CO2 Capture from Flue Gas of a Coal-Fired Power Plant Using Three-Bed PSA Process
Abstract
1. Introduction
2. Materials and Methods
2.1. Mathematical Model
- The mass transfer resistance between the gas and solid phases is considered, and a linear driving force (LDF) model is used.
- The extended Langmuir–Freundlich equation is used to calculate the equilibrium adsorption capacity.
- Only axial concentration and temperature gradient are considered.
- The ideal gas law is employed.
- The non-isothermal system is assumed.
- The pressure drop along the bed can be neglected owing to the large size of the particle.
2.2. Gases and Adsorbent
2.3. PSA Process
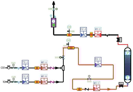
2.4. Experimental Setup
3. Results and Discussion
3.1. Adsorption Isotherms
3.2. Breakthrough and Desorption Curve Verification
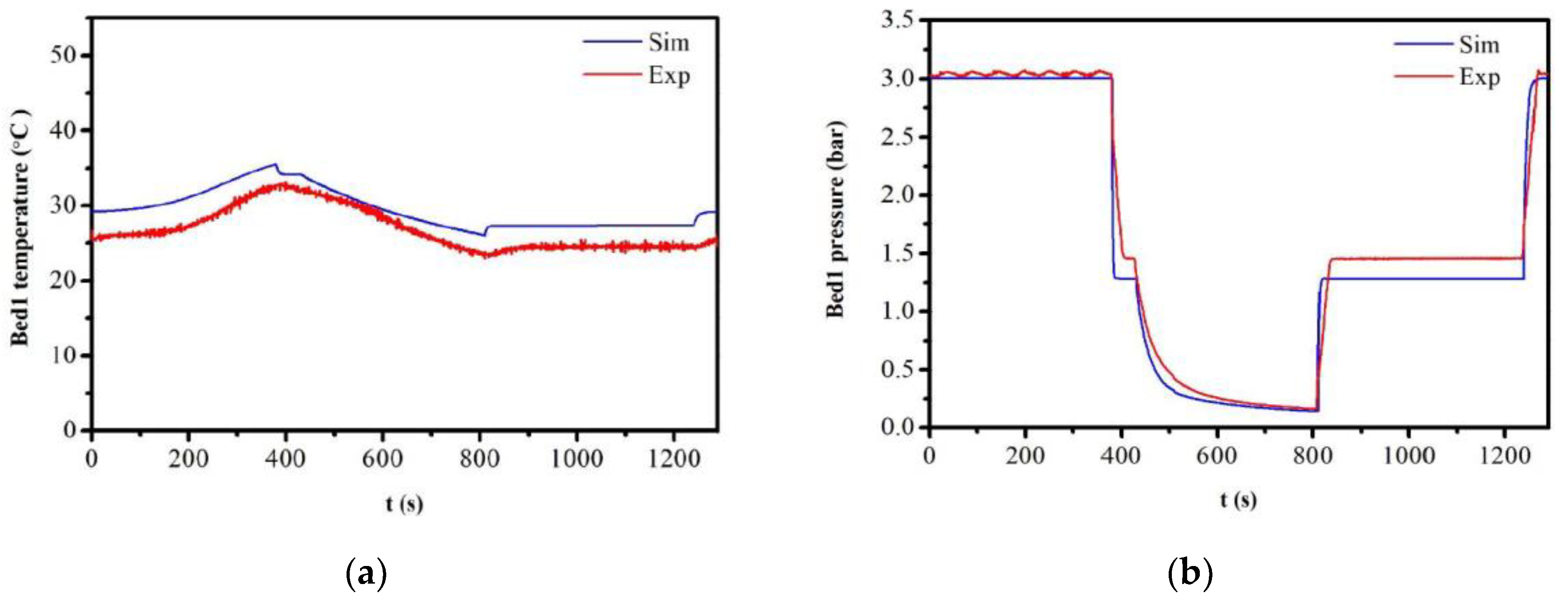
3.3. Three-Bed Nine-Step PSA Process Verification
3.4. Basic Case of the Three-Bed Nine-Step PSA Process
3.5. Three-Bed Nine-Step PSA Process Optimization
− 1.03797 (1/K) D + 0.254009 (1/s) E + 0.0168206 (1/s) F
+ 0.753353 (1/cm) G − 1.11434 (1/atm2) A · A + 303.611 (1/atm2) B · B
− 14.7843 (1/atm3) C · C + 0.00176753 (1/K²) D · D − 0.00158675 (1/s2) E · E
+ 0.0001 (1/s2) F · F + 0.000643 (1/cm2) G · G − 0.31307 (1/atm2) A · B
+ 12.9433 (1/atm2) A · C + 0.000388 (1/atm⋅K) A · D + 0.015792 (1/atm · s) A · E
+ 0.00384 (1/atm · s) A · F − 0.08853 (1/atm · cm) A · G − 45.2696 (1/atm2) B · C
+ 0.436755 (1/atm · K) B · D + 0.499657 (1/atm · s) B · E − 0.239613 (1/atm · s) B · F
− 0.862748 (1/atm · cm) B · G − 0.0234598 (1/atm · K) C · D − 0.323612 (1/atm · s) C · E
− 0.0206273 (1/atm · s) C · F + 0.103386 (1/atm · cm) C · G + 0.0004568 (1/K · s) D · E
− 4.61 · 10−5 (1/K · s) D · F − 0.00292673 (1/K · cm) D · G − 1.59 · 10−4 (1/s2) E · F
+ 0.00148013 (1/s · cm) E · G − 2.7 · 10−4 (1/s⋅cm) F · G
4. Conclusions
Author Contributions
Funding
Institutional Review Board Statement
Informed Consent Statement
Data Availability Statement
Acknowledgments
Conflicts of Interest
Nomenclature
