Multiobjective Optimisation of a Marine Dual Fuel Engine Equipped with Exhaust Gas Recirculation and Air Bypass Systems
Abstract
1. Introduction
1.1. Background
1.2. Exhaust Gas Recirculation on Marine Engines
1.3. Exhaust Gas Recirculation on Dual Fuel Engines
1.4. Exhaust Gas Recirculation System Settings Optimisation
1.5. Research Aim
2. Research Methodology and Materials
- Reference system selection—the reference system of a large four-stroke DF engine for this investigation was selected and its operational and geometrical characteristics are described below.
- EGR and ABP systems selection—the appropriate EGR system type for the investigated reference system was selected and is discussed below. The ABP system usage is justified and the engine layout including EGR/ABP systems is presented.
- Engine and EGR/ABP systems modelling—the modelling of the engine including the EGR/ABP systems was set up and validated.
- Optimisation process and cases studies—the optimisation process phases, the methods, and tools to be employed, as well as the variables to be considered, were identified. In addition, the case studies for investigation were defined.
- Optimal EGR/ABP systems and engine settings identification—investigation of the EGR and ABP systems effects on the engine response were carried out by employing the results of the case studies identified in step 4; sensitivity analysis was conducted to quantitatively assess the impact of the optimisation variables on the engine response.
2.1. Reference System
2.2. EGR and ABP Systems on Marine Four-Stroke DF Engines
3. Modelling
3.1. Engine Modelling
3.2. Exhaust Gas Recirculation and Air Bypass Systems Modelling
3.3. Combustion Modelling
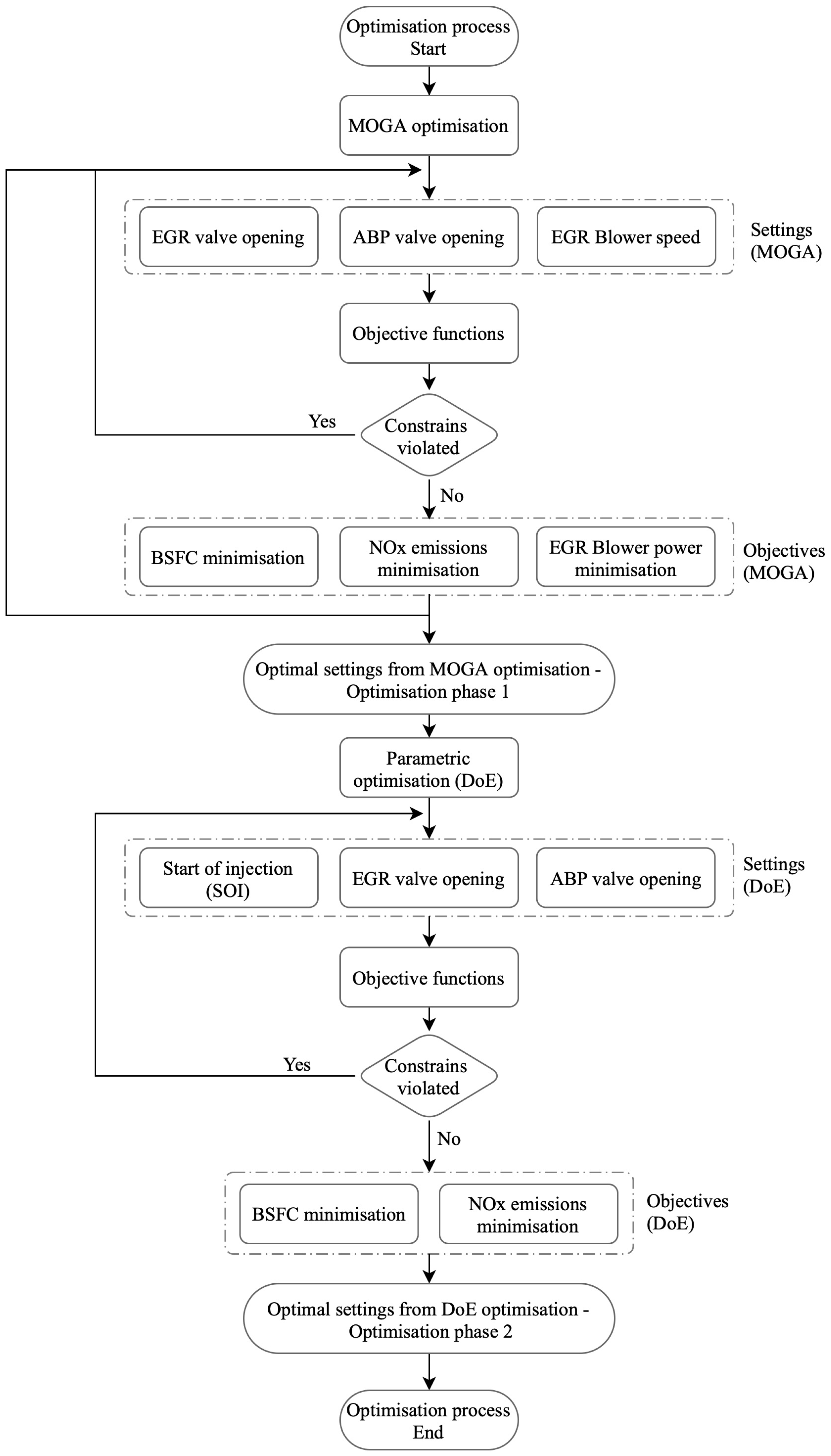
4. Optimisation Process and Case Studies
5. Results and Discussion
5.1. Models Validation
5.2. Optimisation Case Studies Results
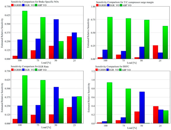
5.3. Sensitivity Analysis
6. Conclusions
- The engine NOx emissions can be reduced by almost 73% when using an EGR in combination with an ABP system, demonstrating compliance with the ‘Tier III’ requirements.
