Accurate Location of Faults in Transmission Lines by Compensating for the Electrical Distance
Abstract
:1. Introduction
2. Compensation for the Electrical Distance of Transmission Lines
3. Simulation and Results
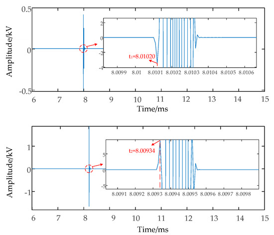
3.1. The influence of different fault locations
3.2. The Influence of Different Temperatures
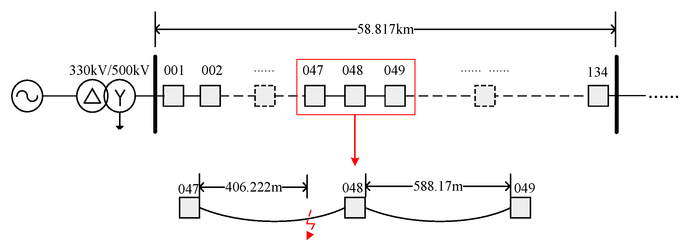
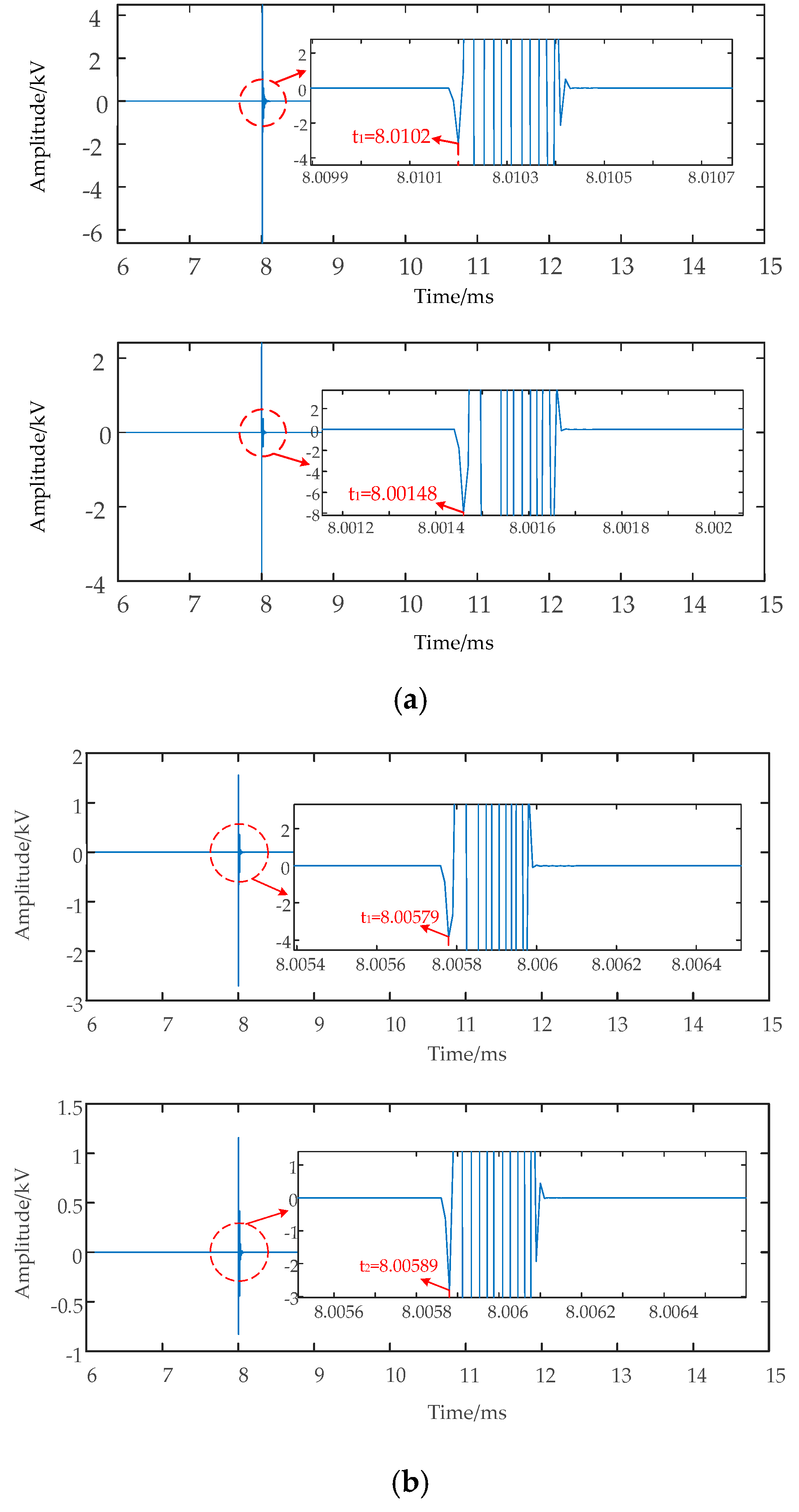
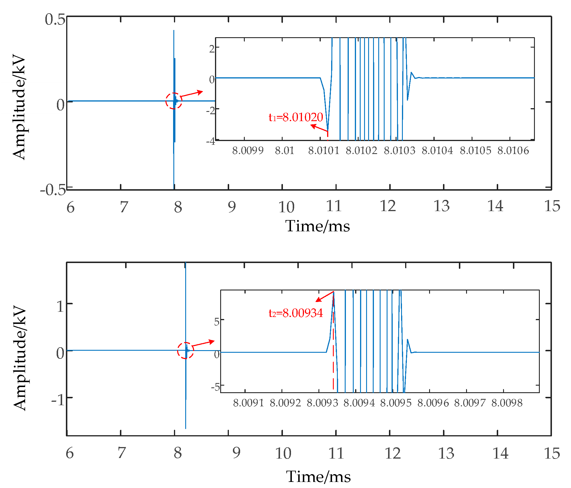
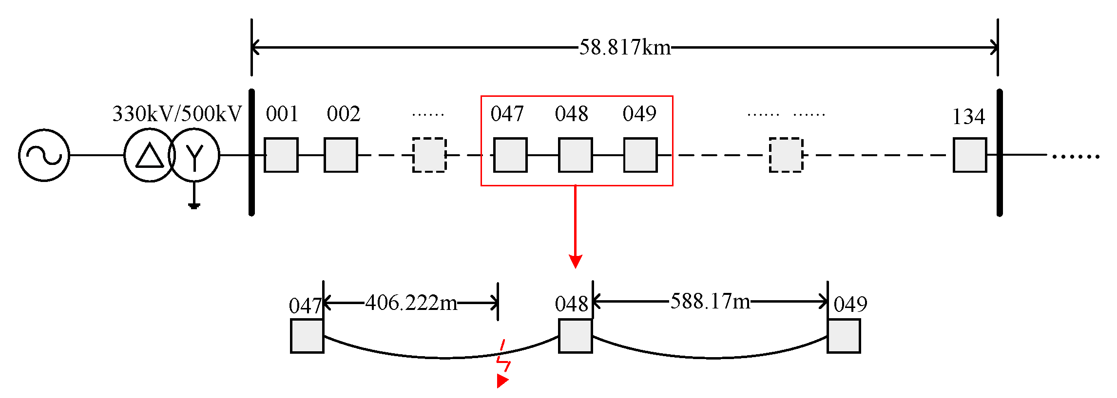
3.3. Engineering Practice
4. Conclusions
Author Contributions
Funding
Conflicts of Interest
References
- Peng, N.; Cheng, M.; Liang, R.; Firuz, Z. Asynchronous fault location scheme for half-wavelength transmission lines based on propagation characteristics of voltage travelling waves. IET Gener. Transm. Dis. 2019, 13, 502–510. [Google Scholar]
- Ahmet, M.V. Contribution of high voltage direct current transmission systems to inter-area oscillation damping: A review. Renew. Sustain. Energy Rev. 2016, 57, 892–915. [Google Scholar]
- Peng, N.; Zhou, L.; Liang, R.; Xu, H. Fault location of transmission lines connecting with short branches based on polarity and arrival time of asynchronously recorded traveling wave. Electr. Power Syst. Res. 2019, 169, 184–194. [Google Scholar] [CrossRef]
- Naidu, O.D.; Pardahan, A.K. A traveling wave-based fault location method using unsynchronized current measurements. IEEE Trans. Power Deliv. 2019, 34, 505–513. [Google Scholar] [CrossRef]
- Aleena, S.; Anamika, Y. A novel single-ended fault location scheme for parallel transmission lines using k-nearest neighbor algorithm. Comput. Electr. Eng. 2018, 69, 41–53. [Google Scholar]
- Ahmed, S.; Ahmed, E.; Hany, E. New fault location scheme for three-terminal untransposed parallel transmission lines. Electr. Power Syst. Res. 2018, 154, 266–275. [Google Scholar]
