Numerical Studies on the Performance of the PCM Mesh-Finned Heat Sink Base on Thermal-Flow Multiphysics Coupling Simulation
Abstract
1. Introduction
2. The Simulation and Thermal Network Model
2.1. PCM Type Selection
2.2. The Simulated Geometric Model
- (1)
- Since the density of metal changes slightly with the temperature, the density of solid and liquid PCM is regarded as constant. Only the equivalent density of the PCM with the changing temperature during the phase transition process is calculated.
- (2)
- The thyristor is replaced by the copper block and the heat can be calculated using the following Equation:where Ploss is the power loss of thyristor; V is the volume of the copper block.
- (3)
- Since the thermal-flow coupling simulation based on the 3D model is too complicated, the whole heat sink is replaced by a cell of the mesh-finned heat sink when the effect of the molten material flowing is taken into consideration.
- (4)
- The switching loss of thyristor is ignored. Only the conduction loss of thyristor is calculated.
2.3. The Equivalent Convection Heat Transfer Coefficient
2.4. Thermal Network Parameters of the Heat Sink
3. Control Equations
3.1. Control Equations
3.2. The Power Loss of Thyristor
3.3. The Boundary Conditions and Grid Division of Simulation
- (1)
- For solid and liquid heat transfer boundary conditions, the solid and liquid heat transfer physics are used in all fields. The air boundary is set at a constant temperature of 30 °C.
- (2)