- The required EGR rates to achieve ‘Tier III’ compliance range from 31% to 35% as a function of the engine load.
- The obtained NOx emissions reduction was associated with a BSFC increase from 8.4% to 9.9% considering the respective EGR blower electrical power requirements, in comparison to the diesel mode operation without EGR/ABP systems activation. The respective BSFC penalty without considering the EGR blower power requirements were found to be 6.1% to 8.7%.
- The advance of SOI offered fuel savings ranging from 0.3% up to 1.8% as the load increased, with the highest BSFC reduction obtained at 100% load.
- The followed optimisation process was proven to be computationally effective and resulted in identifying the Pareto front and optimal system settings.
- The sensitivity analysis verified that the most sensitive parameters were the ones considered in the optimisation process, thus validating the followed approach.
Author Contributions
Funding
Acknowledgments
Conflicts of Interest
Abbreviations
| 0D | Zero-dimensional |
| 1D | One-dimensional |
| ABP | Air Bypass System |
| BMEP | Brake Mean Effective Pressure |
| BSFC | Brake Specific Fuel Consumption |
| bTDC | Before top dead centre |
| CA | Crank Angle |
| CFD | Computational Fluid Dynamics |
| CO2 | Carbon Dioxide |
| DF | Dual Fuel |
| DoE | Design of Experiments |
| EGR | Exhaust Gas Recirculation |
| EWG | Exhaust gas waste gate valve |
| GT | Gamma Technologies |
| HP-EGR | High Pressure Exhaust Gas Recirculation |
| IMEP | Indicated Mean Effective Pressure |
| IMO | International Maritime Organization |
| LP-EGR | Low Pressure Exhaust Gas Recirculation |
| MOGA | Multiobjective Genetic Algorithm |
| NG | Natural Gas |
| NOx | Nitrogen oxides emissions |
| NSGA | Nondominated Sorting Genetic Algorithm |
| PE | Engine brake power |
| SCR | Selective Catalytic Reduction |
| SOI | Start of Injection |
| T/C | Turbocharger |
References
- Pakarinen, R. IMO Tier III and Beyond. Available online: https://www.wartsila.com/twentyfour7/environment/imo-tier-iii-and-beyond (accessed on 17 June 2019).
- Rudrabhate, S.D.; Chaitanya, S.V. Comparison between EGR & SCR Technologies. In Proceedings of the International Conference on Ideas, Impact and Innovation in Mechanical Engineering (ICIIIME), Pune, India, 1–2 June 2017; pp. 856–861. [Google Scholar]
- MAN. Tier III Two-Stroke Technology. Available online: https://marine.mandieselturbo.com/docs/librariesprovider6/technical-papers/tier-iii-two-stroke-technology.pdf?sfvrsn=18 (accessed on 17 June 2019).
- EGCSA. NOx Reduction by Exhaust Gas Recirculation—MAN. Explains. Available online: https://www.egcsa.com/exhaust-gas-recirculation-explained/ (accessed on 17 June 2019).
