxygen content is calculated by difference to 100 with the rest of the elements (C, H, N, S, Cl) and the content in ashes. In general, and unless otherwise specified, the material studied does not include leaves, since the felling of deciduous species cultivated in short shifts for them to re-grow must be carried out during the vegetative stoppage period.
Table 5.
Elemental analysis (ash, C, O, H, N, Cl and S) in percent in dry basis of the different fractions of the clones and weighted total. (-) below detection limit.
Elemental analysis of the samples studied is also shown in the Table 5, including mean values and standard deviation of the repetitions made for each sample. Firstly, the nitrogen content varies from 0.1% to 0.7%, values within the typical range of biomass samples. The low content of nitrogen of these samples, compared to other fuels (for example coal), is an advantage for biomass since nitrogen favors the NOx formation during a combustion process.
The formation of NOx in the combustion process of whatever fuel, in this case biomass, is mainly due to a thermal mechanism where the high temperature and the presence of nitrogen in the fuel composition are the factors with the highest influence. However, the composition of the fuel in terms of ash, volatile matter and fixed carbon content will also affect the transformation of the released N species. Most solid biofuels obtained from agricultural residual biomass has a high content of volatile matter and a low content of fixed carbon which would reduce the NOx formation. However, the catalytic effect of ash could be important for some residual biomass that has a high calcium oxide (CaO) content that can give rise to active surfaces capable of catalyzing the reduction of NO and N2O [47]. The char/ash effect on NOx destruction was observed during tests in a multi-fuel domestic boiler (40 kW) with poplar pellets, generating very low NOx production values 47.
The most important information related to the elemental analysis lies in the carbon and hydrogen content because the higher values of these compounds, the higher heating value. The carbon content of the samples varies from 46% to 50% while the range of hydrogen is 5–7%, typical values for biomass. Sulfur content favors corrosion, deposit formation and the production of SOx. The normal range of sulfur content for coal is 0.5–7.5% and, for this study, the highest value is 0.5% which facilitates its use for energy production. The sample from 2 year-old clone of Viriato showed the highest Cl content, being the values of all samples the typical of biomass. Regarding oxygen content, on one hand decreases the heating value of fuels and in the other hand favors the combustion process because its presence reduces the air necessary in this process. The oxygen percentages of samples studies move between 35–45%.
