Abstract
The South African coalmining industry has a rich and long history and contributes significantly to the economic wellbeing of the country. Despite its importance in developing the economy, the industry is causing severe environmental challenges. For example, Emalahleni, a city situated in the Mpumalanga Province in South Africa, has been exposed for over a century to the continuous mining of coal. Challenges experienced include the sterilisation of land due to underground fires, water pollution, surface collapse, and acidification of topsoil. Previous work by the researchers formulated a conceptual framework aimed at addressing some of these challenges. In an extension of this work, the authors comprehensively enhance the preliminary framework on the strength of a set of qualitative propositions coupled with a parallel, exploratory survey. Interviews among various stakeholders were conducted, aimed at enhancing the components of the framework, followed by a focus group to validate the associations among the components of the framework. Aspects reinforced by the survey findings include the role of environmental management accounting, tools like material-flow cost accounting and life-cycle costing, and regulatory and accountability aspects. New aspects elicited from the interviews and the focus group include stakeholder education and training with respect to the value of environmental management accounting for the coalmining industry; adherence to risk management linked to environmental challenges; advanced technologies, for example, financial modelling; and an improved understanding of waste management aspects around acid mine drainage, volatile organic components, CO2 emissions, and post-mine closure. The novelty of the work lies in the approach taken to address coalmining challenges. Previous authors concentrated mostly on scientific and engineering aspects, while this research looks at it from an accounting perspective using environmental management accounting tools to address these challenges.
1. Introduction
Coal has played a significant role for the past 100 years by providing electricity to households and companies, thereby playing a major socio-economic role in South Africa as a developing economy. Coal deposits in South Africa are in what is referred to as the Karoo Super group, in a segment known as the Ecca subgroup [1]. It is projected that about 50% of the coalfields in areas such as Emalahleni, Ermelo, and Highveld encompass the deposits of coal that may be recovered [2]. Further details of these Karoo and Ecca subgroup deposits may be observed in [3].
Numerous challenges arise from the South African coalmining industry, and these are unpacked under environmental challenges, scientific and engineering aspects, and managerial considerations.
1.1. Environmental Challenges
While coalmining contributes significantly to gross domestic product (GDP) [4], its operations bring about well-known environmental challenges and compromise plant life and animal and human health. For example, Emalahleni, a city located in the Mpumalanga Province in South Africa, has been exposed for over a century to the continuous mining of coal. Challenges experienced include the sterilisation of land due to underground fires, water pollution, surface collapse, and acidification of topsoil. A further problem is the rise in the contamination of water. For instance, water in the Middelburg Dam in Mpumalanga is estimated to be 40% unsuitable for human consumption [5]. Consequently, the critical challenge facing South Africa is to commission integrated and effective policies and frameworks to assist mining companies to make informed decisions about their effects on the environment. Moreover, resolute approaches ought to be employed to generate foreign capital inflows and platforms to mitigate the challenges caused by mining activities [5].
1.2. Scientific and Engineering Aspects
While this work is concerned with the value proposition of environmental management accounting (EMA) in addressing environmental challenges of coalmining, some scientific and engineering aspects ought to be considered. The coalmining industry usually distinguishes between open pit mining and underground mining. Open pit mining is undertaken for coal deposits relatively near the surface, e.g., 20 m, while deeper deposits may necessitate underground mining activities [6]. Over 90% of the mining activities in developed economies adopt open pit methods [6]. Naturally, underground fires can only arise from underground mining activities and not open pit mining. Plausibly, both kinds of coalmining can pollute underground water, but depending on the depth of these aquifers, underground mining would pose a larger pollution threat to water sources.
Numerous coalmining challenges can be categorised as belonging to either open pit mining or underground mining or both. Specific challenges associated with open pit coal mines are polluting and disturbing water flow patterns; dust production, generally known as a source of respirable coal mine dust (RCMD) owing to mining operations; acidification of surface soil (linked to acid mine drainage (AMD) discussed by Masindi et al. [7]) and sulphur content release; local land alteration; increased traffic owing to mine personnel setting up towns and other infrastructure; disposal of mine waste (for example rocks); and overburden before mining operations can proceed [8]. Challenges associated with underground coalmining overlap to a large extent with that of open pit mining; additional challenges include polluting underwater sources, subsidence leading to sinkholes owing to collapsed underground mine pillars [6], and exacerbated dust production owing to an enclosed environment.
The environmental challenges posed by coalmining can also be twofold: pollution can occur through open pit or underground mining and affect water sources, soil quality [8,9], and other environmental elements. Further in the supply chain, pollution may occur through arguably the most well-known use of coal—namely, combustion in generating energy [10], which is the most common use in South Africa as a developing economy. Both these important uses of coal lead to environmental challenges and affect human health—for example, air pollution in the case of combustion. In addition, there is a concerted effort by the human rights and Greenpeace movements to investigate alternative energy sources to replace coalmining, owing to the detrimental effects on the environment, especially in the Mpumalanga province in South Africa [11]. Apart from its uses as an energy source through combustion, it should be noted that coal has numerous other, metallurgical uses, e.g., its use in high-temperature smelting furnaces to distil iron for use in the manufacturing of steel and cement for the building industry [12,13].
Work aimed at addressing environmental challenges from a scientific or engineering perspective has recently appeared. A screening tool, called groundwater impacts from mine-water irrigation (GIMI) to assist with the recycling of coalmine water for irrigation of crops is presented by Vermeulen and Usher [14], together with challenges of acid mine drainage (AMD). Skousen et al. [15] likewise address aspects of water reclamation and water management practices. They recognise the importance of salvaging the native soil as part of land reclamation and the role to be played by legislation. Hirschi and Chugh [10] discuss strategies for coalmining waste disposal and elicit the impurities present in coal that ought to be dealt with at all stages of coalmining—before, during, and after mining.
New insights into subsidence formation through underground mine pillar extraction or failure (collapse) and other causes are presented by Van der Merwe [6]. An improved method to predict the level of subsidence in the case of pillar extraction is presented. Nevertheless, the presence of large deposits of dolerite in South African mines compromises measures against subsidence. The management of overburden to be removed as the top layer before open pit mining may commence is addressed by Oggeri et al. [8]. Numerous aspects are involved herein—notably, logistical aspects, groundwater interaction, air pollution through harmful gasses escaping, and climate conditions to name but a few. Naturally, it is important to pay attention to the possible reuse or rehabilitation of the site following the removal of overburden.
The sustainability of AMD in the South African context is addressed by Masindi et al. [7]. AMD was collected from a mine in Mpumalanga (largely also the case considered in the current research) and analysed. With respect to costing, a life cycle cost analysis (LCCA) was performed using life cycle assessment (LCA). Following the analyses, it is recommended that the South African coalmining industry should reduce its environmental footprint. It is anticipated that the EMA approach advocated in the current research would be useful in this regard.
An analysis of the quality of soils around industrial coalmining sites was undertaken by Xiao et al. [9]. They discovered numerous toxic elements in the samples analysed and determined serious soil contamination in Southeast Asia, South Europe, and North Africa. They also found that children would be most affected by these environments and call for the development and rolling out of control and management strategies to address these challenges. Their observations and remedial suggestions coincide with the research findings reported on in this article.
It should be noted that the research in this article is largely abstracted away from scientific and engineering aspects around coalmining practices (open pit or underground) and the coalmining origins (mining activities per se or combustion afterwards) of environmental challenges. Consequently, the purpose of this research is to determine the factors at play in using EMA to address coalmining challenges through the creation of a decision-making framework for managing coalmining companies. Chief among these would be a call for more EMA awareness to be created in (amongst other) the coalmining industry. It is important to note that a feasibility study with respect to any proposed coalmining operation ought to be performed to arrive at a CO2 and environmental balance strategy. Should the CO2 and environmental impact of the proposed operations be too severe compared to the profit to be made, alternatives should be considered. The use of EMA ought to assist with these assessments.