- Ladommatos, N.; Abdelhalim, S.; Zhao, H. The Effects of Exhaust Gas Recirculation on Diesel Combustion and Emissions. Int. J. Engine Res. 2000, 1, 107–126. [Google Scholar] [CrossRef]
- Gautier, P.; Albrecht, A.; Chasse, A.; Moulin, P.; Pagot, A.; Fontvieille, L.; Issartel, D. A Simulation Study of the Impact of LP EGR on a Two-Stage Turbocharged Diesel Engine. Oil Gas Sci. Technol.-Rev. IFP 2009, 64, 361–379. [Google Scholar] [CrossRef]
- Maiboom, A.; Tauzia, X. NOx and PM Emissions Reduction on an Automotive HSDI Diesel Engine with Water-in-Diesel Emulsion and EGR: An Experimental Study. Fuel 2011, 90, 3179–3192. [Google Scholar] [CrossRef]
- Zamboni, G.; Capobianco, M. Influence of High and Low Pressure Egr and Vgt Control on in-Cylinder Pressure Diagrams and Rate of Heat Release in an Automotive Turbocharged Diesel Engine. Appl. Therm. Eng. 2013, 51, 586–596. [Google Scholar] [CrossRef]
- Beatrice, C.; Rispoli, N.; Di Blasio, G.; Patrianakos, G.; Kostoglou, M.; Konstandopoulos, A.; Imren, A.; Denbratt, I.; Palacín, R. Emission Reduction Technologies for the Future Low Emission Rail Diesel Engines: EGR vs SCR. SAE Tech. Pap. Ser. 2013. [Google Scholar] [CrossRef]
- Samokhin, S.; Sarjovaara, T.; Zenger, K.; Larmi, M. Modeling and Control of Diesel Engines with a High-Pressure Exhaust Gas Recirculation System. IFAC Proc. Vol. 2014, 47, 3006–3011. [Google Scholar] [CrossRef]
- Buenaventura, F.C.; Witrant, E.; Talon, V.; Dugard, L. Air Fraction and EGR Proportion Control for Dual Loop EGR Diesel Engines. Ing. Univ. 2015, 19, 115. [Google Scholar] [CrossRef][Green Version]
- Konstandopoulos, A.G.; Kostoglou, M.; Beatrice, C.; Di Blasio, G.; Imren, A.; Denbratt, I. Impact of Combination of EGR, SCR, and DPF Technologies for the Low-Emission Rail Diesel Engines. Emiss. Control Sci. Technol. 2015, 1, 213–225. [Google Scholar] [CrossRef]
- Thangaraja, J.; Kannan, C. Effect of Exhaust Gas Recirculation on Advanced Diesel Combustion and Alternate Fuels—A review. Appl. Energy 2016, 180, 169–184. [Google Scholar] [CrossRef]
- Beatrice, C.; Rispoli, N.; Di Blasio, G.; Konstandopoulos, A.G.; Papaioannou, E.; Imren, A. Impact of Emerging Engine and After-Treatment Technologies for Improved Fuel Efficiency and Emission Reduction for the Future Rail Diesel Engines. Emiss. Control Sci. Technol. 2016, 2, 99–112. [Google Scholar] [CrossRef]
- Hiraoka, N.; Miyanagi, A.; Kuroda, K.; Ito, K.; Nakagawa, T.; Ueda, T. The World’s First Onboard Verification Test of UE Engine with Low Pressure EGR complied with IMO’s NOx Tier III Regulations. Mitsubishi Heavy Ind. 2016, 53, 40. [Google Scholar]
- Hiraoka, N.; Ueda, T.; Nakagawa, T.; Ito, K. Development of Low Pressure Exhaust Gas Recirculation System for Mitsubishi UE Diesel Engine. In Proceedings of the 28th CIMAC World Congress on Combustion Engine Technology, Helsinki, Finland, 6–10 June 2016. [Google Scholar]
- Kaltoft, J.; Preem, M. Development of Integrated EGR System for Two-Stroke Diesel Engines. In Proceedings of the 27th CIMAC World Congress on Combustion Engine Technology, Shanghai, China, 13–17 May 2013. [Google Scholar]
- Higashida, M.; Nakamura, T.; Onishi, I.; Yoshizawa, K.; Takata, H.; Hosono, T. Newly Developed Combined EGR & WEF System to comply with IMO NOx Regulation Tier 3 for Two-stroke Diesel Engine. In Proceedings of the 27th CIMAC World Congress on Combustion Engine Technology, Shanghai, China, 13–17 May 2013. [Google Scholar]