The most important variations are observed in the nitrogen, sulfur and chlorine contents are summarized in Table 5. Nitrogen varies between 0.35% and 0.95%, sulfur between less than 0.02% and 0.07% and chlorine between 0.004% and 0.01%, generally very low values. On the other hand, the variations of C and H are less significant. Carbon varies between 47.9% and 50.2% and hydrogen between 5.7% and 6.4% [17,43].
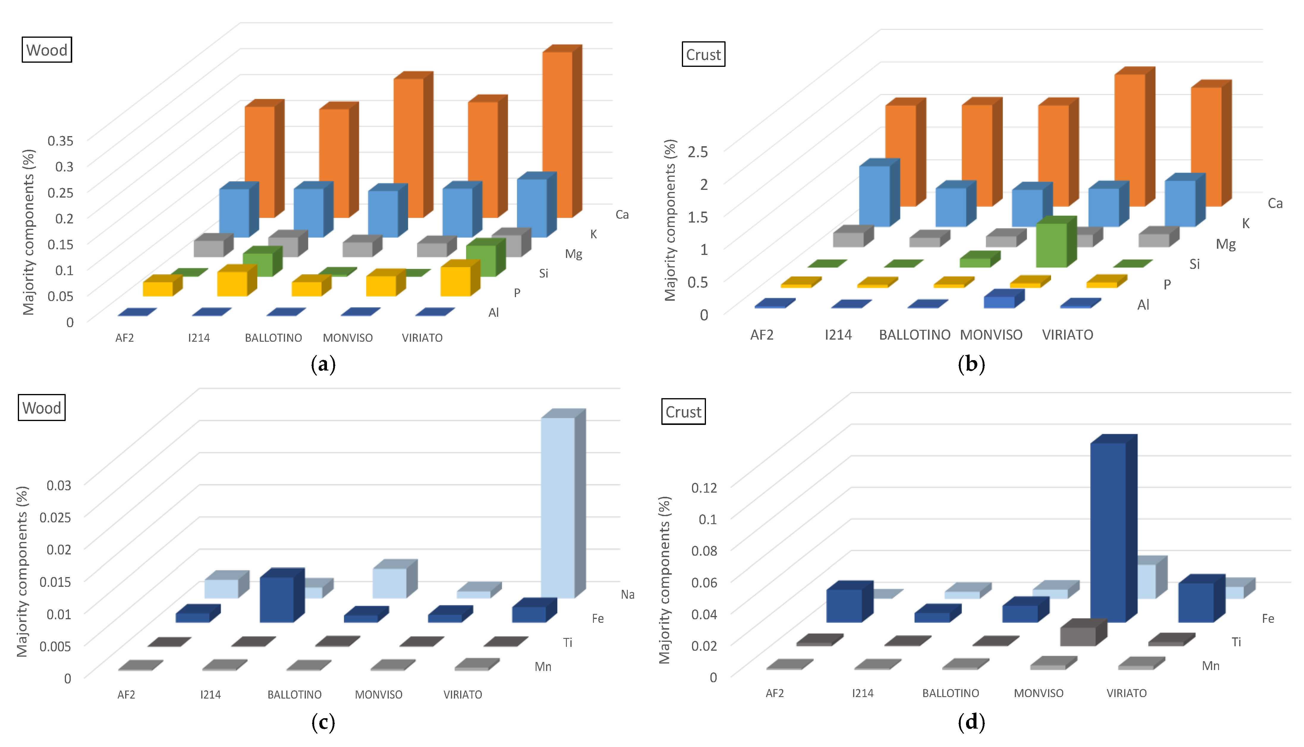
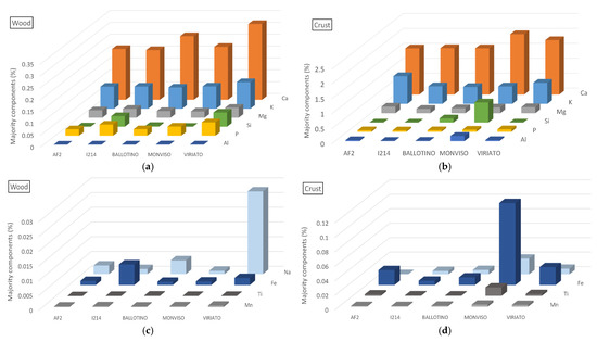
3.8. Analysis of Majority and Minority Elements
In this section, the presence of majority and minority elements (different of those corresponding to elemental analysis, C, H and O) is evaluated. From the results showed in Figure 7 and Figure 8 (less than 0.1% the error in the measurements) the following conclusions can be commented:
Figure 7.
Analysis of majority elements in dry basis for wood (a,c) and for crust (b,d).
Figure 8.
Analysis of minority elements in dry basis for (a) wood and (b) crust.
- -
- Firstly, the majority compounds present in the samples analyzed are: Ca, followed by K, Mg, Si, P and Al (Figure 7a,b). Regarding the crust, Al acquires a relevant importance (Figure 7c,d) which may be due to the fact Al is toxic to plants, being eliminated and becoming part of the crust. Additionally, since Al is part of the clays (land where the plantation is located) it may be deposited in the crust.
Among the minorities’ elements (Figure 8a for wood and Figure 8b for crust), the metabolism of plants may be the cause of the high values for Zn because it is a promoter of certain metabolic reactions and serves to activate the enzymatic system.
Therefore, young individuals (for example 2 year-old plants) with higher metabolic activity have a higher content of minority elements, mainly in the fraction of wood. The implications of the composition lie in the hypothetical use of these. Several are suggested:
- Flux material in ceramics, being applied as a flux due to its potassium content.
- The amount of potassium, magnesium and phosphorus present in the ash makes it interesting to use it as a soil nutrient for agricultural use.