1.3. Managerial Considerations
Previous work by the researchers [16] involved a comprehensive literature review on coalmining challenges at a managerial level, together with proposed solutions, specifically for the South African milieu. A number of aspects emanated from such work. The role played by each of sustainability theory [17], stakeholder theory [18], and corporate social responsibility (CSR) [19] were unpacked. Further aspects that emerged involve the role of a bespoke management information system (MIS) to utilise the power of ICTs in complex coalmining costing and decision making.
The need for an environmental strategy also emerged. In this regard, a company should continuously document and develop environmental performance indicators to address existing environmental aspects [20]. The classification of environmental costs with respect to pollution prevention and subsequent treatment should be standard procedure, and stakeholder costing should be determined. The cost of addressing the environmental damage alluded to above—specifically, restoring plant life and mitigating the effect on animal and human health—should be determined. Waste reduction ought to mitigate the environmental pollution resulting from coalmining.
Owing to the above, numerous regulatory aspects emerged. A coalmining company’s social license to operate (SLO) has to be regulated. Since this work addresses environmental aspects from management accounting perspectives, some mention of a couple of aspects are in order. The South African Institute of Directors (IOD) brought about the King reports culminating in King IV, of which the goal can be described as transparency in sound corporate governance [21]. Aspects around carbon tax took centre stage. The South African carbon tax was implemented on 1 June 2019 and is aimed at reducing emissions to meet the country’s commitments under the 2015 Paris Climate Agreement [22]. The South African Revenue Service (SARS) published draft rules for consultation in March 2019 [23].
1.4. Problem Statement
Challenges of the coalmining industry as elicited above have been researched mostly from scientific and engineering perspectives, and solutions to the said challenges have been proposed in the realm of science and engineering. These are much needed approaches in coalmining, but a treatment of accounting solutions—specifically the environmental management accounting (EMA) approach—has been neglected. In particular, a validated decision-making framework for the coalmining industry that embeds environmental management accounting aspects, including tools like material-flow cost accounting (MFCA) and life cycle costing (LCC), remains amiss.
2. Materials and Methods
In response to the above challenges, an environmental management accounting (EMA) strategy was proposed [24]. The adoption of EMA within companies is lagging, and most challenges relate to conceptual and practical challenges in assimilating environmental information and providing guidance on an effective application thereof [25]. Coupled with EMA are important tools—material flow cost accounting (MFCA) and life-cycle costing (LCC)—which address the aspects of costing indicated before. EMA can lead to improved costing [26]; hence, it is proposed that EMA ought to be used by managers as a decision-making tool for green management decisions [27]. Environmental cost information is often ‘hidden’ in overhead accounts, leading to insufficient tracking of information regarding materials use, flow, and financing. This leads to environment-related cost information often being absent in the accounting records.
There are some barriers to a smooth transition to EMA [25,28]. It has been argued that stringent government legislation may hamper EMA adoption. In most instances, certain strategic decisions can be imposed by government authorities through penalties or threats, moving companies to avoid declaring their carbon or environmental footprint [29]. Be that as it may, honest and regular communication among stakeholders and regulatory authorities remains a best practice.
Following the abridged literature review above, the researchers developed a conceptual framework to address the said challenges [16]. The framework underwent a series of iterative reviews based on sets of qualitative propositions elicited from a deeper and next-level review of the coalmining literature. In line with a qualitative research choice, the literature is synthesised through the formulation of sets of propositions—essential ideas addressing the aim of this research, which is the construction of a conceptual framework to address coalmining challenges at managerial level using EMA and its associated tools and techniques. In constructing such a framework, this work aimed to elicit the components of such a framework.
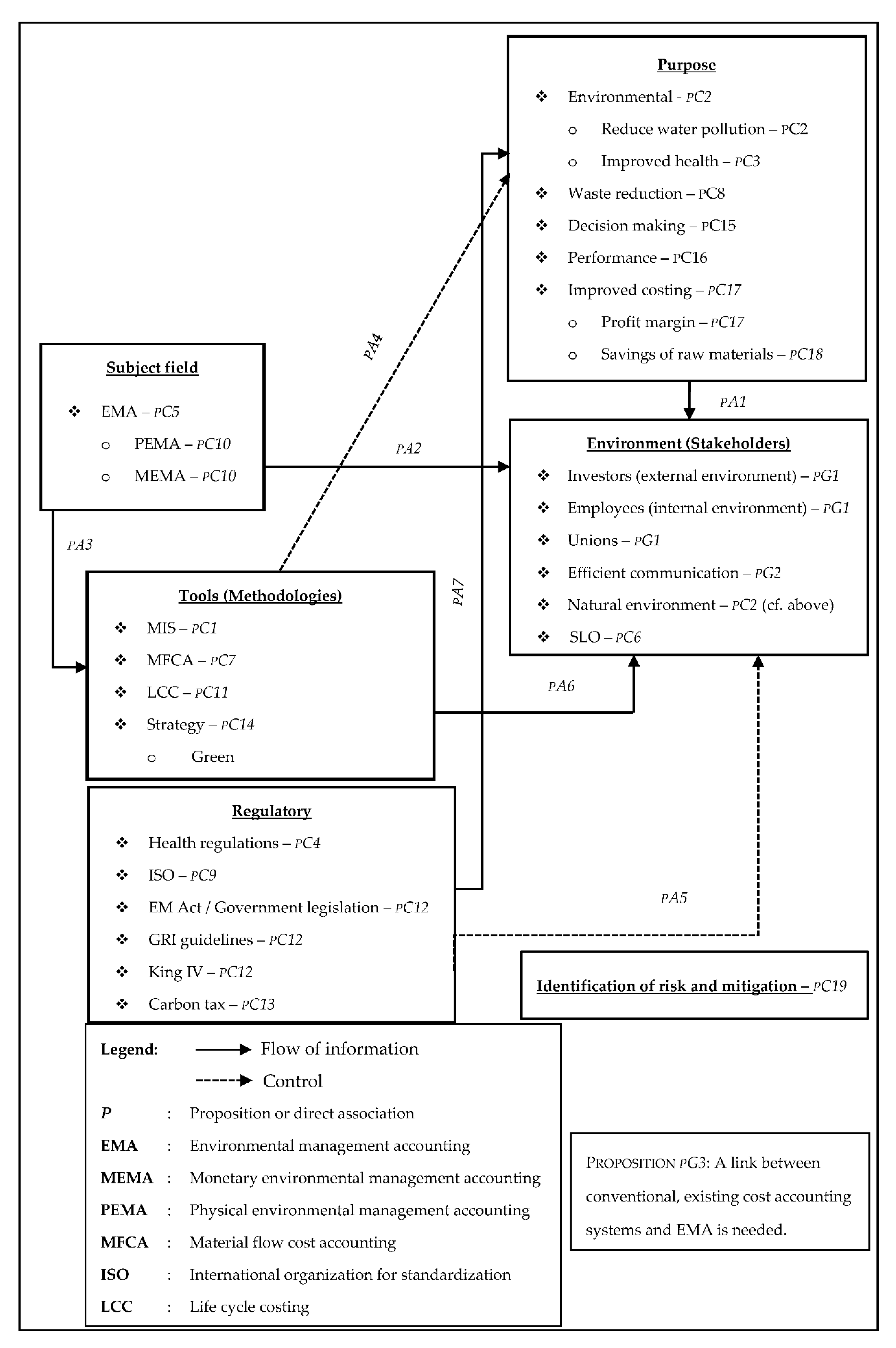
Through a comprehensive literature review, three sets of propositions were formulated and utilised to define the framework in Figure 1.
Figure 1.
