Numerical Study on Performance Enhancement of the Air-Cooled Battery Thermal Management System by Adding Parallel Plates
Abstract
1. Introduction
2. Materials and Methods
2.1. Physical Model
2.1.1. Battery Pack Model
2.1.2. Parallel Plate Model
2.2. Numerical Method
2.2.1. Numerical Model
- (1)
- The physical properties of the air and batteries are constant;
- (2)
- the battery module is considered as a constant heat source and the heat generation rate is constant;
- (3)
- the ambient temperature and pressure are constant.
2.2.2. Grid Independence Analysis
2.2.3. Validation of the Computational Fluid Dynamics (CFD) Method
3. Results and Discussions
3.1. Install Parallel Plate to the Cooling Channel from High Air Velocity to Low Air Velocity
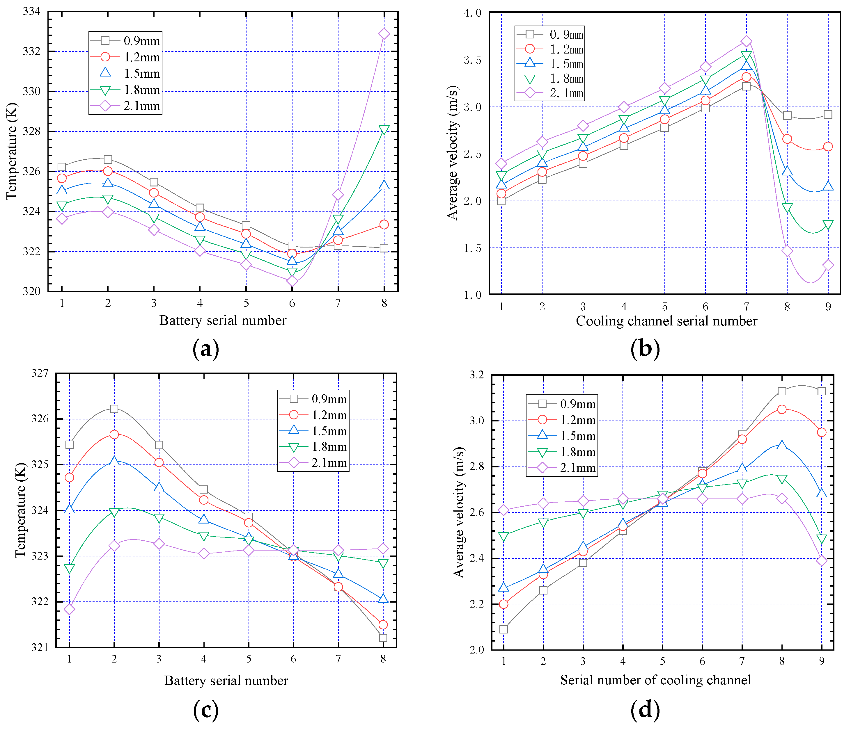
3.2. The Influence of the Length of Parallel Plates
3.3. The Influence of the Position of Parallel Plates
3.4. Optimization Based on the Model with Four Parallel Plates
4. Conclusions
- (1)
- The cooling performance of the BTMS can be significantly improved by adding the parallel plates. The effect of the number of parallel plates on cooling performance was investigated; when the number of parallel plates was nine, Tmax and ΔTmax were both lowest, but ΔP increased greatly. Considering the acceptable range of power consumption loss, the best cooling efficiency was obtained by the model with two parallel plates; Tmax and ΔTmax of the battery pack were, respectively, reduced by 2.42 and 3.46 K compared to the original model.
- (2)
- As the length of parallel plates increased, the pressure drop gradually increased. For the model with two parallel plates, the best cooling performance was obtained when the length of parallel plates was 1.5 mm. For the model with nine parallel plates, to obtain the good temperature performance, the power consumption caused by excessive pressure drop was unacceptable.