- Raptotasios, S.; Sakellaridis, N.F.; Papagiannakis, R.G.; Hountalas, D.T. Application of a Multi-Zone Combustion Model to Investigate the Nox Reduction Potential of Two-Stroke Marine Diesel Engines Using EGR. Appl. Energy 2015, 157, 814–823. [Google Scholar] [CrossRef]
- Feng, L.; Tian, J.; Long, W.; Gong, W.; Du, B.; Li, D.; Chen, L. Decreasing NOx of a Low-Speed Two-Stroke Marine Diesel Engine by Using In-Cylinder Emission Control Measures. Energies 2016, 9, 304. [Google Scholar] [CrossRef]
- Sun, X.; Liang, X.; Shu, G.; Lin, J.; Wang, Y.; Wang, Y. Numerical Investigation of Two-Stroke Marine Diesel Engine Emissions Using Exhaust Gas Recirculation at Different Injection Time. Ocean Eng. 2017, 144, 90–97. [Google Scholar] [CrossRef]
- Ji, W.; Li, A.; Lu, X.; Huang, Z.; Zhu, L. Numerical Study on NOx and Isfc Co-Optimization for a Low-Speed Two-Stroke Engine via Miller Cycle, EGR, Intake Air Humidification, and Injection Strategy Implementation. Appl. Therm. Eng. 2019, 153, 398–408. [Google Scholar] [CrossRef]
- Nielsen, K.V.; Blanke, M.; Eriksson, L.; Vejlgaard-Laursen, M. Marine Diesel Engine Control to Meet Emission Requirements and Maintain Maneuverability. Control Eng. Pract. 2018, 76, 12–21. [Google Scholar] [CrossRef]
- Wang, Z.; Zhou, S.; Feng, Y.; Zhu, Y. Research of NOx Reduction on a Low-Speed Two-Stroke Marine Diesel Engine by Using EGR (Exhaust Gas Recirculation)–CB (Cylinder Bypass) and EGB (Exhaust Gas Bypass). Int. J. Hydrogen Energy 2017, 42, 19337–19345. [Google Scholar] [CrossRef]
- Ludu, A.; Engelmayer, M.; Thomas, B.; Lustgarten, G. Emission Compliance Strategy for Multiapplication Medium Speed Engines. In Proceedings of the 25th CIMAC World Congress on Combustion Engine Technology, Hofburg, Vienna, 21–24 May 2007. [Google Scholar]
- Tinschmann, G.; Thum, D.; Schlueter, S.; Pelemis, P.; Stiesch, G. Sailing towards IMO Tier III—Exhaust Aftertreatment versus Engine-Internal Technologies for Medium Speed Diesel Engines. In Proceedings of the 26th CIMAC World Congress on Combustion Engine Technology, Bergen, Norway, 14–17 June 2010. [Google Scholar]
- Wirth, K. Emissions Reduction Opportunities on MaK Engines. In Proceedings of the 26th CIMAC World Congress on Combustion Engine Technology, Bergen, Norway, 14–17 June 2010. [Google Scholar]
- Millo, F.; Bernardi, M.G.; Servetto, E.; Delneri, D. Computational Analysis of Different EGR Systems, Combined with Miller Cycle Concept for a Medium Speed Marine Diesel Engine. In Proceedings of the 27th CIMAC World Congress on Combustion Engine Technology, Shanghai, China, 13–17 May 2013. [Google Scholar]
- Fiedler, M.; Fiedler, H.; Boy, P. Experimental Experience Gained with a Long-Stroke Medium-Speed Diesel Research engine using Two Stage Turbo Charging and Extreme Miller Cycle. In Proceedings of the 27th CIMAC World Congress on Combustion Engine Technology, Shanghai, China, 13–17 May 2013. [Google Scholar]
- Park, H.; Park, J.; Park, M.; Ghal, S.; Kim, S. NOx Reduction by Combination of Charge Air Moisturizer and Exhaust Gas Recirculation on Medium Speed Diesel Engines. In Proceedings of the 27th CIMAC World Congress on Combustion Engine Technology, Shanghai, China, 13–16 May 2013. [Google Scholar]