Conceptual framework embedding three sets of propositions.
- General propositions represent general or overarching propositions and are labelled pG1, pG2, …, pGi.
- Content propositions indicate content or concepts identified. Content propositions are labelled pC1, pC2, …, pCj.
- Association propositions represent the associations identified between concepts. Associations are indicated by pA1, pA2, …, pAk.
From the next-level literature review, the following propositions emerged (some coinciding with earlier observations), starting with the general propositions in Table 1.
Table 1.
List of general propositions.
Table 2 indicates the content propositions that emerged from the literature.
Table 2.
List of content propositions.
Table 3 denotes the association propositions that emerged from the interplay among the entities identified.
Table 3.
List of association propositions.
Having applied the propositions in Table 1, Table 2 and Table 3, the association propositions that emerged from the interplay among the entities identified are denoted in the proposition-based framework in Figure 1.
Since the research considers the interplay between coalmining and EMA, thereby involving multiple stakeholders, it is imperative to obtain their views with respect to EMA and the coalmining environment. To this end, two surveys among coalmining practitioners were conducted: first, a set of interviews were conducted among 15 stakeholders, followed by a focus group made up of 12 participants.
The research methodology in this work follows Saunders et al.’s Research Onion [30], depicted in Figure 2. The onion’s utility lies in its adaptability for most types of research methodology and can be used in a variety of contexts, allowing for the collection of rich and reliable data [31,32].
Figure 2.
Saunders et al.’s Research Onion [30].
As per Figure 2, the research philosophy is interpretivist in nature, since the researchers interpreted the literature in terms of previous findings and also by interpreting the semantics expressed by participants in the individual interviews and those expressed in the context of the focus group. The research approach followed is a mixed inductive approach followed by a deductive phase. Initially, a conceptual framework (Figure 1) was inductively developed from the literature, followed by a validation of the framework through the interviews and a focus group, thereby adding a deductive element. The instrument in Appendix A was administered to the interviewees without showing them the conceptual framework in Figure 1. Focus group members were shown the Figure 1 framework and taken through a discussion of each of the associations in the framework.
The methodological choice was multi-method qualitative, owing to the use of a diagram (framework) and discussions with participants. The strategy used was survey-based, both with respect to the literature review and the two surveys (the interviews and focus group). Since the research was conducted within the space of 18 months, the time horizon is deemed as cross-sectional, i.e., performed within a relatively short time period. Finally, data collection was face-to-face via the interviews and the focus group.
The research obtained the necessary ethical clearance from the Graduate School of Business Leadership (SBL) at the University of South Africa under the clearance certificate 2017_SBL_DBL_011_FA.
3. Results
As indicated the survey followed a qualitative, semi-mixed research choice—a set of interviews followed by a focus group among coalmining stakeholders. The interviewees were sourced from coalmining personnel in the city of Emalahleni in the Mpumalanga province, Lephalale in the Limpopo province, and the greater Gauteng province in South Africa. Stratification was as indicated in Table 4. Each interviewee was given a participant information document that described the purpose of the interview, their rights as a participant, and the purpose of the research. Each was requested to sign an informed consent form before being interviewed. They were furthermore informed of the confidentiality of their responses as well as that they could withdraw from the interview at any point without giving any reason(s) for doing so.
Table 4.
Demographics of interviewees.
The interview guide in Appendix A was subsequently administered during each interview. The questions were designed to elicit information as to the perceived challenges in the coalmining industry, information used, environmental impacts, their knowledge (if any) of environmental management accounting (EMA) and related aspects, reasons for possible non-EMA adoption, and the processes followed in the coalmining industry.
The findings from the interviews are presented next. As is evident from the content of the instrument in Appendix A, the research was executed at an environmental management accounting level and not at a scientific or mine engineering level. In order not to influence their responses, the interviewees were not shown the conceptual framework in Figure 1.
3.1. Interviews
In the process of administering the instrument in Appendix A, data on a number of variables were collected. Table 4 shows the demographics of the participants who participated in the interview sessions.
Fifteen interviews were conducted with distribution as indicated in Table 4. The interviews were conducted and transcribed by the lead author. For each of the subsections below, the question that was posed to the interviewees (refer Appendix A) is indicated at the beginning, followed by the responses received to the question.
3.1.1. Decision-Making Information Used by the Coalmining Industry Regarding Impact on the Environment.
The question posed was, “What information is used in the coalmining industry to make decisions with regard to their impact on the environment?”
A synthesis among all the interviews in response to the question pointed to the following information:
- Environmental impact assessments (EIAs) with corresponding environmental management plans (EMPs);
- Project designs, environmental-baseline research reports, and case studies;
- Advice from coalmining consultants and shareholder views;
- Environmental legislation and regulatory requirements, amongst other;
- South-African National Environmental Management (NEMA) 1017 act of 1998, which promotes government co-operation and legislation on environmental matters.
The above findings are consistent with views expressed by Stein et al. [33] and Mathee [34]. Some respondents also mentioned aspects around measuring waste management through acid mine drainage (AMD) (see Section 3.1.2) and referred to information from non-governmental organisations (NGOs) and internal audits for risk, safety, governance, and analysis.
In support of the above, one of the respondents remarked,
“[Environmental impact assessments] EIAs including specialist studies and project designs are mostly used to make decisions. [Environmental management plans] EMPs, environmental legislation, regulatory requirements, engagement with mining consultants and research institutions, community complaints and NGOs, cost impact assessments, monitoring information and shareholder’s views to make decisions.”
3.1.2. Decision-Making Information Used by the Coalmining Industry to Identify Waste
The question posed was, “What information does the coalmining industry need to identify waste?”
Information supplied by respondents in response to this question varied much, but the following could be synthesised by the researchers:
- Definition and classification of waste in terms of the NEMA Waste Act, 59 of 2008;
- Chemical analyses, waste classification information, material characterisation, standards, and legal specifications;
- Information on contaminated soil and polluted sources;
- Information on sampling analyses, e.g., the volume of solids and liquids into and from plant materials.
The responses coincide with research by Qian et al. [35] who argued that the use of EMA was facilitated by paying attention to waste management.
Some of the responses were
“Input from [the] technical survey department, classification of waste in the coalmining industry, [and] operational waste usually applies [apply] LEAN principles and market waste, that is, what cannot be sold.”
“[Also, information needed are] Chemical analysis and classification information, coal grade classification material characterisation of all streams, standards and legal specifications, as well as sampling analysis information.”
3.1.3. Coalmining Information Used to Reduce Costs Regarding Environmental Impact
The question posed was, “What information does the coalmining industry need to minimise cost with regard to their impact on the environment?”
Some of the participants responded as follows to the question posed:
- Leading indicators and suggestive tools to proactively put corresponding measures in place to facilitate coalmining operations;
- Quantifying liabilities;
- Project designs aligned to environmental considerations;
- Legal requirements to avoid legal cases; and
- Recycling, reusing, and generating zero waste such as dry cooling beneficiation.
Owing to the information content of the corresponding instrument question, the researchers observe that some of these aspects appeared before. The above items imply the use of MFCA to capture and draw the attention of decision-makers to the costing of waste [36].
Some of the responses received were,
“Options of recycling, reusing, and generating zero waste. For instance, dry cooling beneficiation, waste is usually considered as zero cost material only when market value for waste streams is found, [it] is then that we qualify the processing cost involved, environmental variables (climate change, ecology and vegetation type).”
“Spatial data, regional planning data, improved benchmark data and new technology solutions, accurate quantification of the impact and best practice guidelines. Integrated data needed from suppliers to understand the cost drivers, mining methods, safety measures and risk management training. Operational costs in terms of changing current operations downtime, proper planning and execution from production department to environmental and technical departments.”