| ɛ | bed porosity | (-) |
| density of adsorbent | (kg/) | |
| bi | isotherm parameter of component i in Equation (4) | (-) |
| average heat capacity in gas phase | (J/molK) | |
| average heat capacity in solid phase | (J/molK) | |
| bed inner diameter | (m) | |
| axial dispersion coefficient of component i | () | |
| heat of adsorption for component i | (J/mol) | |
| h | heat transfer coefficient | (J/Ks) |
| average thermal conductivity | (J/Kms) | |
| linear driving force mass transfer coefficient | (1/s) | |
| isotherm parameter of component i in Equation (4) | (-) | |
| adsorbed capacity of component i | (mol/ | |
| equilibrium adsorbed capacity of component i | (mol/ | |
| p | pressure | (atm) |
| q | molar flow rate | (mol/s) |
| adsorbed capacity of component i | (mol/kg | |
| saturated adsorbed capacity of component i | (mol/kg | |
| R | gas constant | (Pa/molK) |
| S | cross-sectional area | () |
| T | temperature | (K) |
| surrounding temperature | (K) | |
| t | time | (s) |
| molar fraction of component i in gas phase | (-) | |
| z | axial position | (m) |
| AMP | 2-amino-2-methyl-1-propanol | |
| AD | adsorption | |
| CD | cocurrent depressurization | |
| CCD | central composite design | |
| LDF | linear driving force | |
| MEA | monoethanolamine | |
| MOFs | metal-organic frameworks | |
| NETL | national energy technology laboratory | |
| PE | pressure equalization | |
| PSA | pressure swing adsorption | |
| PZ | piperazine | |
| ID | idle | |
| IGCC | integrated gasification combined cycle | |
| VA | vacuum | |
| VPSA | vacuum pressure swing adsorption |
References
- Cheng, C.Y.; Kuo, C.C.; Yang, M.W.; Zhuang, Z.Y.; Lin, P.W.; Yang, H.S.; Chou, C.T. Simulation of carbon capture from flue gas of a coal-fired power plant by a three-bed pressure swing adsorption process. Chem. Eng. Trans. 2020, 81, 415–420. [Google Scholar]
- International Energy Agency. Global Energy & CO2 Status Report 2019. Available online: https://www.iea.org/reports/global-energy-CO2-status-report-2019 (accessed on 15 May 2021).