- This possible application in agriculture is possible thanks to Ca content of the ashes for correction of acidic soils.
- The low content of heavy metals must be evaluated according to the destination of the ashes (dumping or different uses), taking into account the limits allowed for said destination.
- Na and K, which in combination with S and Cl cause ash deposition and fusion problems and increase corrosion.
- K reduces the melting point of the ashes and can cause jams. It’s the high content of this element may be of interest in applications as a flux in ceramic or its use as fertilizers.
- Content of majority and minority elements affects the operation of reactors and boilers (such as in controlling the temperatures of the superheaters) and the maintenance of the plant (periodic cleaning). Other elements such as Mg, Ca, and P increase the melting point of the ash and facilitate the retention of contaminants in them.
3.9. Heating Value
The influence of crust in this parameter is low and, for this reason, values of the total sample are shown in Figure 9. The importance of this parameter mainly lies in the price of biomass. One of the main disadvantages of the biomass is that the values of heating are in the range of 14.5–21.5 MJ/kg while other fuels, i.e., coal, this range is 23–28 MJ/kg.
Figure 9.
Higher heating value (HHVv) balanced (crust + wood) and lower heating values (LHVp) for the different clones at dry basis.
All harvested genotypes presented HHVv and LHVv which varied between 20.3–20.9 (MJ/kg) and 19.0–19.6 (MJ/kg), both on a dry basis, respectively. Heating values are similar in both age classes (3 years and 2 years), varying its mean value by less than 150 kJ/kg (less than 1% of the value). On the other hand, and within the oldest samples, it is observed that there is a significant decrease in calorific power in the Monviso clone around 600 kJ/kg (≈3%). The comparison of results is facilitated by calculating the calorific value on a dry basis.
Considering the practical use of biomass in a boiler, the lower heating value is more representative because it denotes the energy content available for combustion. The lower values determined for 2 year-old clones would suggest that these genotypes are less suitable. In addition, according to the results of the ash content (Table 5), there are slight differences between the different genotypes. The higher ash and the higher moisture content penalize the heating value of 2 year-old clones (because it has greater biological activity and has not lignified as in the case of 3 year-old). This may be possible due to ash having an inert effect on the heating value [33].
As can be seen in Table 5 and Figure 7 and Figure 8, the values and type of ash for this poplar biomass are very low compared to other types of biomass [48], so this component has lower influence. In the study of Jenkins et al. [49] similar values for volatile fixed carbon and slightly higher values for ash content were obtained with poplar samples. This high ash content would justify the lower HHVv obtained for poplar samples in this work [49]. Other parameter that has influence on the heating value is the moisture in the fuel, which reduces the value of this parameter value compared to that measured at dry basis. The heating values can also be correlated with the carbon concentration among other compounds. According to the bibliography, an increment of 1% in carbon content implies an increase of the heating value by approximately 0.39 MJ/kg [50], which is in the orders of magnitude of the data obtained. As shown in Table 5, the maximum variation of the C content is 0.57% (without considering the deviation of the data), so the carbon content will have an influence lower than 220 kJ/kg between the samples.
3.10. Wood Energy Density (MJ/m3)
This parameter is calculated from the heating value and the density of the sample. Two types of representations are presented in the Figure 10: one considering the dry wood (0% of humidity) and the other using the humidity at the moment of collection.
Figure 10.
Energy density for the different clones at dry and wet basis.
Regarding to energy density, moisture content can be a limiting factor in biomass transport. The sample of 2 year-old Viriato shows the lowest energy density. In the case of Ballotino and Monviso, although the transport of wet biomass involves a large amount of water in the sample, the energy contained is up to 6465 MJ/m3 (high value compared to other clones). The transport of this wet biomass may be profitable depending on the costs and benefits, the use to which it will be destined, as well as the benefits and drawbacks that may be generated from the composition of its ashes.
In general, as previously mentioned, 2 year-old clones have a lower energy density and a higher concentration of ashes, so their use should be limited to less demanding applications.