3.1.4. Effective Processes Employed by the Coalmining Industry to Facilitate Decisions with Respect to Environmental Impact and Cost Savings
The question posed with respect to environmental impact and cost saving was, “How successful are the existing processes employed by the coalmining industry to make decisions on (a) their environmental impact, and (b) related cost savings?”
It was clear from the responses that the participants found this question hard, consequently their responses were sparse.
That said, some of the respondents alluded to
- Uncertainty of existing measures to facilitate decisions—existing measures appear ineffective;
- Integration of environmental management with operational management;
- Continuous improvement of water liability owing to mining operations;
- Post-mine challenges regarding topsoil shortfall and liability backlog;
- Related costs ought to include full LCC but does not appear to be effective. The related costs do not always include the full LCC, e.g., long-term liabilities. This is contrary to the assertion by [36] who opined MFCA to be a tool for EMA to record waste-cost information precisely;
- Finding ways to mitigate the punitive reputational view of environmental impacts. If reputation impact exceeds revenue, adverse environmental impacts ought to be addressed.
Many of the responses agree with Kim [37], who concludes that addressing environmental impacts while at the same time saving on cost is hard. The criticism of LCC being ineffective disagrees with Fakoya and Van der Poll [36], who opined that LCC and MFCA are effective tools for EMA.
The sentiments are captured aptly by the following responses:
“Water liability remains a challenge for long-term processes. Therefore, continuous improvement must be developed to raise environmental performance over time. Environmental impacts take a punitive reputational frame; if reputation impact is greater than revenue, then it is worth mitigating the environment.”
“Proper budgeting and procurement procedures should be in place. Topsoil shortfall and liability backlog is still an issue and it will affect the mine post-closure. Current processes are not very effective but can become environmentally sustainable if [coalmining companies] develop and integrate practice[s] that can reduce the environmental footprint (impacts) and costs.”
“I have no facts and figures about this, no answer.”
3.1.5. Determine Familiarity with EMA
Interviewees were also probed with respect to their familiarity (or otherwise) with EMA. Specifically, the question posed was, “To what extent are you familiar with environmental management accounting (EMA)? If familiar, what are the benefits of EMA for the coalmining industry?”
Of the 15 interviewees, 73% indicated they are unfamiliar with EMA. The rest, 27% indicated a familiarity with EMA. This finding agrees with Burritt [38], who observed a relative unfamiliarity with EMA in 2005. The situation seems to prevail in recent times. That said, a recent call was made by Saeidi and Sofian [39] for managers to familiarise themselves with the advantages of EMA.
Two respondents said,
“EMA is a new concept, and I am not familiar with it.”
“Not familiar with EMA, but I assume that it relates to valuing the ecosystem.”
The researchers concur that more familiarity with EMA in the coalmining industry is warranted.
As indicated in Appendix A, a sub question enquires about the advantages of EMA. Naturally, should a respondent be unfamiliar with EMA, no answer was offered. Respondents who were familiar with EMA presented positive information, viz:
- Improved knowledge of the trade-offs between economic development and environmental impacts;
- Improved decision-making abilities, and hence being proactive with respect to managerial decisions;
- Improved cost–benefit analysis;
- Protection of the environment from pollution;
- Minimising waste, thereby improving on the LCC profile;
- Harmonization of production and environmental management activities;
- Identification of resources, activities and financial impacts of mining operations.
One of the supporters of EMA concluded,
“Some of the key benefits of [EMA for] the coalmining industry include better decision-making, protection of the environment from pollution, enables coalmining companies to minimise waste which impacts on the environment, improves life cycle costing.”
The above findings concur with Bracci and Maran [40] as far as a proactive management style is concerned. Even though 73% of the interviewees were unfamiliar with EMA, those who were knowledgeable about it gave valuable information (refer to the above bulleted list). It indicates to the researchers that EMA awareness campaigns are much needed.
3.1.6. Reasons for Possible Non-Implementation of EMA by the Coalmining Industry
The question posed was, “What are the reasons for possible non-implementation of EMA principles and associated environmental management accounting tools by the coalmining industry?”
Responses to this question were,
- Excessive costs may be incurred through continuous environmental rehabilitation—re-evaluating associated costs and environmental penalties;
- There are insufficient funds for land rehabilitation and related liabilities;
- There are challenges associated with implementing EMA and the costing thereof;
- Coalmining focus is on production (and larger profit) and not on environmental impacts;
- It is not (yet) legally required to adopt EMA at an operational level in the coalmining industry but voluntary;
- Governance frameworks are at an infancy with respect to ISO standards, specifically the monitoring and reporting of standards;
- There is a lack of
- ◦
- awareness, knowledge, and understanding of EMA;
- ◦
- enforcement by authorities; and
- ◦
- effective environmental strategies.
Two of the interviewees reported,
“My assumption is that there are existing perceptions and there are high costs related to implementing EMA which affect the bottom line.”
“The ultimate focus is on production and not on the environmental impacts. This is mostly evident especially in the small coalmining companies that are not public listed companies or not listed on the JSE [Johannesburg Stock Exchange].”
The above discussions disagree with Jasch [41], who demonstrated that EMA may be implemented in a day. That said, the above coincide with Kamruzzaman [42] arguing that companies focus more often on generating profit than mitigating their environmental impacts.
3.1.7. Coalmining Processes to Follow to Mitigate Environmental Impact and Save Costs
The last question posed to each interviewee was, “Which processes ought to be followed by the coalmining industry to make decisions on (a) their environmental impact, and (b) related cost savings?”
Responses to this question coincided with previous answers. Some additional responses are
- Embark on more detailed reviews and continuous provision of mitigation plans from planning to inception;
- Identify risks and environmental hazards;
- Adopt existing legislative instruments like EIAs, EMPs, and NEMA ought to be enforced;
- Consult with environmental personnel in decision-making processes;
- Improve on metallurgical and power station processes;
- Determine the impact on communities;
- Reduce CO2 emissions;
- Implement MFCA and DEA processes.
One of the participants responded,
“The integration of environmental requirements from planning to inception of the coalmining project; implementation of sustainable mining operations and sustainability evaluations; and ongoing environmental monitoring, and proper consultation with environmental personnel in decision-making processes.”
The above findings agree with the views of Garzella and Fiorentino [27] as well as Bagur-Femenías [43] that an EMA investment necessitates substantial financial seed funding. Note how this disagrees with Jasch [41], who claims EMA may be implemented in a day. It was also noted that EMA adoption is often due to a management, or shareholder directive. In this case the use of EMA could be embedded in company policies and operational business plans [44].
Schaltegger et al. [45] and Burritt [46] argued that environmental accounting systems measure quantities in physical units and provide processes to regulators for managing compliance. Such accounting processes are essential for the calculation of green taxes such as CO2 or volatile organic compounds (VOC) discharge tax, thereby having an influence on the regulatory aspects previously addressed.
With respect to the cost saving aspect, many respondents noted the use of modern ICTs to assist with estimates. This coincides with the researchers’ recognition of a bespoke MIS (see Section 1). A call was also made to promote drive patriotism and to avoid tick-box exercises. The above was neatly captured by one of the respondents:
“A dedicated environmental budget, provisions required for post mine-closure activities, proper procurement procedures and processes including financial modelling of projects. Moving away from tick-box excuses, think alternative industries, value water quality analysis, and drive patriotism.”
The above concludes the discussion of the first phase of the survey, namely the interviews with individuals. Having conducted the interviews, a large part of the conceptual framework in Figure 1 has been validated, but numerous additional aspects came to the fore, thereby augmenting the attributes of the entities (the boxes) in the framework.
The enhanced entities are shown in Table 5. A comparison with the proposition-based framework in Figure 1 reveals numerous new items. Also, the risk aspect previously sparse on information has been populated through the interviews.
Table 5.