- Pueschel, M.; Buchholz, B.; Fink, C.; Rickert, C.; Ruschmeyer, K. Combination of Post-Injection and Cooled EGR at a Medium-Speed Diesel Engine to Comply with IMO Tier III Emission Limits. In Proceedings of the 27th CIMAC World Congress on Combustion Engine Technology, Shanghai, China, 13–16 May 2013. [Google Scholar]
- Rickert, C.; Banck, A.; Ruschmeyer, K.; Ernst, S. Pros and Cons of Exhaust Gas Recirculation for Emission Reduction of Medium Speed Diesel Engines. In Proceedings of the 28th CIMAC World Congress on Combustion Engine Technology, Helsinki, Finland, 6–10 June 2016. [Google Scholar]
- Kyrtatos, P.; Herrmann, K.; Hoyer, K.; Boulouchos, K. Combination of EGR and Fuel-Water Emulsions for Simultaneous NOx and Soot Reduction in a Medium Speed Diesel Engine. In Proceedings of the 28th CIMAC World Congress on Combustion Engine Technology, Helsinki, Finland, 6–10 June 2016. [Google Scholar]
- Kaario, O.; Sarjovaara, T.; Larmi, M.; Wik, C. Zero NOx Emission in Large-Bore Medium Speed Engines With Exhaust Gas Recirculation. In Proceedings of the 28th CIMAC World Congress on Combustion Engine Technology, Helsinki, Finland, 6–10 June 2016. [Google Scholar]
- Stork, M.; Eisenbach, S.; Spengler, S.; Toshev, P. Turbocharger Innovations for Compliance with Tier III Emission Limits. In Proceedings of the 29th CIMAC World Congress on Combustion Engine Technology, Vancouver, BC, Canada, 10–14 June 2019. [Google Scholar]
- Kumaraswamy, A.; Prasad, B.D. Performance Analysis of a Dual Fuel Engine Using LPG and Diesel with EGR System. Procedia Eng. 2012, 38, 2784–2792. [Google Scholar] [CrossRef]
- Yasin, M.H.M.; Paruka, P.; Mamat, R.; Ali, M.H. Fundamental Study of Dual Fuel on Exhaust Gas Recirculation (EGR) Operating with a Diesel Engine. Appl. Mech. Mater. 2015, 773, 415–419. [Google Scholar] [CrossRef]
- Kalsi, S.S.; Subramanian, K. Experimental Investigations of Effects of EGR on Performance and Emissions Characteristics of CNG Fueled Reactivity Controlled Compression Ignition (RCCI) Engine. Energy Convers. Manag. 2016, 130, 91–105. [Google Scholar] [CrossRef]
- Wu, H.-W.; Hsu, T.-Z.; Lai, W.-H. Dual Fuel Turbocharged Engine Operated with Exhaust Gas Recirculation. J. Mech. 2016, 34, 21–27. [Google Scholar] [CrossRef]
- Duan, X.; Liu, Y.; Liu, J.; Lai, M.-C.; Jansons, M.; Guo, G.; Zhang, S.; Tang, Q. Experimental and Numerical Investigation of the Effects of Low-Pressure, High-Pressure and Internal EGR Configurations on the Performance, Combustion and Emission Characteristics in a Hydrogen-Enriched Heavy-Duty Lean-Burn Natural Gas SI Engine. Energy Convers. Manag. 2019, 195, 1319–1333. [Google Scholar] [CrossRef]
- Li, Y.; Wang, P.; Wang, S.; Liu, J.; Xie, Y.; Li, W. Quantitative Investigation of the Effects of CR, EGR and Spark Timing Strategies on Performance, Combustion and NOx Emissions Characteristics of a Heavy-Duty Natural Gas Engine Fueled With 99% Methane Content. Fuel 2019, 255, 115803. [Google Scholar] [CrossRef]
- Hiroyasu, T. Diesel Engine Design using Multi-Objective Genetic Algorithm. In Proceedings of the Japan/US Workshop on Design Environment, Kyoto, Japan, 26 February 2004. [Google Scholar]
- Yin, B.; Wang, J.; Yang, K.; Jia, H. Optimization of EGR and Split Injection Strategy for Light Vehicle Diesel Low Temperature Combustion. Int. J. Automot. Technol. 2014, 15, 1043–1051. [Google Scholar] [CrossRef]