- Quéré, C.L.; Andrew, R.M.; Friedlingstein, P.; Sitch, S.; Pongratz, J.; Manning, A.C.; Korsbakken, J.I.; Peters, G.P.; Canadell, J.G.; Jackson, R.B.; et al. Global Carbon Budget 2017. Earth Syst. Sci. Data 2018, 10, 405–448. Available online: https://essd.copernicus.org/articles/10/405/2018/ (accessed on 15 May 2021). [CrossRef]
- Chao, C.; Deng, Y.; Dewil, R.; Baeyens, J.; Fan, X. Post-combustion carbon capture. Renew. Sustain. Energy Rev. 2020, 138, 110490. [Google Scholar] [CrossRef]
- The Climate Change Act 2008 (2050 Target Amendment). Available online: www.legislation.gov.uk/uksi/2019/1056/contents/made (accessed on 15 May 2021).
- Subraveti, S.G.; Pai, K.N.; Rajagopalan, A.K.; Wilkins, N.S.; Rajendran, A.; Jayaraman, A.; Alptekin, G. Cycle design and optimization of pressure swing adsorption cycles for pre-combustion CO2 capture. Appl. Energy 2019, 254, 113624. [Google Scholar] [CrossRef]
- Rubin, E.S.; Chen, C.; Rao, A.B. Cost and performance of fossil fuel power plants with CO2 capture and storage. Energy Policy 2007, 35, 4444–4454. [Google Scholar] [CrossRef]
- Riboldi, L.; Bolland, O. Overview on pressure swing adsorption (PSA) as CO2 capture technology: State-of-the-art, limits and potentials. Energy Procedia 2017, 114, 2390–2400. [Google Scholar] [CrossRef]
- Haines, M.; Kemper, J.; Davison, J.; Gale, J.; Singh, P.; Santos, S. Assessment of Emerging CO2 Capture Technologies and Their Potential to Reduce Costs; IEA: Paris, France, 2014. [Google Scholar]
- Kenarsari, S.D.; Yang, D.; Jiang, G.; Zhang, S.; Wang, J.; Russell, A.G.; Wei, Q.; Fan, M. Review of recent advances in carbon dioxide separation and capture. RSC Adv. 2013, 3, 22739–22773. [Google Scholar] [CrossRef]
- Zaman, M.; Lee, J.H. Carbon capture from stationary power generation sources: A review of the current status of the technologies. Korean J. Chem. Eng. 2013, 30, 1497–1526. [Google Scholar] [CrossRef]
- Yang, H.; Xu, Z.; Fan, M.; Gupta, R.; Slimane, R.B.; Bland, A.E.; Wright, I. Progress in carbon dioxide separation and capture: A review. J. Environ. Sci. 2008, 20, 14–27. [Google Scholar] [CrossRef]
- Wang, X.; Song, C. Carbon capture from flue gas and the atmosphere: A perspective. Front. Energy Res. 2020, 8, 560849. [Google Scholar] [CrossRef]
- Yamasaki, A. An overview of CO2 mitigation options for global warming- emphasizing CO2 sequestration options. J. Chem. Eng. Jpn. 2003, 36, 361–375. [Google Scholar] [CrossRef]
- Scholes, C.A.; Kentish, S.E.; Stevens, G.W. The effect of condensable minor components on the gas separation performance of polymeric membranes for carbon dioxide capture. Energy Procedia 2009, 1, 311–317. [Google Scholar] [CrossRef]
- Burdyny, T.; Struchtrup, H. Hybrid membrane/cryogenic separation of oxygen from air for use in the oxy-fuel process. Energy 2010, 35, 1884–1897. [Google Scholar] [CrossRef]
- Helwani, Z.; Wiheeb, A.D.; Kim, J.; Othman, M.R. In-situ mineralization of carbon dioxide in a coal-fired power plant. Energy Sour. Part A 2016, 38, 606–611. [Google Scholar] [CrossRef]