4. Conclusions
In this work, the thermochemical characterization of several Populus clones (a species of great interest for its implantation as an energy culture) has been carried out in order to determine which of the clones shows the best properties for its use for energy production. Poplars are well adapted to the Spanish (Mediterranean) climate, and they respond well to local temperatures and light exposure in the growing period. This work provides a wide knowledge of the possible uses of this biomass as fuel in different process of energetic productions.
Crust content in the samples is 10.35% and 9.50%, in dry basis, for 3 year-old samples and 2 year-old samples, respectively. These values are quite low compared to the values reported in literature in other environments, which is an advantage since the possible operation problems associated to this sample fraction is reduced. The youngest clones have higher content of humidity and crust, possibly due to higher biological activity and higher phloem-to-volume ratio.
From the results obtained this study is concluded that the clones grow up in a Mediterranean environment for 3 year-old have a higher heating value, fixed carbon and lower humidity and a greater potential to reduce the problems related to ash. The use of 2 year-old clones is not advisable since the energy density of the wood is very low (although its calorific value per kg is similar) and the moisture content is higher (increasing mass transported without improvement of the total energy content). In this sense, the Viriato clone (2 years) presents higher humidity, high ash content, low density in dry wood and a higher content of minor and major elements, which can cause problems operating and environmental problems. Additionally, 3 year-old samples show higher density values than the Viriatio one, which is justified by their higher lignification of the stem. Heating values are similar in both age classes and are the located in the higher limit of the biomass range.
Notwithstanding the above (advantages of using SRC cultures), it should be taken into account that the clones studied come from crosses of exotic species, which could imply long-term problems, such as alterations in biodiversity (loss of genetic diversity or hybridizations with native species), creation of monocultures, etc. Therefore, it would be advisable to cultivate native species. In addition, it is recommended to use mixtures (multispecific crops) to minimize the impact of diseases and pests.
This knowledge opens paths for the realization of different technical and economic feasibility studies in the future. Additionally, the separately study of wood and crust fractions (usually the total biomass sample is evaluated) provides and added value to this work and it will allow to allocate this biomass, according to its composition, to the most appropriate use in different energy production processes (combustion, gasification, pyrolysis, etc.). Wider research would allow to make production and market simulations of this type of biomass and to evaluate the quality of different biomass raw material for the conversion into electricity and heat.
Author Contributions
Conceptualization R.G.-C. and J.A.S. Methodology: R.G.-C. and J.A.S. Formal analysis: R.G.-C. and J.A.S., A.J.C.d.L.P. Investigation, R.G.-C. and J.A.S. Resources: R.G.-C. and J.A.S. Writing—original draft preparation: R.G.-C. and J.A.S., A.J.C.d.L.P. Writing—review and editing: R.G.-C. and J.A.S., A.J.C.d.L.P. Supervision: R.G.-C. and J.A.S. All authors have read and agreed to the published version of the manuscript.
Funding
This research received no external funding.
Acknowledgments
Authors want to thank the Research Group Fuel and Engines Group (GCM) and Research Group in Energy and Environmental Processes (GPEM) of the University of Castilla la–Mancha.
Conflicts of Interest
The authors declare no conflict of interest.
References
- Renewable Energy: White Paper Laying Down a Community Strategy and Action Plan. Available online: https://eur-lex.europa.eu/legal-content/EN/TXT/?uri=LEGISSUM%3Al27023 (accessed on 5 May 2021).
- Directive 2009/28/EC of the European Parliament and of the Council of 23 April 2009 on the Promotion of the Use of Energy from Renewable Sources and Amending and Subsequently Repealing Directives 2001/77/EC and 2003/30/EC. Available online: https://eur-lex.europa.eu/LexUriServ/LexUriServ.do?uri=OJ:L:2009:140:0016:0062:en:PDF (accessed on 5 May 2021).