Enhanced entities from interviews.
The researchers note that while there are certain elements in Table 5 that could be deemed more important than others, depending on the stakeholder using the framework, the items have not been assigned weights. The current research adheres to a qualitative research choice in which items are not (necessarily) quantified. That said, quantification may be possible, specifically as future work in this area (refer Section 5).
Next, the focus group session aimed at validating the associations among the entities in the Figure 1 framework is discussed.
3.2. Focus Group
The focus group comprised 12 participants from seven coalmining companies. These participants attended a series of three seminars, organised by the South African Coaltech company (https://coaltech.co.za) together with the lead researcher. The focus group was conducted at the grounds of the South African Council for Scientific and Industrial Research (CSIR) in Pretoria, Tshwane metropolitan. The demographics are indicated in Table 6.
Table 6.
Demographics for focus group.
Next, a discussion around validating the associations (pA1 to pA7) in the framework, together with a new association, pA8, that emerged from the focus group is presented.
3.2.1. Association pA1—Purpose Serving Environment (Stakeholders)
The first association evaluated was pA1: The underlying question posed was to what extent will reduced water pollution and improved health and costing and sound decision making benefit investors, coalmining employees, and the natural environment?
Participants P1, P3, P6, P7, P10, and P12 responded positively. P7 enquired whether the lead author needed any further responses upon which it was decided the response from the group was sufficient. There were no disagreements among the group with respect to pA1.
Conclusion: The purpose as indicated would, therefore, serve the interests of the environment (stakeholders). Consequently, the validity of the said association was accepted.
3.2.2. Association pA2—Subject Field Useful for Environment (Stakeholders)
Association pA2 was considered next—namely, to what extent will EMA (including PEMA and MEMA) add value to the aspects indicated for the environment (stakeholders)? Of specific importance was to consider the scenario where a coalmining accounting department or executive management might not have the environmental management information for decision-making purposes.
Participants P2, P3, P5, and P6 agreed that the two branches of EMA (PEMA and MEMA) would add value to the coalmining environment (stakeholders), specifically in providing executive management with correct decision-making information. None of the other participants offered any objection to this viewpoint.
Conclusion: A correct EMA implementation with specialisations PEMA and MEMA ought to facilitate the interplay between stakeholders and the surrounding environment. Association pA2 is, therefore, assumed to be intact.
3.2.3. Association pA3—Subject Field Affecting Tools (Methodologies)
Association pA3 was subjected to: Do the PEMA and MEMA divisions of EMA add value to aspects such as MFCA, LCC, and the green strategy?
Participants P2, P3, and P12 agreed that the two branches of EMA would add value to the EMA tools such as ISO, LCC, and a green strategy. No objections were posed by any of the other participants. However, further discussions elicited a reverse influence from tools (methodologies) to subject field, i.e., these is a two-way interaction between these two entities. Consequently, association pA3 holds but should be adjusted accordingly.
Conclusion: Subject field indicators in the framework will provide valuable information for tools and methodologies and vice versa.
3.2.4. Association pA4—Tools (Methodologies) Affecting Purpose
Association pA4 considered the extent to which the tools (methodologies) indicted will serve the purpose of reducing water pollution, lead to improved heath, improved costing in terms of savings, higher profit margin, and better decision making.
It should be noted that a dotted line connects tools (methodologies) and purpose in the framework. As indicated in the legend to the framework, this indicates a control that is exercised in the respective direction. This aspect was pointed out to the group before discussions commenced.
Participants P6 and P1 disagreed with association pA4 and indicated that, in general (all industries, not only the coalmining industry), EMA would not serve the purpose of the entity as indicated. This was an unexpected response. However, on probing further, it turned out the coalmining industry may well benefit from the above, but so long as other industries that also compromise the environment do not come on board, the problem will prevail. The responses of the two participants, therefore, had to be interpreted in context: although the framework is customised for the coalmining industry, it ought to be applicable to other industries. The researchers agree with P1 and P6 that the framework should also apply to other industries that could pollute the environment. Consequently, association pA4 is accepted.
Conclusion: From the findings of the focus group, tools (methodologies) will serve the purpose as indicated in the framework.
3.2.5. Association pA5—Regulatory Aspects Determining Environment (Stakeholders)
Association pA5 evaluated the claim that regulation exercises control over environmental aspects including stakeholders in the coalmining industry. Such regulations are intended to benefit the industry and not hamper operations.
Participant P7 stated that a sensible application of regulatory guidelines would benefit the environment but not necessarily the investors. P3 proposed that there should be a provision for the decision-making framework in that the regulations should be applicable to all industries or sectors and not only the coalmining industry (see Section 3.2.4). P10 indicated that in principle, guidelines are fine, yet the South African government tends to turn guidelines into law, and coal mines are penalised for transgressions of the said guidelines, which is not correct, as guidelines are supposed to advise and guide coalmining companies in conducting their business. Therefore, guidelines should not be interpreted as hard-and-fast laws. There was consensus in the group about these aspects.
Conclusion: From the discussions amongst group members, there was consensus that regulatory aspects can go a long way in controlling adverse effects on the environment, so long as these would be applied to all industries and not only the coalmining industry. Association pA5 was, therefore, accepted.
3.2.6. Association pA6—Tools (Methodologies) May Affect the Environment (Stakeholders)
Association pA6 addresses the effect of tools (methodologies) on the environment (stakeholders), with respect to the aspects addressed before. Of specific importance is striving for being green by the coalmining industry.
Participants P1, P5, P6, P10, and P12 agreed that the EMA tools such as ISO, LCC, and a green strategy would add value to saving and improving the environment (stakeholders). The remaining participants offered no objection. It is anticipated that this consensus can assist the coalmining companies to achieve profit while simultaneously saving the environment. Consequently, association pA6 is assumed to hold.
Conclusion: From the findings of the focus group, the tools (methodologies) as indicated in the framework will add value to stakeholders and facilitate saving the environment.
3.2.7. Association pA7—Regulatory Influences Purpose
Association pA7 was next evaluated by the focus group. The association indicates that the flow of regulatory information would assist the purpose with respect to reducing water pollution and adverse environmental impacts, improve costing, and enhance decision making.
Participant P7 agreed that the flow of regulatory information would facilitate the purpose as indicated. P6, however, was hesitant in the sense that the regulatory information would certainly be applicable to the coalmining industry, but regulatory initiatives would remain challenging if other industries continue to pollute and compromise the environment, as these industries may not be equally and strictly regulated and monitored.
The group agreed that the SA coalmining industry is well regulated and spends funds in addressing environmental damages, yet it seems to be the only industry that is being penalised for environmental pollution. Although it is a good initiative to allocate funds for environmental purposes, the municipalities are not penalised for polluting the environment, and therefore, there is inconsistency in the application of regulations. Therefore, you “… cannot spend money in one area and expect that it will address environmental pollution in other areas and sectors”. The following case was presented: Polluted water from Emalahleni’s municipal sewage plant flows into the farms and coalmining area, and little or nothing is being done by law enforcement to prevent it. It appears, therefore, that the focus is on penalising the coalmining industry while other industries “do as they wish”. Consequently, there are inconsistencies in the application and enforcement of regulatory legislation as per the focus group.
Conclusion: Responses of the focus group indicate that regulatory guidelines ought to serve the purpose of the coalmining industry in feeding regulatory information into the purpose statement(s) of the industry. Association pA7 is, therefore, accepted.
Next, a new association, pA8, is considered. It is not present in the Figure 1 framework but elicited by the researchers following the interviews described in Section 3.1.
3.2.8. Association pA8—Regulatory and Risk Aspects
The new association pA8 establishes regulations as mitigating risks in the coalmining industry.