- Tuinier, M.J.; van Sint Annaland, M.; Kramer, G.J.; Kuipers, J.A.M. Cryogenic CO2 capture using dynamically operated packed beds. Chem. Eng. Sci. 2010, 65, 114–119. [Google Scholar] [CrossRef]
- Lam, M.K.; Lee, K.T.; Mohamed, A.R. Current status and challenges on microalgae-based carbon capture. Int. J. Greenh. Gas Control 2012, 10, 456–469. [Google Scholar] [CrossRef]
- Pires, J.C.M.; Martins, F.G.; Alvim-Ferraz, M.C.M.; Simões, M. Recent developments on carbon capture and storage: An overview. Chem. Eng. Res. Des. 2011, 89, 1446–1460. [Google Scholar] [CrossRef]
- Wiheeb, A.D.; Helwani, Z.; Kim, J.; Othman, M.R. Pressure swing adsorption technologies for carbon dioxide capture. Sep. Purif. Rev. 2016, 45, 108–121. [Google Scholar] [CrossRef]
- Riboldi, L.; Bolland, O.; Ngoy, J.M.; Wagner, N. Full-plant analysis of a PSA CO2 capture unit integrated in coal-fired power plants: Post-and pre-combustion scenarios. Energy Procedia 2014, 63, 2289–2304. [Google Scholar] [CrossRef]
- Stewart, C.; Hessami, M.A. A study of methods of carbon dioxide capture and sequestration– the sustainability of a photosynthetic bioreactor approach. Energy Convers. Manag. 2005, 46, 403–420. [Google Scholar] [CrossRef]
- Bui, M.; Adjiman, C.S.; Bardow, A.; Anthony, E.J.; Boston, A.; Brown, S.; Paul, S.F.; Sabine, F.; Amparo, G.; Leigh, A.H.; et al. Carbon capture and storage (CCS): The way forward. Energy Environ. Sci. 2018, 11, 1062–1176. [Google Scholar] [CrossRef]
- Wang, L.; Yang, Y.; Shen, W.; Kong, X.; Li, P.; Yu, J.; Rodrigues, A.E. CO2 capture from flue gas in an existing coal-fired power plant by two successive pilot-scale VPSA units. Ind. Eng. Chem. Res. 2013, 52, 7947–7955. [Google Scholar] [CrossRef]
- Patil, M.; Vaidya, P.; Kenig, E. Bench-scale study for CO2 Capture using AMP/PZ/Water. Chem. Eng. Trans. 2018, 69, 163–168. [Google Scholar]
- Shen, C.; Liu, Z.; Li, P.; Yu, J. Two-stage VPSA process for CO2 capture from flue gas using activated carbon beads. Ind. Eng. Chem. Res. 2012, 51, 5011–5021. [Google Scholar] [CrossRef]
- Wang, L.; Liu, Z.; Li, P.; Wang, J.; Yu, J. CO2 capture from flue gas by two successive VPSA units using 13XAPG. Adsorption 2012, 18, 445–459. [Google Scholar] [CrossRef]
- Xiao, P.; Zhang, J.; Webley, P.; Li, G.; Singh, R.; Todd, R. Capture of CO2 from flue gas streams with zeolite 13X by vacuum-pressure swing adsorption. Adsorption 2008, 14, 575–582. [Google Scholar] [CrossRef]
- Alibolandi, M.; Sadrameli, S.M.; Rezaee, F.; Darian, J.T. Separation of CO2/N2 mixture by vacuum pressure swing adsorption (VPSA) using zeolite 13X type and carbon molecular sieve adsorbents. Heat Mass Transf. 2020, 56, 1985–1994. [Google Scholar] [CrossRef]
- Zhang, J.; Webley, P.A.; Xiao, P. Effect of process parameters on power requirements of vacuum swing adsorption technology for CO2 capture from flue gas. Energy Conv. Manag. 2008, 49, 346–356. [Google Scholar] [CrossRef]
- Zoelle, A.; Keairns, D.; Pinkerton, L.L.; Turner, M.J.; Woods, M.; Kuehn, N.; Shah, V.; Chou, V. Cost and Performance Baseline for Fossil Energy Plants Volume 1a: Bituminous Coal (PC) and Natural Gas to Electricity Revision; National Energy Technology Laboratory: Pittsburgh, PA, USA, 2015. [Google Scholar]