- Institute for Diversification and Energy Saving, Ministry of Industry, Tourism and Commerce, Government of Spain. Biomass Energy. Biomass: Gasification 2007. Available online: https://www.idae.es/sites/default/files/documentos/publicaciones_idae/documentos_10737_biomasa_gasificacion_07_d2adcf3b.pdf (accessed on 5 May 2021).
- Trossero, M.A. An Overview of Woodfuel Issues at the Beginning of the Twenty-First Century—Problems and Opportunities. FAO’s Wood Energy Information System. Available online: https://www.semanticscholar.org/paper/Wood-energy%3A-the-way-ahead.-Trossero/0c14d5392b9fffc7d3dfb0eb8aa40f64b39f0714?p2df (accessed on 5 May 2021).
- Qian, X.; Lee, S.; Chandrasekaran, R.; Yang, Y.; Caballes, M.; Alamu, O.; Chen, G. Evaluation and Emission Characteristics of Poultry Litter Co-Combustion Process. Appl. Sci. 2019, 9, 4116. [Google Scholar] [CrossRef] [Green Version]
- Borek, K.; Romaniuk, W.; Roman, K.; Roman, M.; Kuboń, M. The Analysis of a Prototype Installation for Biogas Production from Chosen Agricultural Substrates. Energies 2021, 14, 2132. [Google Scholar] [CrossRef]
- Prasertsan, S.; Sajjakulnukit, B. Biomass and biogas energy in Thailand: Potential, opportunity and barriers. Renew. Energy 2006, 31, 599–610. [Google Scholar] [CrossRef]
- Qian, X. Statistical Analysis and Evaluation of the Advanced Biomass and Natural Gas Co-Combustion Performance. Ph.D. Thesis, Morgan State University, Baltimore, MD, USA, 2019. [Google Scholar]
- Institute for the Diversification and Saving of Energy, Ministry of Industry, Tourism and Commerce, Government of Spain. Renewable Energy Plan 2005-2010. 2005. Available online: https://www.iea.org/policies/4431-renewable-energy-plan-2005-2010 (accessed on 6 May 2021).
- Cabrera, M.; Vera, A.; Cornejo, J.M.; Ordás, I.; Tolosana, E.; Ambrosio, Y.; Martínez, I.; Vignote, S.; Hotait, N.; Lafarga, A.; et al. Evaluation of the Energy Potential of Biomass. Technical Study PER 2011-2020 Madrid. 2011. Available online: https://www.idae.es/uploads/documentos/documentos_11227_e14_biomasa_A_8d51bf1c.pdf (accessed on 6 May 2021).
- Ministry of Industry, Tourism and Commerce. Government of Spain. IDAE Institute for Energy Diversification and Saving “Renewable Energy Plan (PER) 2011–2020”. 2011. Available online: https://www.idae.es/uploads/documentos/documentos_11227_PER_2011-2020_def_93c624ab.pdf (accessed on 6 May 2021).
- Abdelhady, S.; Shalaby, M.A.; Shaban, A. Techno-Economic Analysis for the Optimal Design of a National Network of Agro-Energy Biomass Power Plants in Egypt. Energies 2021, 14, 3063. [Google Scholar] [CrossRef]
- Piotrowska, N.S.; Czachorowski, S.Z.; Stolarski, M.J. Ground Beetles (Carabidae) in the Short-Rotation Coppice Willow and Poplar Plants—Synergistic Benefits System. Agriculture 2020, 10, 648. [Google Scholar] [CrossRef]
- National Association of Engineers of ICAI and Universidad Pontificia de Comillas. Biomass: Status and Immediate Perspective. 2009. ISBN 978-84-935950-9-B. Available online: https://www.icai.es/contenidos/contenido_texto.php?contenido=1875 (accessed on 6 May 2021).
- Mircea, I.; Falup, O.; Ivan, R.; Ionel, I. Reducing GHG Emissions with SRC EWR REV. CHIM. (Bucharest) 66 No. 1. 2015. Available online: http://bch.ro/pdfRC/MIRCEA%20I..pdf%201%205.pdf (accessed on 6 May 2021).