- Ahmad, S.D.; Ali, M.R. A wide-area scheme for power system fault location incorporating bad data detection. IEEE Trans. Power Deliv. 2015, 30, 800–808. [Google Scholar]
- Abu, S.; Saif, M. A new on-line technique to identify fault location within long transmission lines. Eng. Fail. Anal. 2019, 105, 52–64. [Google Scholar]
- Fei, C.; Qi, G.; Li, C. Fault location on high voltage transmission line by applying support vector regression with fault signal amplitudes. Electr. Power Syst. Res. 2018, 160, 173–179. [Google Scholar] [CrossRef]
- Jiao, B. A New Method to Improve Fault Location Accuracy in Transmission Line Based on Fuzzy Multi-Sensor Data Fusion. IEEE Trans. Smart Grid 2019, 10, 4211–4220. [Google Scholar] [CrossRef]
- Lopes, F.V.; Silva, K.M.; Costa, F.B.; Neves, W.L.A.; Fernandes, D., Jr. Real-time traveling-wave-based fault location using two-terminal unsynchronized data. IEEE Trans. Power Deliv. 2015, 30, 1067–1076. [Google Scholar] [CrossRef]
- Rahman, D.; Mohammad, D.; Hamid, R.S.; Maryamsadat, T. Impedance-based fault location method for four-wire power distribution networks. IEEE Access. 2018, 6, 1342–1349. [Google Scholar]
- Benato, R.; Sessa, S. An online traveling wave fault location method for unearthed-operated high-voltage overhead line grids. IEEE Trans. Power Deliv. 2018, 33, 2776–2785. [Google Scholar] [CrossRef]
- Chen, Y.; Tan, J.; Liu, W.; Chen, S.; Zhu, F. Analysis on main factors impacting length of transmission line. Power Syst. Technol. 2007, 31, 41–44. [Google Scholar]
- Peng, X.; Mao, X.; Li, X.; Zhang, F. Errors analysis of overhead transmission line fault location based on distributed travelling-wave. High Volt. Eng. 2013, 39, 2706–2713. [Google Scholar]
- Chen, Y.; Liu, D. Wide-area traveling wave fault location system based on IEC61850. IEEE Trans. Smart Grid 2013, 4, 1207–1255. [Google Scholar] [CrossRef]
- Lopes, F. Setting-free traveling-wave-based earth fault location using unsynchronized two-terminal data. IEEE Trans. Power Deliv. 2016, 31, 2296–2298. [Google Scholar] [CrossRef]