- Park, J.H.; Beum, B.T.; Kim, J.N.; Cho, S.H. Numerical analysis on the power consumption of the PSA process. Ind. Eng. Chem. Res. 2002, 41, 4122–4131. [Google Scholar] [CrossRef]
- Chou, C.T.; Chen, F.H.; Huang, Y.J.; Yang, H.S. Carbon dioxide capture and hydrogen purification from synthesis gas by pressure swing adsorption. Chem. Eng. Trans. 2013, 32, 1855–1860. [Google Scholar]
- Smith, J.M.; Ness, H.C. Introduction to Chemical Engineering Thermodynamics, 4th ed.; McGraw-Hill: Singapore, 1987. [Google Scholar]
- Wawrzyńczaka, D.; Majchrzak-Kucębaa, I.; Srokosza, K.; Kozaka, M. The pilot dual-reflux vacuum pressure swing adsorption unit for CO2 capture from flue gas. Sep. Pur. Technol. 2019, 209, 560–570. [Google Scholar] [CrossRef]
- McCabe, W.L.; Smith, J.C.; Harriott, P. Unit Operations of Chemical Engineering, 7th ed.; McGraw-Hill: New York, NY, USA, 2005. [Google Scholar]
- Montgomery, D.C. Design and Analysis of Experiments, 7th ed.; John Wiley & Sons Ltd.: Hoboken, NJ, USA, 2009. [Google Scholar]








| Parameters | Values |
|---|---|
| Radius of the pellet (m) | 4.12 × 10−3 |
| Pellet density (kg/m3) | 2314.4 a |
| Mean macropore diameter (m) | 3.55 × 10−8 b |
| Macropore porosity (-) | 0.2867 b |
| Specific Heat Capacity (J/kg K) | 1.42 × 103 c |
| Steps | 1 | 2 | 3 | 4 | 5 | 6 | 7 | 8 | 9 |
|---|---|---|---|---|---|---|---|---|---|
| Process | AD | AD | PE | CD | VA | PE | ID | ID | AD |
| Time (s) | 80 | 300 | 50 | 80 | 300 | 50 | 80 | 300 | 50 |
| Parameters | Values |
|---|---|
| Feed composition | 13.5 vol% CO2 and 86.5 vol% N2 |
| Feed flow rate (m3/s, NTP) | 9.70 × 10−4 |
| Bed length (m) | 0.4 |
| Bed inner diameter (m) | 0.16 |
| Bed volume (L) | 8.04 |
| Bed porosity (-) | 0.6937 |
| Fluid viscosity (kg/ms) | 1.87 × 10−5 |
| Overall heat transfer coefficient (J/Ks) | 10.8 a |
| Axial dispersion coefficient (m2/s) | 1.3976 × 10−5 |
| Feed temperature (K) | 303.14 |
| Surrounding temperature (K) | 303.14 |
| Feed pressure (atm) | 3 |
| Vacuum pressure (atm) | 0.07 |
| Cocurrent depressurization pressure (atm) | 0.25 |
| Step time (s) | 80, 300, 50, 80, 300, 50, 80, 300, and 50 |
| Components | CO2 | N2 |
|---|---|---|
| ai,1 (mol/kg) | 6.507 | 1.185 × 103 |
| ai,2 (mol/Kkg) | −3 × 10−3 | −1.022 × 10−1 |
| bi,0 (1/atm) | 8 × 10−3 | 4.842 × 10−4 |
| bi,1 (K) | 1.722 × 103 | 6.215 × 102 |
| mi,1 (-) | 6.013 × 10−1 | 1.182 |
| mi,2 (K) | −2.4 × 101 | −1.2 × 102 |
| Breakthrough Curve Experiment | Desorption Curve Experiment | |
|---|---|---|
| Feed composition | 15.0 vol% CO2 | Pure He |
| Bed length (m) | 1 | 1 |
| Bed diameter (m) | 2.32 × 10−2 | 2.32 × 10−2 |
| Bed volume (L) | 0.42 | 0.42 |
| Feed pressure (atm) | 2.5 | 2.5 |
| Feed temperature (K) | 298 | 298 |
| Surrounding temperature (K) | 298 | 298 |
| Feed flow rate (m3/s) | 1.67 × 10−5 | 1.00 × 10−5 |
| Variables | Experiment | Simulation |
|---|---|---|
| Top vent flow rate (m3/s, NTP) | 4.77 × 10−5 | 7.03 × 10−5 |
| CO2 purity (vol%)/recovery (%) | 12.23/3.91 | 29.12/13.75 |
| N2 purity (vol%)/recovery (%) | - | 70.88/6.08 |
| Bottom product flow rate (m3/s, NTP) | 8.92 × 10−5 | 8.92 × 10−5 |