- (3)
- With the increase of the height of parallel plates, the temperature of the battery cell without adding parallel plates was insensitive; instead, the temperature of the battery cell with parallel plates added on the side fluctuated significantly, showing a trend of decreasing first and then rising.
- (4)
- The cooling performance of the battery pack can be improved by the optimization schemes designed in this paper. For those cases, Tmax and ΔTmax of the battery pack of the third optimization system were, respectively, reduced by 3.37 and 5.5 K compared to the original model, which achieved the best cooling performance. The temperature uniformity of all cases remained stable for the various inlet airflow velocities.
Author Contributions
Funding
Institutional Review Board Statement
Informed Consent Statement
Data Availability Statement
Acknowledgments
Conflicts of Interest
References
- Greco, A.; Jiang, X.A. Coupled thermal and electrochemical study of lithium-ion battery cooled by paraffin/porous-graphite-matrix composite. J. Power Sources 2016, 315, 127–139. [Google Scholar] [CrossRef]
- Na, X.; Kang, H.; Wang, T.; Wang, Y. Reverse layered air flow for Li-ion battery thermal management. Appl. Therm. Eng. 2018, 143, 257–262. [Google Scholar] [CrossRef]
- Dan, D.; Yao, C.; Zhang, Y.; Zeng, Z.; Xu, X. Dynamic thermal behavior of micro heat pipe array-air cooling battery thermal management system based on thermal network model. Appl. Therm. Eng. 2019, 162, 114183. [Google Scholar] [CrossRef]
- Mahamud, R.; Park, C. Reciprocating air flow for Li-ion battery thermal management to improve temperature uniformity. J. Power Sources 2011, 196, 5685–5696. [Google Scholar] [CrossRef]
- Liu, Y.; Zhang, J. Design a J-type air-based battery thermal management system through surrogate-based optimization. Appl. Energy 2019, 252, 113426. [Google Scholar] [CrossRef]
- Behi, H.; Karimi, D.; Behi, M.; Ghanbarpour, M.; Jaguemont, J.; Sokkeh, M.A.; Gandoman, F.H.; Berecibar, M.; Van Mierlo, J. A new concept of thermal management system in Li-ion battery using air cooling and heat pipe for electric vehicles. Appl. Therm. Eng. 2020, 174, 115280. [Google Scholar] [CrossRef]
- Pesaran, A.A. Battery thermal models for hybrid vehicle simulations. J. Power Sources 2002, 110, 377–382. [Google Scholar] [CrossRef]
- Severino, B.; Gana, F.; Palma-Behnke, R.; Estévez, P.A.; Calderón-Muñoz, W.R.; Orchard, M.E.; Reyes, J.; Cortés, M. Multi-objective optimal design of lithium-ion battery packs based on evolutionary algorithms. J. Power Sources 2014, 267, 288–299. [Google Scholar] [CrossRef]
- Chen, K.; Wang, S.; Song, M.; Chen, L. Configuration optimization of battery pack in parallel air-cooled battery thermal management system using an optimization strategy. Appl. Therm. Eng. 2017, 123, 177–186. [Google Scholar] [CrossRef]
- Wang, T.; Tseng, K.; Zhao, J.; Wei, Z. Thermal investigation of lithium-ion battery module with different cell arrangement structures and forced air-cooling strategies. Appl. Energy 2014, 134, 229–238. [Google Scholar] [CrossRef]
- Chen, K.; Wu, W.; Yuan, F.; Chen, L.; Wang, S. Cooling efficiency improvement of air-cooled battery thermal management system through designing the flow pattern. Energy 2019, 167, 781–790. [Google Scholar] [CrossRef]