- Bracmort, K. Biomass Feedstocks for Biopower: Background and Selected Issues. Congressional Research Service the Library of Congress: USA. 2010. Available online: https://www.everycrsreport.com/files/20101006_R41440_97aefb63dd9d2dfd4c1ae046d0d4ad0f5b6d0136.pdf (accessed on 6 May 2021).
- Sixto, H.; Hernández, M.J.; Barrio, M.; Carrasco, J.; Cañellas, I. Plantations of the genus Populus for the production of biomass for energy purposes: A review. J. Agrar. Res. For. Syst. Resour. 2007, 16, 277–294. [Google Scholar] [CrossRef] [Green Version]
- Tharakan, P.J.; Volk, T.A.; Abrahamson, L.P.; White, E.H. Energy feed stock characteristics of willow and hybrid poplar clones at harvest age. Biomass Bioenerg. 2003, 25, 571–580. [Google Scholar] [CrossRef]
- Dini-Papanastasi, O. Effects of clonal selection on biomass production and quality in Robinia pseudoacacia var. monophylla Carr. For. Ecol. Manag. 2008, 256, 849–854. [Google Scholar] [CrossRef]
- Monedero, E.; Hernández, J.J.; Collado, R. Combustion-related properties of poplar, willow and black locust to be used as fuels in power plants. Energies 2017, 10, 997. [Google Scholar] [CrossRef] [Green Version]
- Facciotto, G.; Giorcelli, A.; Vietto, L.; Allegro, G.; Castro, G.; Picco, F. Nuovi cloni di piopo Rev. Agricoltora 2006, 34, 71–78. [Google Scholar]
- Allegro, G.; Bisoffi, S.; Chiarabaglio, P.M.; Coaloa, D.; Castro, G.; Facciotto, G.; Giorcelli, A.; Vietto, L. PIOPPICOLTURA Produzioni di qualità nel rispetto dell‘ambiente. Istituto di Sperimentazione per la Pioppicoltura. Istituto di Sperimentazione per la Pioppicoltura, Regione Lombardia. 2006. Available online: https://lombardia.confagricoltura.it/file_upload/lombardia/files/libretto_pioppicoltura.pdf (accessed on 8 May 2021).
- European Committee for Standardization. CEN/TS 14780: Solid Biofuels—Methods for Sample Preparation. 2004. Available online: https://infostore.saiglobal.com/preview/is/en/2011/i.s.en14780-2011.pdf?sku=1478373 (accessed on 8 May 2021).
- European Committee for Standardization. EN 14774-2: Solid Biofuels—Determination of Moisture Content—Oven Dry Method—Part 2: Total Moisture—Simplified Method. 2009. Available online: https://infostore.saiglobal.com/preview/is/en/2009/i.s.en14774-2-2009.pdf?sku=1382257 (accessed on 8 May 2021).
- Senelwa, K.; Sims, R.E.H. Fuel characteristics of short rotation forest biomass. Biomass Bioenerg. 1999, 17, 127–140. [Google Scholar] [CrossRef]
- Mészáros, E. Comparative study of the thermal behavior of wood and bark of young shoots obtained from an energy plantation. J. Anal. Appl. Pyrolysis 2004, 72, 317–328. [Google Scholar] [CrossRef]
- European Committee for Standardization. EN 15104: Solid Biofuels. Determination of Total Content of Carbon, Hydrogen and Nitrogen. Instrumental Methods. 2011. Available online: https://infostore.saiglobal.com/preview/is/en/2011/i.s.en15104-2011.pdf?sku=1461029 (accessed on 8 May 2021).
- European Committee for Standardization. EN 15289: Solid Biofuels. Determination of Total Content of Sulfur and Chlorine. 2011. Available online: https://infostore.saiglobal.com/preview/98702827571.pdf?sku=875144_SAIG_NSAI_NSAI_2080439 (accessed on 8 May 2021).
- European Committee for Standardization. EN 14775:2009: Solid Biofuels—Determination of Ash Content. 2009. Available online: https://infostore.saiglobal.com/preview/is/en/2009/i.s.en14775-2009.pdf?sku=1382258 (accessed on 8 May 2021).