- Ibrahim, A.; Bari, S. Optimization of a Natural Gas SI Engine Employing EGR Strategy Using a Two-Zone Combustion Model. Fuel 2008, 87, 1824–1834. [Google Scholar] [CrossRef]
- Park, J.; Song, S.; Lee, K.S. Numerical Investigation of a Dual-Loop EGR Split Strategy Using a Split Index and Multi-Objective Pareto Optimization. Appl. Energy 2015, 142, 21–32. [Google Scholar] [CrossRef]
- Jaliliantabar, F.; Ghobadian, B.; Najafi, G.; Mamat, R.; Carlucci, A.P. Multi-objective NSGA-II Optimization of a Compression Ignition Engine Parameters Using Biodiesel Fuel and Exhaust Gas Recirculation. Energy 2019, 187, 115970. [Google Scholar] [CrossRef]
- Jo, Y.; Min, K.; Jung, D.; Sunwoo, M.; Han, M. Comparative Study of the Artificial Neural Network With Three Hyper-Parameter Optimization Methods for the Precise LP-EGR Estimation Using in-Cylinder Pressure in a Turbocharged GDI Engine. Appl. Therm. Eng. 2019, 149, 1324–1334. [Google Scholar] [CrossRef]
- Ayhan, V.; Çangal, Ç.; Cesur, I.; Çoban, A.; Ergen, G.; Çay, Y.; Kolip, A.; Özsert, I. Optimization of the Factors Affecting Performance and Emissions in a Diesel Engine Using Biodiesel and EGR With Taguchi Method. Fuel 2020, 261, 116371. [Google Scholar] [CrossRef]
- Li, J.; Yu, X.; Xie, J.; Yang, W. Mitigation of High Pressure Rise Rate by Varying IVC Timing and EGR Rate in an Rcci Engine With High Premixed Fuel Ratio. Energy 2020, 192, 116659. [Google Scholar] [CrossRef]
- Lei, S.; Kangyao, D.; Yuehua, Q.; Yong, G.; Bo, L. Research and Optimization of Low- Speed Two-Stroke Engines Using High Pressure EGR with Cylinder Bypass. In Proceedings of the 29th CIMAC World Congress on Combustion Engine Technology, Vancouver, BC, Canada, 10–14 June 2019. [Google Scholar]
- Stoumpos, S.; Theotokatos, G.; Boulougouris, E.; Vassalos, D.; Lazakis, I.; Livanos, G. Marine Dual Fuel Engine Modelling and Parametric Investigation of Engine Settings Effect on Performance-Emissions Trade-Offs. Ocean Eng. 2018, 157, 376–386. [Google Scholar] [CrossRef]
- Stoumpos, S.; Theotokatos, G.; Mavrelos, C.; Boulougouris, E. Towards Marine Dual Fuel Engines Digital Twins—Integrated Modelling of Thermodynamic Processes and Control System Functions. J. Mar. Sci. Eng. 2020, 8, 200. [Google Scholar] [CrossRef]
- Wärtsilä. Wärtsilä 50DF Information (Product Guide, Drawings and 3D Models). Available online: https://www.wartsila.com/marine/build/engines-and-generating-sets/dual-fuel-engines/wartsila-50df (accessed on 13 November 2019).
- Wärtsilä. LNG Shipping Solutions. Available online: https://cdn.wartsila.com/docs/default-source/oil-gas-documents/brochure-lng-shipping-solutions.pdf?utm_source=engines&utm_medium=dfengines&utm_term=dfengines&utm_cont (accessed on 14 June 2019).
- Jeppesen, M. Tier III Service Experience. Available online: https://higherlogicdownload.s3.amazonaws.com/SNAME/a09ed13c-b8c0-4897-9e87-eb86f500359b/UploadedImages/2016-2017/jeppesen.TIER_III_service_2.2016.SECP.pdf (accessed on 17 June 2019).
- Grøne, O. IMO Tier III Strategies under the Light of Changes in the Oil Market. Available online: https://www.cimac.com/cms/upload/events/circles/circle_2016_SMM/MAN_K_Aabo_CIMA_Circle_Emission_Tier_III_sep_2016_MDT1.pdf (accessed on 17 June 2019).
- Wärtsilä. Wärtsilä 31DF Product Guide. Available online: https://cdn.wartsila.com/docs/default-source/product-files/engines/df-engine/product-guide-o-e-w31df.pdf (accessed on 14 June 2019).