- Airflow heat transfer can be simplified by using the convective heat flux. The convective heat flux can be expressed as:where q is heat flux; h is the heat transfer coefficient; Text is the external temperature; and, T is the temperature of the air.
- (3)
- For fluid field boundary conditions, fluid field physics is used in the field of PCM. In this case, “open boundary” is connected to the boundary of the PCM. The assuming Equation can be expressed as:where p is the pressure of the surface; n is a unit direction vector of the boundary; f0 is the normal stress.
4. Results and Discussion
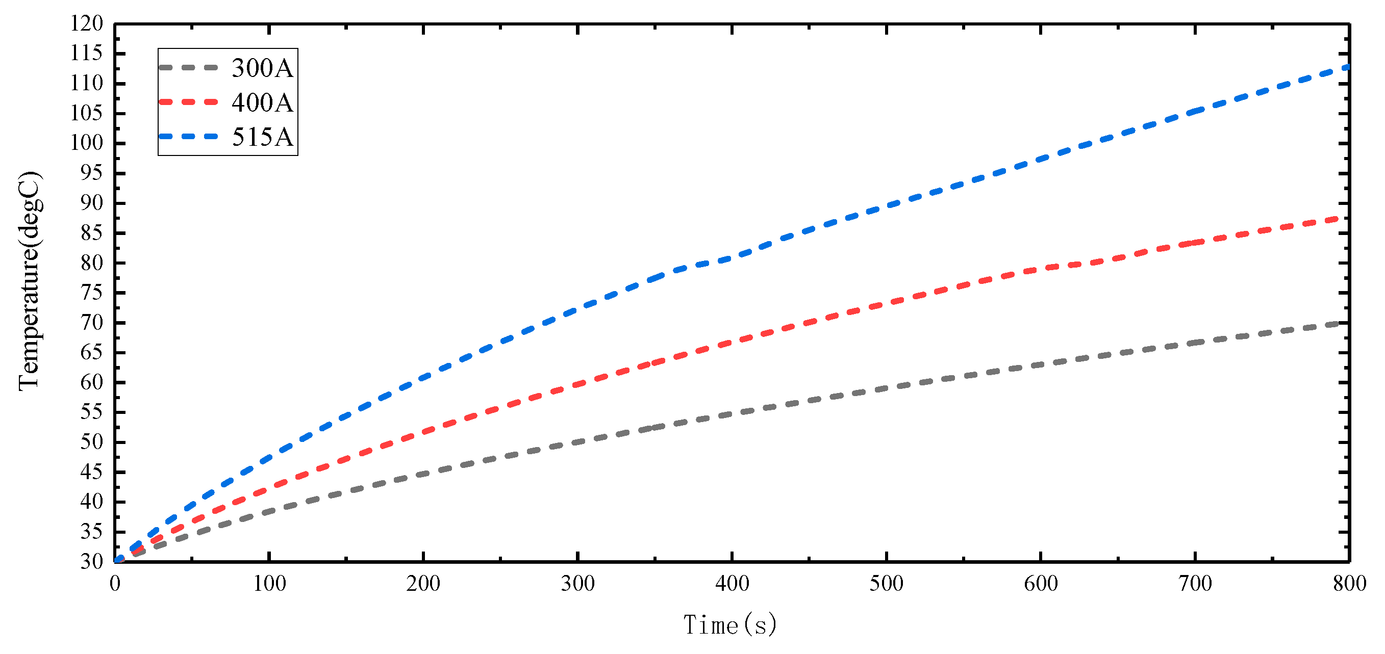
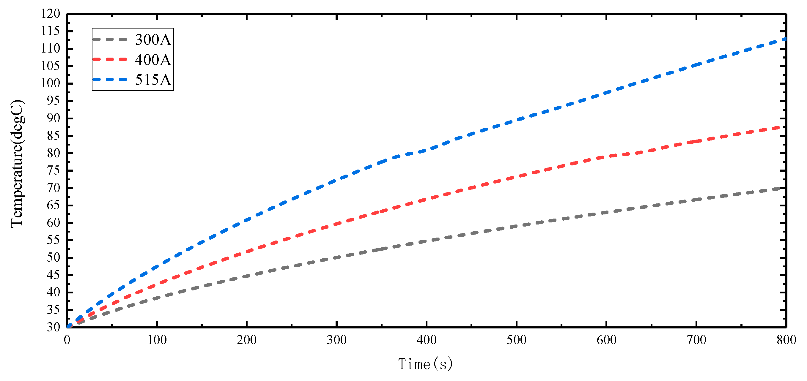
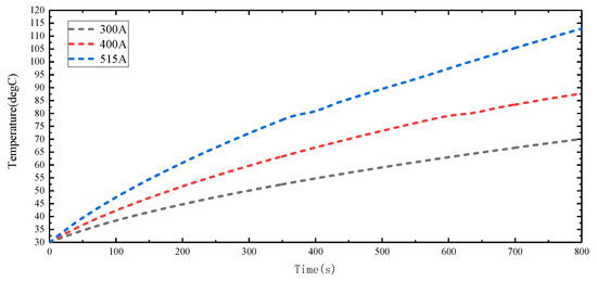
4.1. Effects of Power Loss
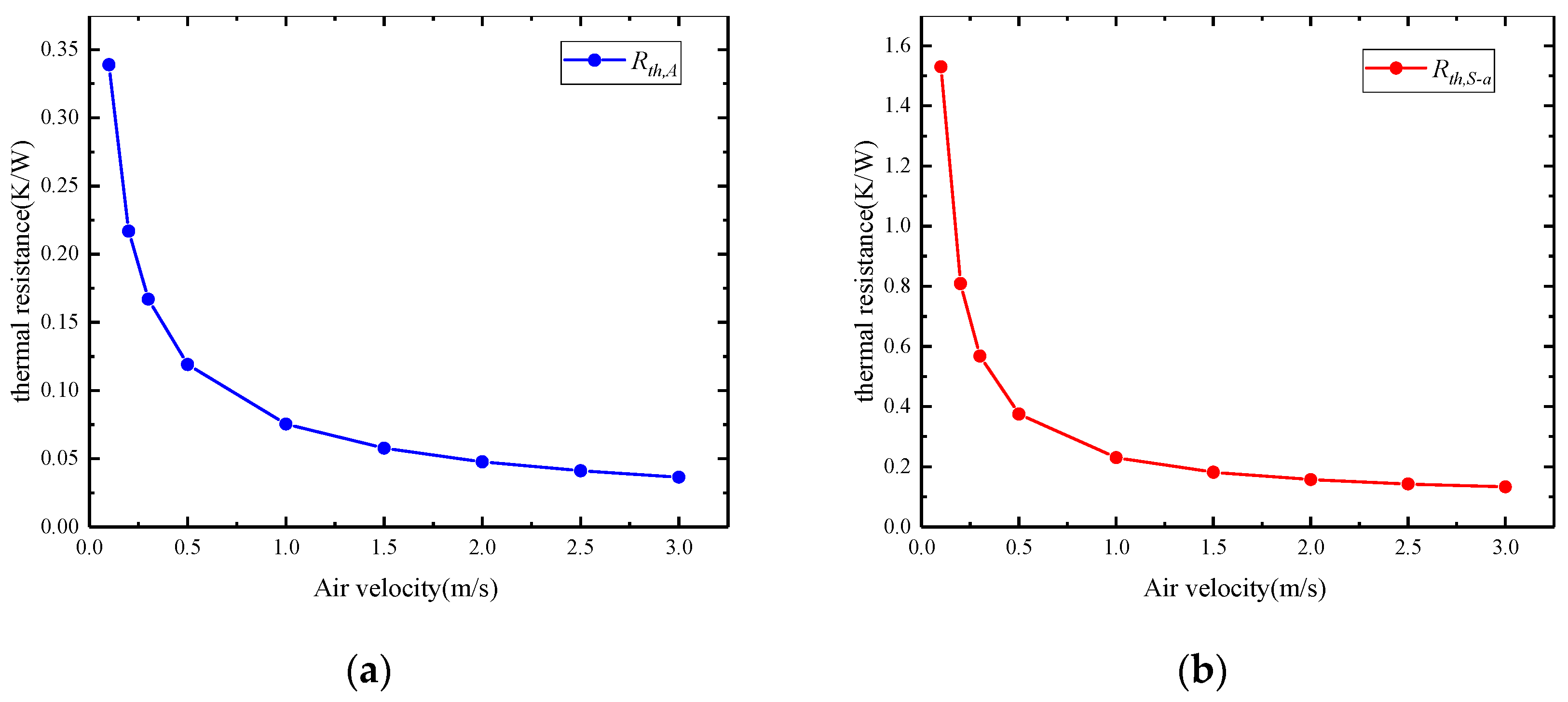
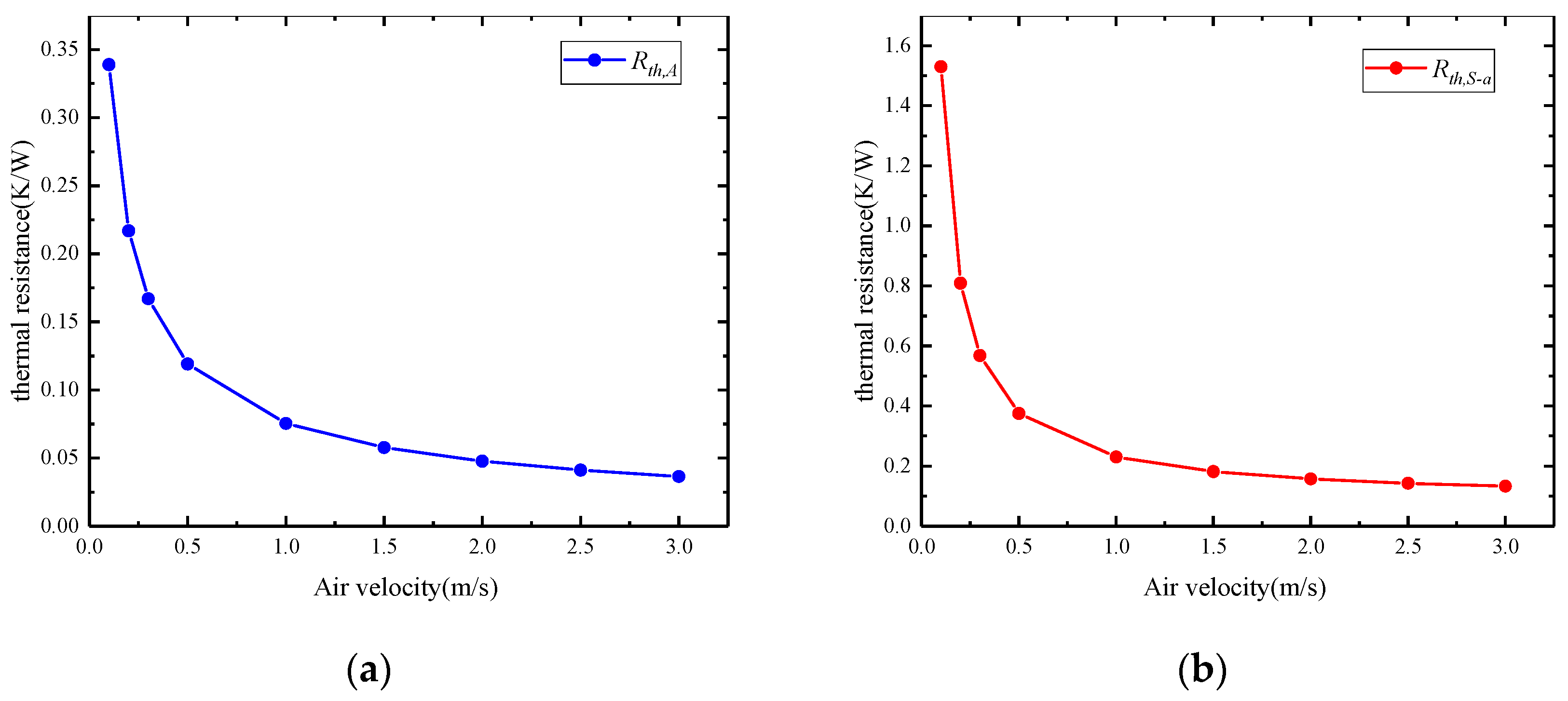
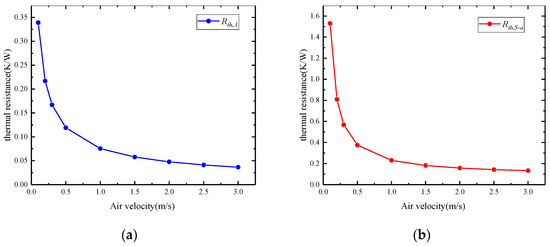
4.2. Effects of Air Velocity
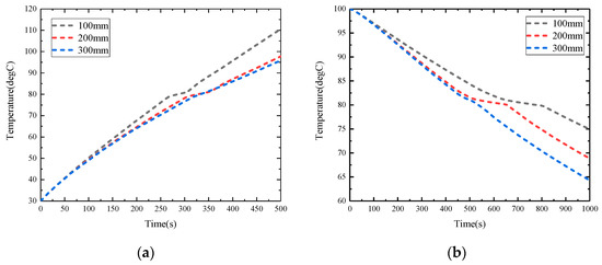
4.3. Effects of the Height of Fins
4.4. Effects of the Thickness of PCM
4.5. Variation of Thermal Network Parameters
5. Conclusions
- The result shows that the PCM heat sink provides temperature protection for high-power thyristors when the power loss is high (Ploss > 323 W in this study). Furthermore, the protection time decreases as the power increases.
- The flowing air reduces the recovery time of the PCM. Meanwhile, the forced air convection prolongs the melting time required by PCM, which weakens the protective effect of the PCM heat sink. When the air velocities rise from 0.1 m/s to 0.5 m/s and 1 m/s, the protection times provided by the PCM heat sink is increased by 204% and 329%, and the recovery time is reduced by 44% and 52%, respectively.