- European Committee for Standardization. EN 15148: Solid Biofuels—Determination of the Content of Volatile Matter. 2010. Available online: https://infostore.saiglobal.com/preview/is/en/2009/i.s.en15148-2009.pdf?sku=1382260 (accessed on 8 May 2021).
- European Committee for Standardization. EN 15290: Solid Biofuels. Determination of Major Elements. Al, Ca, Fe, Mg, P, K, Si, Na and Ti. 2011. Available online: https://www.google.com.hk/url?sa=t&rct=j&q=&esrc=s&source=web&cd=&cad=rja&uact=8&ved=2ahUKEwizma6_nq3xAhUDL6YKHWbRA6wQFjACegQIAxAE&url=https%3A%2F%2Fwww.techstreet.com%2Fproducts%2Fpreview%2F1895493&usg=AOvVaw2TnW8Pa_76fD1suHIDeD1y (accessed on 8 May 2021).
- European Committee for Standardization. EN 15297: Solid Biofuels. Determination of Minor Elements. As, Cd, Co, Cr, Cu, Hg, Mn, Mo, Ni, Pb, Sb, V and Zn, 2011. Available online: https://www.google.com.hk/url?sa=t&rct=j&q=&esrc=s&source=web&cd=&cad=rja&uact=8&ved=2ahUKEwj3_p2Sn63xAhUiLqYKHUHzCPIQFjABegQIBBAD&url=https%3A%2F%2Fwww.researchgate.net%2Fprofile%2FM_Ramiro_Pastorinho%2Fpost%2FHow-do-I-measure-cadmium-in-wood-chips%2Fattachment%2F59d64707c49f478072eaec58%2FAS%253A273839429226496%25401442299815379%2Fdownload%2F%255BBS%2BEN%2B15297-2011%255D%2B--%2BSolid%2Bbiofuels.%2BDetermination%2Bof%2Bminor%2Belements.%2BAs%252C%2BCd%252C%2BCo%252C%2BCr%252C%2BCu%252C%2BHg%252C%2BMn%252C%2BMo%252C%2BNi%252C%2BPb%252C%2BSb%252C%2BV%2Band%2BZn..pdf&usg=AOvVaw0sdduJSGbU5QKi51efCL6V (accessed on 8 May 2021).
- Qian, X.; Lee, S.; Soto, A.-M.; Chen, G. Regression Model to Predict the Higher Heating Value of Poultry Waste from Proximate Analysis. Resources 2018, 7, 39. [Google Scholar] [CrossRef] [Green Version]
- Pliura, A.; Zhang, S.Y.; MacKay, J.; Bousquet, J. Genotypic variation in wood density and growth traits of poplar hybrids at four clonal trials. For. Ecol. Manag. 2007, 238, 92–106. [Google Scholar] [CrossRef]
- Kenney, W.A.; Sennerby-Forsse, L.; Layton, P. A review of biomass quality research relevant to the use of poplar and willow for energy conversion. Biomass 1990, 21, 163–188. [Google Scholar] [CrossRef]
- Miles, T.R.; Miles, T.R., Jr.; Baxter, L.L.; Bryers, R.W.; Jenkins, B.M.; Oden, L.L. Alkali deposits found in biomass power plants: A preliminary investigation of their extent and nature. National Renewable Energy Laboratory. 1995. Available online: https://www.nrel.gov/docs/legosti/fy96/8142v1.pdf (accessed on 8 May 2021).