- Gamma Technologies. GT-SUITE Manual; Gamma Technologies: Westmont, IL, USA, 2016. [Google Scholar]
- Merker, G.P.; Schwarz, C.; Stiesch, G.; Otto, F. Simulating Combustion: Simulation of Combustion and Pollutant Formation for Engine-Development; Springer Science & Business Media: New York, NY, USA, 2005. [Google Scholar]
- Woschni, G. A Universally Applicable Equation for the Instantaneous Heat Transfer Coefficient in the Internal Combustion Engine. SAE Tech. Pap. Ser. 1967, 1. [Google Scholar] [CrossRef]
- Rakopoulos, C.D.; Giakoumis, E.G. Prediction of Friction Development During Transient Diesel Engine Operation Using a Detailed Model. Int. J. Veh. Des. 2007, 44, 143. [Google Scholar] [CrossRef]
- Lavoie, G.A.; Heywood, J.B.; Keck, J.C. Experimental and Theoretical Study of Nitric Oxide Formation in Internal Combustion Engines. Combust. Sci. Technol. 1970, 1, 313–326. [Google Scholar] [CrossRef]
- Hanson, R.K.; Salimian, S. Survey of Rate Constants in the N/H/O System. In Combustion Chemistry; Springer Science and Business Media LLC: New York, NY, USA, 1984; pp. 361–421. [Google Scholar]
- Florea, R.; Taraza, D.; Henein, N.A.; Bryzik, W. Transient Fluid Flow and Heat Transfer in the EGR Cooler. SAE Int. J. Engines 2008, 1, 558–570. [Google Scholar] [CrossRef]
- Fabio, B.; Vincenzo, D.B.; Luigi, T. EGR Systems Employment to Reduce the Fuel Consumption of a Downsized Turbocharged Engine at High-load Operations. Energy Procedia 2015, 81, 866–873. [Google Scholar] [CrossRef][Green Version]
- Sixel, E.J.; Hiltner, J.; Rickert, C. Use of 1-D simulation Tools with a Physical Combustion Model for the Development of Diesel-Gas or Dual Fuel Engines. In Proceedings of the 28th CIMAC World Congress on Combustion Engine Technology, Helsinki, Finland, 6–10 June 2016. [Google Scholar]
- Christen, C.; Brand, D. IMO tier 3: Gas and Dual Fuel Engines as a Clean and Efficient Solution. In Proceedings of the Conseil International Des Machines A Combustion (CIMAC) Congress, Shanghai, China, 13–17 May 2013. [Google Scholar]
- Wang, H.; Gan, H.; Theotokatos, G. Parametric Investigation of Pre-Injection on the Combustion, Knocking and Emissions Behaviour of a Large Marine Four-Stroke Dual-Fuel Engine. Fuel 2020, 281, 118744. [Google Scholar] [CrossRef]
- Verschaeren, R.; Schaepdryver, W.; Serruys, T.; Bastiaen, M.; Vervaeke, L.; Verhelst, S. Experimental Study of NO Reduction on a Medium Speed Heavy Duty Diesel Engine by the Application of EGR (Exhaust Gas Recirculation) and Miller Timing. Energy 2014, 76, 614–621. [Google Scholar] [CrossRef]
- Ma, X.; Li, Y.; Qi, Y.; Xu, H.; Shuai, S.; Wang, J. Optical Study of Throttleless and EGR-Controlled Stoichiometric Dual-Fuel Compression Ignition Combustion. Fuel 2016, 182, 272–283. [Google Scholar] [CrossRef]
- Deb, K.; Jain, H. An Evolutionary Many-Objective Optimization Algorithm Using Reference-Point-Based Nondominated Sorting Approach, Part I: Solving Problems with Box Constraints. IEEE Trans. Evol. Comput. 2013, 18, 577–601. [Google Scholar] [CrossRef]
- IMO. NOx Technical Code 2008 (as amended by resolution MEPC.251.(66)). Available online: http://www.imo.org/en/KnowledgeCentre/IndexofIMOResolutions/Marine-Environment-Protection-Committee-%28MEPC%29/Documents/MEPC.251%2866%29.pdf (accessed on 13 November 2019).
- Saltelli, A. Sensitivity Analysis for Importance Assessment. Risk Anal. 2002, 22, 579–590. [Google Scholar] [CrossRef] [PubMed]
- Xu, C.; Hu, Y.; Chang, Y.; Jiang, Y.; Li, X.; Bu, R.; He, H. Sensitivity analysis in ecological modeling. Ying Yong Sheng Tai Xue Bao J. Appl. Ecol. 2004, 15, 236–237. [Google Scholar]
- Wenig, M.; Roggendorf, K.; Fogla, N. Towards Predictive Dual-Fuel Combustion and Prechamber Modeling for Large Two-Stroke Engines in the Scope of 0D/1D Simulation. In Proceedings of the 29th CIMAC World Congress on Combustion Engine Technology, Vancouver, BC, Canada, 10–14 June 2019. [Google Scholar]





| Parameter | Unit | Value |