Participant P6 agreed that the regulations and policies would assist in the identification of risk and mitigation in the coalmining industry. However, as previously indicated, regulations ought to be consistently enforced on all industries in South Africa and not only to the coalmining industry, as is currently the case (opinion of the group). P6 also indicated that the coalmining industry is being strictly monitored and audited yet invests large amounts of money on environmental aspects, and these benefits are readily evident, so regulations should be applied to all industries. The researchers note that, should coalmining companies fail to detect the necessary risks, their risk management plans will not be effective. This may link to the aspect of project plans noted in the interview findings.
Conclusion: Regulations may go a long way in assisting the coalmining industry in identifying, mitigating or even avoiding risks altogether in their day-to-day operations.
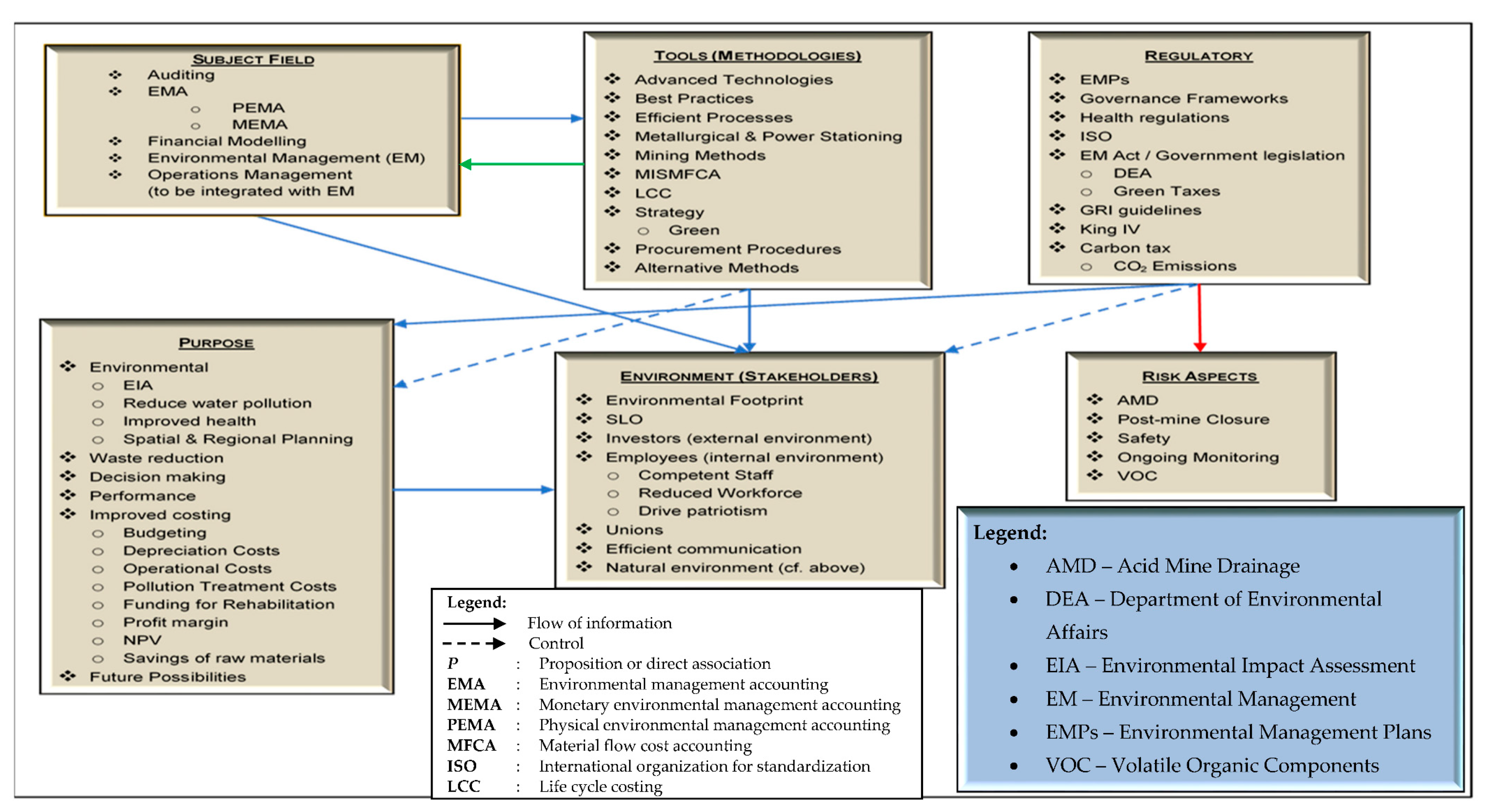
From the updated entity content in Table 5, resulting from the interviews, and having established the associations through the focus group session, together with the new association pA8, the final decision-making framework for mitigating environmental impacts and facilitating cost savings in the coalmining industry is given in Figure 3.
Figure 3.
Final decision-making framework for South African coalmining companies.
4. Discussion
Numerous components with their respective associations were already addressed in the conceptual decision-making framework [16] as captured in Figure 1, yet many new aspects emerged as findings from the interviews presented in Table 5. This gives clear evidence as to the value of the interviews. Stratified sampling was performed for the interview set—supervisory or operational level at 46%, senior managerial level at 31%, and CEOs at 23%, as depicted in Table 4. A good mix among the executive levels of the coalmining industry was therefore obtained. Similarly, for the focus group, the data sets in Table 6 report a comparable mix among coalmining executives. No fewer than seven coalmining companies were represented by the 12-member focus group. The conceptual framework was comprehensively enhanced as is evident in the final framework in Figure 3, eliciting a number of important aspects for decision makers in the coalmining industry.
A finer analysis of the framework in terms of the content of the entities identified follows.
4.1. Subject and Purpose
The use of financial modelling and environmental management accounting (EMA), including variants like monetary environmental management accounting (MEMA) and physical environmental management accounting (PEMA), together with associated tools of material flow cost accounting (MFCA) and life-cycle costing (LCC), should be promoted. These have the potential to model and monitor coalmining operations at the accounting level. Few of the interviewees or focus group members were aware of these important concepts to address environmental aspects and facilitate cost savings in the coalmining or other industries, as transpired in the focus group. Together with these accounting techniques, aspects of best practices, alternative (non-traditional) methods, and bespoke MIS implementations (all aimed at a greener coalmining industry) should be considered.
4.2. Environmental and Stakeholder Aspects
The impact of coalmining on the environment and animal and human health deserves serious consideration. Of particular importance is the effect on underground water sources. While a comprehensive treatment of this problem should principally be addressed through scientific and engineering solutions, the environmental management accounting aspect should be considered in tandem. Cost savings is a further important consideration; these are embedded in the framework and would further be emphasised through the EMA-MEMA-PEMA tandem. The value of role players like coalmining staff and unions should clearly be acknowledged. Documentation and mandates of coalmining like a social licence to operate (SLO) should be standing items on the agendas of coalmining companies.
4.3. Regulations
Of particular importance is the adherence to (as with all industries) regulatory requirements. That said, legislation guidelines appear to be a concern for those surveyed. They often consider these guidelines to be punitive instead of an aid in finding a balance between a company’s profit margin and maintaining the environment. Apart from the essence of coalmining—namely, to operate the industry—regulatory aspects are arguably the most important governing mechanism of any industry impacting the economy, lives, and the environment. Coalmining ought to take note of a number of important legalities; amongst others these include health regulations, King IV, GRI guidelines, and carbon tax regulations.
4.4. Risk Management
The risk aspect not fully appreciated in the original framework has obtained prominence in the enhanced framework. Risk management goes hand in hand with a sound decision-making skill set also embedded in the final framework. Naturally, safety of all staff is non-negotiable, and environmental risks of AMD, VOC, and general pollution should be carefully monitored.