- Khalil, R.A.; Mészáros, E.; Grønli, M.G.; Várhegyi, G. Thermal analysis of energy crops Part I: The applicability of macro-thermobalance for biomass studies. J. Anal. Appl. Pyrol. 2008, 81, 52–59. [Google Scholar] [CrossRef]
- Poplar Short Rotation Coppice Plantations under Mediterranean Conditions: The Case of Spain Nerea Oliveira, César Pérez-Cruzado, Isabel Cañellas, Roque Rodríguez-Soalleiro and Hortensia Sixto. Forests 2020, 11, 1352. [CrossRef]
- Gómez-Martín, J.M.; Castaño-Díaz, M.; Cámara-Obregón, A.; Álvarez-Álvarez, P.; Folgueras-Díaz, M.B.; Diez, M.A. On the chemical composition and pyrolytic behavior of hybrid poplar energy crops from northern Spain. Energy Reports 2020, 6, 764–769. [Google Scholar] [CrossRef]
- Klasnja, B.; Kopitovic, B.; Orlovic, S. Wood and bark of some poplar and willow clones as fuelwood. Biomass Bioenerg. 2002, 23, 427–432. [Google Scholar] [CrossRef]
- Garstang, J.; Weeks, A.; Poulter, R.; Bartlett, D. Identification and Characterisation of Factors Affecting Losses in the Large-Scale, non Ventilated Bulk Storage of Wood Chips and Development of Best Storage Practices. DTI’s New and Renewable Energy Programme. 2002. Available online: https://www.osti.gov/etdeweb/servlets/purl/20350970 (accessed on 8 May 2021).
- Thörnqvist, T. Drying and storage of forest residues for energy production. Biomass 1985, 7, 125–134. [Google Scholar] [CrossRef]
- European Committee for Standardization. EN 14961-1: Solid biofuels. Specifications and classes of fuels. Part 1: General Requirements. 2011. Available online: https://www.google.com.hk/url?sa=t&rct=j&q=&esrc=s&source=web&cd=&cad=rja&uact=8&ved=2ahUKEwjf1dq0n63xAhXDzjgGHfb-BB0QFjABegQIBBAE&url=https%3A%2F%2Fwww.researchgate.net%2Fpublication%2F47352230_European_Standards_for_Fuel_Specification_and_Classes_of_Solid_Biofuels&usg=AOvVaw3DmxHCsGuBq6gpEIfYuBAa (accessed on 8 May 2021).
- Magasiner, N.; De Kock, J. Design criteria for fibrous fuel fired boilers. Energy World 1987, 150, 4–12. [Google Scholar]
- Qian, X.; Lee, S.W.; Yang, Y. Heat Transfer Coefficient Estimation and Performance Evaluation of Shell and Tube Heat Exchanger Using Flue Gas. Processes 2021, 9, 939. [Google Scholar] [CrossRef]
- Stolarski, M.J.; Warminski, K.; Krzyzaniak, M. Energy Value of Yield and Biomass Quality of Poplar Grown in Two Consecutive 4-Year Harvest Rotations in the North-East of Poland. Energies 2020, 13, 1495. [Google Scholar] [CrossRef] [Green Version]
- Ozgen, S.; Cernuschi, S.; Caserini, S. An overview of nitrogen oxides emissions from biomass combustion for domestic heat production. Renew. Sustain. Energy Rev. 2021, 135, 110113. [Google Scholar] [CrossRef]
- Ryu, C.; Yang, Y.B.; Khor, A.; Yates, N.E.; Sharifi, V.N.; Swithenbank, J. Effect of fuel properties on biomass combustion: Part I. Experiments—fuel type, equivalence ratio and particle size. Fuel 2006, 85, 1039–1046. [Google Scholar] [CrossRef]
- Jenkins, B.; Baxter, L.L.; Miles, T.R., Jr.; Miles, T.R. Combustion properties of biomass. Fuel Process. Technol. 1998, 54, 17–46. [Google Scholar] [CrossRef]
- Jenkins, B.M. Physical properties of biomass. In Biomass Handbook; Kitani, O., Hall, C.W., Eds.; Gordon & Breach: New York, NY, USA, 1989; Chapter 5.2. [Google Scholar]
Publisher’s Note: MDPI stays neutral with regard to jurisdictional claims in published maps and institutional affiliations. |
© 2021 by the authors. Licensee MDPI, Basel, Switzerland. This article is an open access article distributed under the terms and conditions of the Creative Commons Attribution (CC BY) license (https://creativecommons.org/licenses/by/4.0/).