| CO2 purity (vol%)/recovery (%) | 91.70/54.83 | 91.69/54.81 |
| N2 purity (vol%)/recovery (%) | - | 8.31/0.90 |
| Top product flow rate (m3/s, NTP) | 8.05 × 10−4 | 8.11 × 10−4 |
| CO2 purity (vol%)/recovery (%) | 5.79/31.26 | 5.78/31.43 |
| Top product N2 purity (vol%) | 97.61 |
| Top product N2 recovery (%) | 92.05 |
| Bottom product CO2 purity (vol%) | 85.96 |
| Bottom product CO2 recovery (%) | 82.09 |
| Productivity (kg-CO2/kg-adsorbent · s) | 3.5 × 10−5 |
| Variables. | - | 0 | + |
|---|---|---|---|
| A: Feed pressure (atm) | 2.0 | 3.0 | 4.0 |
| B: Vacuum pressure (atm) | 0.05 | 0.075 | 0.1 |
| C: Vent pressure (atm) | 0.2 | 0.3 | 0.4 |
| D: Surrounding temperature (K) | 288.14 | 305.64 | 323.14 |
| E: Step 1/4/7 (cocurrent depressurization) time (s) | 40 | 80 | 120 |
| F: Step 2/5/8 (vacuum) time (s) | 250 | 300 | 350 |
| G: Bed length (m) | 0.3 | 0.4 | 0.5 |
| Parameters | Values |
|---|---|
| Feed composition | 13.5 vol% CO2 and 86.5 vol% N2 |
| Feed flow rate (m3/s, NTP) | 1.21 × 10−3 |
| Bed length (m) | 0.46 |
| Bed inner diameter (m) | 0.16 |
| Bed volume (L) | 9.25 |
| Bed porosity (-) | 0.6937 |
| Fluid viscosity (kg/ms) | 1.87 × 10−5 |
| Overall heat transfer coefficient (J/Ks) | 10.8 |
| Feed temperature (K) | 303.14 |
| Surrounding temperature (K) | 323.14 |
| Feed pressure (atm) | 3.66 |
| Vacuum pressure (atm) | 0.05 |
| Cocurrent depressurization pressure (atm) | 0.3 |
| Step time (s) | 94, 350, 50, 94, 350, 50, 94, 350, and 50 |
| Results | Simulation for Basic Case | Prediction from Regression | Simulation after CCD |
|---|---|---|---|
| Purity (vol%) | 85.96 | 89.83 | 89.20 |
| Recovery (%) | 82.09 | 89.78 | 88.20 |
| Energy consumption (GJ/t-CO2) | 1.06 | 1.15 | 1.17 |
Publisher’s Note: MDPI stays neutral with regard to jurisdictional claims in published maps and institutional affiliations. |
© 2021 by the authors. Licensee MDPI, Basel, Switzerland. This article is an open access article distributed under the terms and conditions of the Creative Commons Attribution (CC BY) license (https://creativecommons.org/licenses/by/4.0/).
Share and Cite
Cheng, C.-Y.; Kuo, C.-C.; Yang, M.-W.; Zhuang, Z.-Y.; Lin, P.-W.; Chen, Y.-F.; Yang, H.-S.; Chou, C.-T. CO2 Capture from Flue Gas of a Coal-Fired Power Plant Using Three-Bed PSA Process. Energies 2021, 14, 3582. https://doi.org/10.3390/en14123582
Cheng C-Y, Kuo C-C, Yang M-W, Zhuang Z-Y, Lin P-W, Chen Y-F, Yang H-S, Chou C-T. CO2 Capture from Flue Gas of a Coal-Fired Power Plant Using Three-Bed PSA Process. Energies. 2021; 14(12):3582. https://doi.org/10.3390/en14123582
Chicago/Turabian StyleCheng, Chu-Yun, Chia-Chen Kuo, Ming-Wei Yang, Zong-Yu Zhuang, Po-Wei Lin, Yi-Fang Chen, Hong-Sung Yang, and Cheng-Tung Chou. 2021. "CO2 Capture from Flue Gas of a Coal-Fired Power Plant Using Three-Bed PSA Process" Energies 14, no. 12: 3582. https://doi.org/10.3390/en14123582
APA StyleCheng, C.-Y., Kuo, C.-C., Yang, M.-W., Zhuang, Z.-Y., Lin, P.-W., Chen, Y.-F., Yang, H.-S., & Chou, C.-T. (2021). CO2 Capture from Flue Gas of a Coal-Fired Power Plant Using Three-Bed PSA Process. Energies, 14(12), 3582. https://doi.org/10.3390/en14123582