5. Conclusions
This research originated from observing coalmining challenges with respect to environmental challenges and effects on human and animal health. Previous work in this area by the researchers developed the conceptual framework depicted in Figure 1, on the strength of a comprehensive literature review and three sets of propositions. This work further considered some scientific and engineering challenges associated with the coalmining industry and reported on two sets of surveys—interviews and a focus group—aimed at validating the content of the framework entities as well as the associations among these. The conceptual framework already contained many of the important concepts, yet the content of the entities were vastly enhanced through the interviews, as is evident in Table 5. The focus group confirmed the associations among the entities and resulted in no further additions to the framework.
Since the survey was conducted among the coalmining practitioners in South Africa against the backdrop of a developing economy, the researchers cannot claim any applicability on a global scale, nor that it would hold in its entirety in a developed economy. Some of the concepts, e.g., King IV, are South-African based, and their counterparts in other economies have not been considered. That said, much of the original framework stems from international research works.
Through this research, the value of green industrialisation through EMA was illustrated, and while the final framework is aimed at assisting coalmining professionals in the environmental management accounting divisions, it is hoped that this work would also be of value to the scientific and engineering divisions of the industry. It is furthermore anticipated that more coalmining executives with decision-making powers would embark on the use of EMA in their companies.
Future work in this area may be pursued along a number of avenues: The measuring of (amongst others) waste was identified as an important activity. Consequently, follow-up surveys involving a quantitative research choice (see layer 3 in Figure 2) should be undertaken to further determine the value of the final framework in Figure 3. Case studies in the South African coalmining industry should also be undertaken to further enhance the framework and determine the industrial scalability thereof.
This research was conducted at an environmental management accounting level; consequently, components of the framework abstracted away from the scientific and engineering technicalities (for example, the differences between underground mining of coal and open-pit coalmining). As indicated in Section 1, both methods have their unique challenges and associated dangers for human life and effect on the environment. The research reported on in this article, therefore, considered coalmining challenges in a generic sense. That said, follow-up work could survey specific environmental management accounting differences between these two mining techniques as well as challenges resulting from the different uses of coal.
The framework in Figure 3 is static in nature and does not embed a temporal component that shows how the coalmining industry should proceed over time with clear milestones and so forth. A next evolution of the framework could, therefore, be the development of a dynamic component that addresses supply chain aspects of the framework.
6. Patents
There are no patents associated with this research.
Author Contributions
The contributions to the final paper submitted for review by the respective authors are: Conceptualization—M.D.M., H.M.v.d.P., and J.A.v.d.P.; Methodology—M.D.M., H.M.v.d.P., and J.A.v.d.P.; Validation—M.D.M., H.M.v.d.P., and J.A.v.d.P.; Formal analysis—M.D.M., H.M.v.d.P., and J.A.v.d.P.; Investigation—M.D.M. (chief survey investigator), H.M.v.d.P., and J.A.v.d.P.; Resources—M.D.M. and H.M.v.d.P.; Data curation—M.D.M.; Writing, original draft preparation—H.M.v.d.P., J.A.v.d.P., and M.D.M.; Writing, review and editing—J.A.v.d.P., H.M.v.d.P., and M.D.M.; Supervision—H.M.v.d.P. and J.A.v.d.P.; Project administration—M.D.M. and H.M.v.d.P.; Funding acquisition—H.M.v.d.P. and M.D.M. All authors have read and agreed to the published version of the manuscript.
Funding
This research was funded by the University of South Africa (Unisa) under the category Masters and Doctoral Bursaries.
Conflicts of Interest
The authors declare no conflict of interest.
Appendix A.—Interview Guide
| Participant Demographics |
| Name and surname (optional) |
| Gender |
| Current Position |
| Working experience (in years and months) |
| Place |
| Date |
| Time |
- (1)
- What information is used in the coalmining industry to make decisions with regard to their impact on the environment?
- (2)
- What information does the coalmining industry need to identify waste?
- (3)
- What information does the coalmining industry need to minimise cost with regard to their impact on the environment?
- (4)
- How successful are the existing processes employed by the coalmining industry to make decisions on:
- their environmental impact, and
- related cost savings?
- (5)
- To what extent are you familiar with environmental management accounting (EMA)?
- If familiar, what are the benefits of EMA for the coalmining industry?
- (6)
- What are the reasons for possible non-implementation of EMA principles and associated environmental management accounting tools by the coalmining industry?
- (7)
- Which processes ought to be followed by the coalmining industry to make decisions on:
- their environmental impact, and
- related cost savings?
References
- McCarthy, T.S.; Pretorius, K. Coal mining on the Highveld and its implications for future water quality in the Vaal river system. In Proceedings of the International Mine Water Conference, Pretoria, South Africa, 19–23 October 2009; pp. 56–65. [Google Scholar]
- Bordy, E.; Hancox, P.; Rubidge, B. Basin development during the deposition of the Elliot Formation (Late Triassic—Early Jurassic), Karoo Supergroup, South Africa. S. Afr. J. Geol. 2004, 107, 397–412. [Google Scholar] [CrossRef]
- Anhausser, C.R.; Maske, S. Mineral Deposits of Southern Africa; Geological Society of South Africa: Johannesburg, South Africa, 1986; Volume 1, p. 2. [Google Scholar]
- Mathu, K.; Chinomona, R. South African Coal Mining Industry: Socio-Economic Attributes. Mediterr. J. Soc. Sci. 2013, 4, 347. [Google Scholar] [CrossRef]
- Eberhard, A. Program on Energy and Sustainable Development. The Future of South African coal: Market, Investment, and Policy Challenges. 2011. Available online: https://fsi-live.s3.us-west-1.amazonaws.com/s3fs-public/WP_100_Eberhard_Future_of_South_African_Coal.pdf (accessed on 15 July 2020).
- Van Der Merwe, J. Effects of coal mining on surface topography in South Africa—Updates and extensions. J. S. Afr. Inst. Min. Metall. 2018, 118, 777–786. [Google Scholar] [CrossRef]
- Masindi, V.; Chatzisymeon, E.; Kortidis, I.; Foteinis, S. Assessing the sustainability of acid mine drainage (AMD) treatment in South Africa. Sci. Total. Environ. 2018, 635, 793–802. [Google Scholar] [CrossRef]
- Oggeri, C.; Fenoglio, T.M.; Godio, A.; Vinai, R. Overburden management in open pits: Options and limits in large limestone quarries. Int. J. Min. Sci. Technol. 2019, 29, 217–228. [Google Scholar] [CrossRef]
- Xiao, X.; Zhang, J.; Wang, H.; Han, X.; Ma, J.; Ma, Y.; Luan, H. Distribution and health risk assessment of potentially toxic elements in soils around coal industrial areas: A global meta-analysis. Sci. Total. Environ. 2020, 713, 135292. [Google Scholar] [CrossRef]
- Hirschi, J.C.; Chugh, Y.P. Sustainable coal waste disposal practices. Adv. Product. Safe Responsible Coal Min. 2019, 245–269. [Google Scholar] [CrossRef]
- Powell, A. So. Africa: Greenpeace Study Claims Coal Mining Area Has the Worst Air Quality in the World—”World’s Worst Air Is in S. African Coal Community, Business and Human Rights Resource Centre. 2019. Available online: https://www.business-humanrights.org/en/latest-news/so-africa-greenpeace-study-claims-coal-mining-area-has-the-worst-air-quality-in-the-world/ (accessed on 28 August 2020).
- Babich, A.; Senk, D. Coal Use in Iron and Steel Metallurgy. In The Coal Handbook: Towards Cleaner Production; Elsevier: Amsterdam, The Netherlands, 2013; Volume 2, pp. 267–311. [Google Scholar]
- Murray, A.; Price, L. Use of Alternative Fuels in Cement Manufacture: Analysis of Fuel Characteristics and Feasibility for Use in the Chinese Cement Sector, Lawrence Berkeley National Laboratory. 2008. Available online: https://escholarship.org/uc/item/8sf9s522 (accessed on 28 August 2020).