- As the height of the fins increases, the time required for PCM to solidify and melt decreases. When the height of the fin is higher than 200 mm, the effect of the PCM on the temperature of the thyristor gets weakened. Therefore, when designing a PCM heat sink, the height of the fins should not be higher than 200 mm.
- Mesh fins provide a path of low thermal resistance to enhance the transfer of heat bypassing the high-resistance PCM. When the PCM thickness reaches 8 mm, the protection time provided by the heat sink is similar to that of 6 mm, but the recovery time is greatly extended. Therefore, setting the thickness of the PCM below 6 mm is a better choice.
- Through the quantitative analysis of the thermal network, the design of the PCM heat sink is optimized to reduce the thermal response time and recovery time. After optimizing the designed PCM heat sink, the it provides 80 s protection time and 100 s recovery time for thermal management of thyristors.
Author Contributions
Funding
Conflicts of Interest
References
- Yeh, L.T. Review of heat transfer technologies in electronic equipment. J. Electron. Packag. 1995, 117, 333–339. [Google Scholar] [CrossRef]
- Porto, T.R.N.; Delgado, J.; Guimarães, A.S.; Magalhães, H.L.F.; Moreira, G.; Correia, B.R.B.; De Andrade, T.F.; De Lima, A.G.B. Phase change material melting process in a thermal energy storage system for applications in buildings. Energies 2020, 13, 3254. [Google Scholar] [CrossRef]
- Di Bari, R.; Horn, R.; Nienborg, B.; Klinker, F.; Kieseritzky, E.; Pawelz, F. The environmental potential of phase change materials in building applications. A multiple case investigation based on life cycle assessment and building simulation. Energies 2020, 13, 3045. [Google Scholar] [CrossRef]
- Liu, Z.; Lou, F.; Qi, X.; Shen, Y. Enhancing heating performance of low-temperature air source heat pumps using compressor casing thermal storage. Energies 2020, 13, 3269. [Google Scholar] [CrossRef]
- Saha, S.K.; Das, R.B. Exergetic and performance analyses of two-layered packed bed latent heat thermal energy storage system. Int. J. Energy Res. 2020, 44, 2208–2225. [Google Scholar] [CrossRef]
- Salih, S.M.; Jalil, J.M.; Najim, S.E. Experimental and numerical analysis of double-pass solar air heater utilizing multiple capsules PCM. Renew. Energy 2019, 143, 1053–1066. [Google Scholar] [CrossRef]
- Riahi, S.; Jovet, Y.; Saman, W.Y.; Belusko, M.; Bruno, F. Sensible and latent heat energy storage systems for concentrated solar power plants, exergy efficiency comparison. Sol. Energy 2019, 180, 104–115. [Google Scholar] [CrossRef]
- Fayaz, H.; Rahim, N.; Hasanuzzaman, M.; Nasrin, R.; Rivai, A. Numerical and experimental investigation of the effect of operating conditions on performance of PVT and PVT-PCM. Renew. Energy 2019, 143, 827–841. [Google Scholar] [CrossRef]
- Ling, Z.; Wang, F.; Fang, X.; Gao, X.; Zhang, Z. A hybrid thermal management system for lithium ion batteries combining phase change materials with forced-air cooling. Appl. Energy 2015, 148, 403–409. [Google Scholar] [CrossRef]
- A Khateeb, S.; Farid, M.; Selman, J.; Al-Hallaj, S. Design and simulation of a lithium-ion battery with a phase change material thermal management system for an electric scooter. J. Power Sources 2004, 128, 292–307. [Google Scholar] [CrossRef]