- Zhang, G.; Shu, H.; Liao, Y. Automated double-ended traveling wave record correlation for transmission line disturbance analysis. Electr. Power Syst. Res. 2016, 136, 242–250. [Google Scholar] [CrossRef]
- China Electricity Council. GB50545-2010. Code for Design of 110 kV–750 kV Overhead Transmission Line; China Planning Press: Beijing, China, 2010. [Google Scholar]
- Polevoy, A. Impact of data errors on sag calculation accuracy for overhead transmission line. IEEE Trans. Power Deliv. 2014, 29, 2040–2045. [Google Scholar] [CrossRef]
- Dong, X. Analytic method to calculate and characterize the sag and tension of overhead lines. IEEE Trans. Power Deliv. 2016, 31, 2064–2071. [Google Scholar] [CrossRef]
- Jiang, J.; Jia, Z.; Wang, X.; Wang, S.; Yang, C. Analysis of conductor sag change after bare overhead conductor is covered with insulation material. In Proceedings of the 2nd International Conference on Electrical Materials and Power Equipment, Guangzhou, China, 7–10 April 2019. [Google Scholar]
- Liu, Y.; Sheng, G.; Sun, S.; Gao, X. A Method for Fault Location Compensation Considering Operating States of Transmission Lines. Autom. Electr. Power Syst. 2012, 36, 92–96. [Google Scholar]













| Fault Location | Electrical Distance | Actual Distance |
|---|---|---|
| at the front of the line | between 010 and 011 215.6 m from 010 | between 010 and 011 201.14 m from 010 |
| in the middle of the line | between 040 and 041 277.25 m from 039 | between 040 and 041 220.856 m from 039 |
| at the tail of the line | between 070 and 071 201.9 m from 070 | between 070 and 071 100.68 m from 070 |
| Temperature | Electrical Distance | Actual Distance | ||||
|---|---|---|---|---|---|---|
| Line Length | Presupposed Fault Location | Fault Location | Line Length | Presupposed Fault Location | Fault Location | |