- Hong, S.; Zhang, X.; Chen, K.; Wang, S. Design of flow configuration for parallel air-cooled battery thermal management system with secondary vent. Int. J. Heat Mass Transf. 2018, 116, 1204–1212. [Google Scholar] [CrossRef]
- Shahid, S.; Agelin-Chaab, M. Development and analysis of a technique to improve air-cooling and temperature uniformity in a battery pack for cylindrical batteries. Therm. Sci. Eng. Prog. 2018, 5, 351–363. [Google Scholar] [CrossRef]
- Park, H. A design of air flow configuration for cooling lithium ion battery in hybrid electric vehicles. J. Power Sources 2013, 239, 30–36. [Google Scholar] [CrossRef]
- Xie, J.; Ge, Z.; Zang, M.; Wang, S. Structural optimization of lithium-ion battery pack with forced air cooling system. Appl. Therm. Eng. 2017, 126, 583–593. [Google Scholar] [CrossRef]
- Chen, K.; Li, Z.; Chen, Y.; Long, S.; Hou, J.; Song, M.; Wang, S. Design of Parallel Air-Cooled Battery Thermal Management System through Numerical Study. Energies 2017, 10, 1677. [Google Scholar] [CrossRef]
- Shahid, S.; Agelin-Chaab, M. Experimental and numerical studies on air cooling and temperature uniformity in a battery pack. Int. J. Energy Res. 2018, 42, 2246–2262. [Google Scholar] [CrossRef]
- Zhang, F.; Lin, A.; Wang, P.; Liu, P. Optimization design of a parallel air-cooled battery thermal management system with spoilers. Appl. Therm. Eng. 2021, 182, 116062. [Google Scholar] [CrossRef]
- Li, W.; Xiao, M.; Peng, X.; Garg, A.; Gao, L. A surrogate thermal modeling and parametric optimization of battery pack with air cooling for EVs. Appl. Therm. Eng. 2019, 147, 90–100. [Google Scholar] [CrossRef]















| Case | Height of Parallel Plates | Length of Parallel Plates | Tmax (K) | ΔTmax (K) | ΔP (Pa) |
|---|---|---|---|---|---|
| Case4 | Set all to 0 mm | Set all to 1.5 mm | 325.88 | 4.31 | 25.78 |
| Case4-opt1 | Set all to 0 mm | Set all to 1.2 mm | 324.73 | 2.20 | 24.35 |
| Case4-opt2 | Set the first three (from left to right) to 30 mm, set the fourth to 0 mm. | Set all to 1.5 mm | 324.59 | 3.05 | 26.07 |
| Case4-opt3 | Set the first three (from left to right) to 30mm, set the fourth to 0 mm. | Set all to 1.2 mm | 324.44 | 2.15 | 24.29 |
Publisher’s Note: MDPI stays neutral with regard to jurisdictional claims in published maps and institutional affiliations. |
© 2021 by the authors. Licensee MDPI, Basel, Switzerland. This article is an open access article distributed under the terms and conditions of the Creative Commons Attribution (CC BY) license (https://creativecommons.org/licenses/by/4.0/).
Share and Cite
Wang, M.; Hung, T.-C.; Xi, H. Numerical Study on Performance Enhancement of the Air-Cooled Battery Thermal Management System by Adding Parallel Plates. Energies 2021, 14, 3096. https://doi.org/10.3390/en14113096
Wang M, Hung T-C, Xi H. Numerical Study on Performance Enhancement of the Air-Cooled Battery Thermal Management System by Adding Parallel Plates. Energies. 2021; 14(11):3096. https://doi.org/10.3390/en14113096
Chicago/Turabian StyleWang, Meiwei, Tzu-Chen Hung, and Huan Xi. 2021. "Numerical Study on Performance Enhancement of the Air-Cooled Battery Thermal Management System by Adding Parallel Plates" Energies 14, no. 11: 3096. https://doi.org/10.3390/en14113096
APA StyleWang, M., Hung, T.-C., & Xi, H. (2021). Numerical Study on Performance Enhancement of the Air-Cooled Battery Thermal Management System by Adding Parallel Plates. Energies, 14(11), 3096. https://doi.org/10.3390/en14113096