- Vermeulen, D.; Usher, B. Operation and monitoring guidelines and the development of a screening tool for irrigating with coal mine water in Mpumalanga Province, South Africa. Water SA 2009, 35, 379–386. [Google Scholar] [CrossRef]
- Skousen, J.; Zipper, C.E.; McDonald, L.M.; Hubbart, J.A.; Ziemkiewicz, P.F. Sustainable reclamation and water management practices. Adv. Product. Safe Responsible Coal Min. 2019, 271–302. [Google Scholar] [CrossRef]
- Mbedzi, M.D.; Van Der Poll, H.; Van Der Poll, J.A. An Information Framework for Facilitating Cost Saving of Environmental Impacts in the Coal Mining Industry in South Africa. Sustainability 2018, 10, 1690. [Google Scholar] [CrossRef]
- Purvis, B.; Mao, Y.; Robinson, D. Three pillars of sustainability: In search of conceptual origins. Sustain. Sci. 2018, 14, 681–695. [Google Scholar] [CrossRef]
- Chen, J.C.; Roberts, R.W. Toward a More Coherent Understanding of the Organization–Society Relationship: A Theoretical Consideration for Social and Environmental Accounting Research. J. Bus. Ethic 2010, 97, 651–665. [Google Scholar] [CrossRef]
- Freeman, R.E.; Reed, D.L. Stockholders and Stakeholders: A New Perspective on Corporate Governance. Calif. Manag. Rev. 1983, 25, 88–106. [Google Scholar] [CrossRef]
- Rodrigue, M.; Magnan, M.; Boulianne, E. Stakeholders’ influence on environmental strategy and performance indicators: A managerial perspective. Manag. Account. Res. 2013, 24, 301–316. [Google Scholar] [CrossRef]
- Institute of Directors South Africa (IoD). King Code of Governance. 2016. Available online: http://www.iodsa.co.za/?page=KingIV (accessed on 13 July 2020).
- United Nations Climate Change, The Paris Agreement. 2018. Available online: https://unfccc.int/process-and-meetings/the-paris-agreement/the-paris-agreement (accessed on 1 August 2019).
- National Treasury. South Africa, Carbon Tax Bill. 2019. Available online: http://www.treasury.gov.za/comm_media/press/2018/2018112101%20Explanatory%20Memorandum%20to%20the%202018%20Carbon%20Tax%20Bill%20-%2020%20Nov%202018.pdf (accessed on 21 December 2018).
- Ntalamia, W.L. Factors influencing adoption of Environmental Management Accounting (EMA) practices among manufacturing firms in Nairobi, Kenya. J. Fin. 2017, 5, 1–16. [Google Scholar]
- Derchi, G.B.; Burkert, M.; Oyon, D. Environmental management accounting systems: A review of the evidence and propositions for future research. Stud. Manag. Financ. Account. 2013, 26, 197–229. [Google Scholar] [CrossRef]
- Lee, K.-H. Motivations, barriers, and incentives for adopting environmental management (cost) accounting and related guidelines: A study of the republic of Korea. Corp. Soc. Responsib. Environ. Manag. 2011, 18, 39–49. [Google Scholar] [CrossRef]
- Garzella, S.; Fiorentino, R. An integrated framework to support the process of green management adoption. Bus. Process. Manag. J. 2014, 20, 68–89. [Google Scholar] [CrossRef]
- Setthasakko, W. Barriers to the development of environmental management accounting. EuroMed J. Bus. 2010, 5, 315–331. [Google Scholar] [CrossRef]
- Zhang, B.; Bi, J.; Liu, B. Drivers and barriers to engage enterprises in environmental management initiatives in Suzhou Industrial Park, China. Front. Environ. Sci. Eng. China 2009, 3, 210–220. [Google Scholar] [CrossRef]
- Saunders, M.; Lewis, P.; Thornhill, A. Research Methods for Business Students, 7th ed.; Pearson Education Limited: Essex, UK, 2016. [Google Scholar]
- Bryman, A. Social Research Methods; Oxford University Press: Oxford, UK, 2016. [Google Scholar]
- Bryman, A.; Bell, E. Business Research Methods, 3rd ed.; Oxford University Press: Oxford, UK, 2011. [Google Scholar]
- Stein, R.; Levetan, S.; Christie, L.; Frittelli, L.; Nathan, E. Ensuring Compliance with the Water Pollution Control Laws. 2010. Available online: www.practicallaw.com/8-422-442 (accessed on 22 September 2015).
- Mathee, A. Environment and health in South Africa: Gains, losses, and opportunities. J. Public Heal. Policy 2011, 32, S37–S43. [Google Scholar] [CrossRef] [PubMed]
- Qian, W.; Burritt, R.; Monroe, G. Environmental management accounting in local government. Account. Audit. Account. J. 2011, 24, 93–128. [Google Scholar] [CrossRef]
- Fakoya, M.B.; Van Der Poll, H. Integrating ERP and MFCA systems for improved waste-reduction decisions in a brewery in South Africa. J. Clean. Prod. 2013, 40, 136–140. [Google Scholar] [CrossRef]
- Kim, J.-D. A Guideline for the Measurement and Reporting of Environmental Costs. In Eco-Efficiency in Industry and Science; Springer Science and Business Media LLC: Berlin, Germany, 2005; Volume 9, pp. 51–65. [Google Scholar]
- Burritt, R.L. Challenges for Environmental Management Accounting. In Implementing Environmental Management Accounting: Status and Challenges; Rikhardson, P.M., Bennet, M., Bouma, J.J., Schaltegger, S., Eds.; Springer: Amsterdam, The Netherlands, 2005; pp. 1–374. [Google Scholar]
- Saeidi, S.P.; Sofian, S. A proposed model of the relationship between Environmental Management Accounting and firm performance. Int. J. Inf. Process. Manag. 2014, 5, 30–41. [Google Scholar]
- Bracci, E.; Maran, L. Environmental management and regulation: Pitfalls of environmental accounting? Manag. Environ. Qual. Int. J. 2013, 24, 538–554. [Google Scholar] [CrossRef]
- Jasch, C. How to perform an environmental management cost assessment in one day. J. Clean. Prod. 2006, 14, 1194–1213. [Google Scholar] [CrossRef]
- Kamruzzaman, M. Framework of Environmental Management Accounting: An Overview. SSRN Electron. J. 2012. [Google Scholar] [CrossRef]
- Bagur-Femenías, L.; Llach, J.; Alonso-Almeida, M.D.M. Is the adoption of environmental practices a strategical decision for small service companies? Manag. Decis. 2013, 51, 41–62. [Google Scholar] [CrossRef]
- Ramakrishnan, P.; Haron, H.; Goh, Y.-N. Factors Influencing Green Purchasing Adoption for Small and Medium Enterprises (SMEs) in Malaysia. Int. J. Bus. Soc. 2017, 16, 39–56. [Google Scholar] [CrossRef]
- Schaltegger, S.; Hahn, T.; Burritt, R.L. Environmental Management Accounting—Overview and Main Approaches; Centre for Sustainability Management: Lueneburg, Germany, 2000; pp. 1–24. [Google Scholar]
- Burritt, R.L. Environmental management accounting: Roadblocks on the way to the green and pleasant land. Bus. Strat. Environ. 2004, 13, 13–32. [Google Scholar] [CrossRef]
© 2020 by the authors. Licensee MDPI, Basel, Switzerland. This article is an open access article distributed under the terms and conditions of the Creative Commons Attribution (CC BY) license (http://creativecommons.org/licenses/by/4.0/).