|---|---|---|
| MCR power/speed/BMEP | kW/r/min/bar | 8775/514/20 |
| BSFC at MCR (diesel mode) | g/kWh | 190 |
| BSEC at MCR (gas mode) | kJ/kWh | 7300 |
| Bore/stroke | mm | 500/580 |
| No. of cylinders/T/C units | –/– | 9/1 |
| Description | Units | Parameter Value | |
|---|---|---|---|
| Without EGR | With EGR 1 | ||
| Start of combustion | °CA | 4.2 | 6.5 |
| Main duration | °CA | 56 | 67 |
| Main exponent/function shape factor | 1 | 1 | |
| Parameter | Value |
|---|---|
| Population size | 40 |
| Number of generations | 10 |
| Crossover rate | 1 |
| Crossover rate distribution index | 15 |
| Mutation rate | Calculated |
| Mutation rate distribution Index | 20 |
| Random seed | Random |
| Optimisation Phase | Load | % | 25 | 50 | 75 | 100 | |
|---|---|---|---|---|---|---|---|
| Case Study ID | 1 | 2 | 3 | 4 | |||
| MOGA Optimisation | Settings (variables) | EGR Blower speed | r/min | 8500–9000 | |||
| EGR valve opening | deg | 10–90 | |||||
| ABP valve opening | deg | 5–90 | |||||
| Constrains | NOx emissions limit | g/kWh | 2.583 | ||||
| EGR rate | % | 30–40 | |||||
| T/C compressor surge margin | fraction | 0.15–0.35 | |||||
| Objectives | NOx emissions | g/kWh | minimise | ||||
| BSFC | g/kWh | minimise | |||||
| EGR blower power | kW | minimise | |||||
| Case Study ID | 5 | 6 | 7 | 8 | |||
| DoE Optimisation | Settings (variables) | Start of injection (SOI) | °CA bTDC | 20–12 | |||
| EGR valve opening | deg | 21–23 | 33–35 | 85–87 | 90 | ||
| ABP valve opening | deg | 6–8 | 50–52 | 51–53 | 49–55 | ||
| Constrains | NOx emissions limit | g/kWh | 2.583 | ||||
| Objectives | BSFC | g/kWh | minimise | ||||
| NOx emissions | g/kWh | minimise | |||||
| Optimisation Phase | Load | % | 25 | 50 | 75 | 100 | |
|---|---|---|---|---|---|---|---|
| Case Study ID | 1 | 2 | 3 | 4 | |||
| MOGA Optimisation | Settings (variables) | EGR blower speed | r/min | 9000 | 9000 | 9000 | 9000 |
| EGR valve opening | deg | 21 | 33 | 85 | 90 | ||
| ABP valve opening | deg | 6 | 50 | 51 | 49 | ||
| Output parameters | NOx emissions | g/kWh | 2.62 | 2.57 | 2.49 | 2.46 | |
| BSFC | g/kWh | 249.1 | 221.3 | 212.1 | 214.9 | ||
| EGR blower power/PE | % | 0.76 | 1.17 | 1.82 | 2.32 | ||
| Case Study ID | 5 | 6 | 7 | 8 | |||
| DoE Optimisation | Settings (variables) | Start of injection (SOI) | °CA bTDC | −12 | −15 | −15 | −15 |
| EGR valve opening | deg | 21 | 33 | 85 | 90 | ||
| ABP valve opening | deg | 6 | 50 | 51 | 51 | ||
| Output parameters | BSFC | g/kWh | 249.1 | 220.7 | 209.6 | 210.6 | |
| NOx emissions | g/kWh | 2.62 | 2.41 | 2.59 | 2.52 | ||
| EGR blower power/PE | % | 0.76 | 1.14 | 1.78 | 2.32 | ||
| ΔBSFC (BSFCwithout EGR - BSFCwith EGR) | % | 8.4 | 10.2 | 9.9 | 10.2 | ||
| ΔBSFC (BSFCwithout EGR - BSFCwith EGR and SOI) | % | 8.4 | 9.9 | 8.8 | 8.4 | ||
© 2020 by the authors. Licensee MDPI, Basel, Switzerland. This article is an open access article distributed under the terms and conditions of the Creative Commons Attribution (CC BY) license (http://creativecommons.org/licenses/by/4.0/).
Share and Cite
Stoumpos, S.; Theotokatos, G. Multiobjective Optimisation of a Marine Dual Fuel Engine Equipped with Exhaust Gas Recirculation and Air Bypass Systems. Energies 2020, 13, 5021. https://doi.org/10.3390/en13195021
Stoumpos S, Theotokatos G. Multiobjective Optimisation of a Marine Dual Fuel Engine Equipped with Exhaust Gas Recirculation and Air Bypass Systems. Energies. 2020; 13(19):5021. https://doi.org/10.3390/en13195021
Chicago/Turabian StyleStoumpos, Sokratis, and Gerasimos Theotokatos. 2020. "Multiobjective Optimisation of a Marine Dual Fuel Engine Equipped with Exhaust Gas Recirculation and Air Bypass Systems" Energies 13, no. 19: 5021. https://doi.org/10.3390/en13195021
APA StyleStoumpos, S., & Theotokatos, G. (2020). Multiobjective Optimisation of a Marine Dual Fuel Engine Equipped with Exhaust Gas Recirculation and Air Bypass Systems. Energies, 13(19), 5021. https://doi.org/10.3390/en13195021