| −10 °C | 35.363 | between 070 and 071 199.9050 m from 070 | between 070 and 071 163.903 m from 070 | 35.4888 | between 070 and 071 90.019 m from 070 | between 070 and 071 54.017 m from 070 |
| 15 °C | 35.38 | between 070 and 071 200 m from 070 | between 070 and 071 201.9 m from 070 | 35.49 | between 070 and 071 98.78 m from 070 | between 070 and 071 100.68 m from 070 |
| 35 °C | 35.393 | between 070 and 071 200.067 m from 070 | between 070 and 071 187.33 m from 070 | 35.519 | between 070 and 071 92.196 m from 070 | between 070 and 071 70.129 m from 070 |
| The Way of Calculating The Distance Line | Electrical Distance | Actual Distance |
|---|---|---|
| Fault location (km) | between 047 and 048, 580 m from 047 | between 047 and 048, 406.22m from 047 |
| Location results | between 048 and 049, 14.14 m from 048 | between 047 and 048, 428.5322 m from 047 |
© 2020 by the authors. Licensee MDPI, Basel, Switzerland. This article is an open access article distributed under the terms and conditions of the Creative Commons Attribution (CC BY) license (http://creativecommons.org/licenses/by/4.0/).
Share and Cite
Xue, X.; Cheng, M.; Hou, T.; Wang, G.; Peng, N.; Liang, R. Accurate Location of Faults in Transmission Lines by Compensating for the Electrical Distance. Energies 2020, 13, 767. https://doi.org/10.3390/en13030767
Xue X, Cheng M, Hou T, Wang G, Peng N, Liang R. Accurate Location of Faults in Transmission Lines by Compensating for the Electrical Distance. Energies. 2020; 13(3):767. https://doi.org/10.3390/en13030767
Chicago/Turabian StyleXue, Xue, Menghan Cheng, Tianyu Hou, Guanhua Wang, Nan Peng, and Rui Liang. 2020. "Accurate Location of Faults in Transmission Lines by Compensating for the Electrical Distance" Energies 13, no. 3: 767. https://doi.org/10.3390/en13030767
APA StyleXue, X., Cheng, M., Hou, T., Wang, G., Peng, N., & Liang, R. (2020). Accurate Location of Faults in Transmission Lines by Compensating for the Electrical Distance. Energies, 13(3), 767. https://doi.org/10.3390/en13030767