- Al-Hallaj, S.; Selman, J. Thermal modeling of secondary lithium batteries for electric vehicle/hybrid electric vehicle applications. J. Power Sources 2002, 110, 341–348. [Google Scholar] [CrossRef]
- Tan, F.; Tso, C. Cooling of mobile electronic devices using phase change materials. Appl. Therm. Eng. 2004, 24, 159–169. [Google Scholar] [CrossRef]
- Yoo, D.W.; Joshi, Y.K. Energy efficient thermal management of electronic components using solid-liquid phase change materials. IEEE Trans. Device Mater. Reliab. 2004, 4, 641–649. [Google Scholar] [CrossRef]
- Kandasamy, R.; Wang, X.-Q.; Mujumdar, A.S. Transient cooling of electronics using phase change material (PCM)-based heat sinks. Appl. Therm. Eng. 2008, 28, 1047–1057. [Google Scholar] [CrossRef]
- Yang, X.-H.; Tan, S.-C.; Ding, Y.-J.; Wang, L.; Liu, J.; Zhou, Y.-X. Experimental and numerical investigation of low melting point metal based PCM heat sink with internal fins. Int. Commun. Heat Mass Transf. 2017, 87, 118–124. [Google Scholar] [CrossRef]
- Baby, R.; Balaji, C. Thermal performance of a PCM heat sink under different heat loads: An experimental study. Int. J. Therm. Sci. 2014, 79, 240–249. [Google Scholar] [CrossRef]
- Kandasamy, R.; Wang, X.-Q.; Mujumdar, A.S. Application of phase change materials in thermal management of electronics. Appl. Therm. Eng. 2007, 27, 2822–2832. [Google Scholar] [CrossRef]
- Yang, X.-H.; Tan, S.-C.; He, Z.-Z.; Zhou, Y.-X.; Liu, J. Evaluation and optimization of low melting point metal PCM heat sink against ultra-high thermal shock. Appl. Therm. Eng. 2017, 119, 34–41. [Google Scholar] [CrossRef]
- Ergün, A.; Eyinç, H. Performance assessment of novel photovoltaic thermal system using nanoparticle in phase change material. Int. J. Numer. Methods Heat Fluid Flow 2019, 29, 1490–1505. [Google Scholar] [CrossRef]
- Chang, T.-C.; Lee, S.; Fuh, Y.-K.; Peng, Y.-C.; Lin, Z.-Y. PCM based heat sinks of paraffin/nanoplatelet graphite composite for thermal management of IGBT. Appl. Therm. Eng. 2017, 112, 1129–1136. [Google Scholar] [CrossRef]
- Wang, H.; Wang, F.; Tang, Y.; Tang, Y.; Yu, B.; Yuan, W. Experimental investigation on the thermal performance of a heat sink filled with porous metal fiber sintered felt/paraffin composite phase change material. Appl. Energy 2016, 176, 221–232. [Google Scholar] [CrossRef]
- Shao, W.; Ran, L.; Jiang, H.; Kastha, D.; Bajpai, P.; Wu, R.; Mawby, P.A.; Zeng, Z. Power module with large short-term current capability by using phase change material. J. Eng. 2019, 2019, 3225–3229. [Google Scholar] [CrossRef]
- Zou, D.; Ma, X.; Liu, X.; Zheng, P.; Hu, Y. Thermal performance enhancement of composite phase change materials (PCM) using graphene and carbon nanotubes as additives for the potential application in lithium-ion power battery. Int. J. Heat Mass Transf. 2018, 120, 33–41. [Google Scholar] [CrossRef]
- Renteria, J.D.; Nika, D.L.; Balandin, A.A. Graphene thermal properties: Applications in thermal management and energy storage. Appl. Sci. 2014, 4, 525–547. [Google Scholar] [CrossRef]
- Zhu, Z.-Q.; Huang, Y.-K.; Hu, N.; Zeng, Y.; Fan, L.-W. Transient performance of a PCM-based heat sink with a partially filled metal foam: Effects of the filling height ratio. Appl. Therm. Eng. 2018, 128, 966–972. [Google Scholar] [CrossRef]
- Fan, L.-W.; Zhu, Z.-Q.; Zeng, Y.; Xiao, Y.-Q.; Liu, X.-L.; Wu, Y.-Y.; Ding, Q.; Yu, Z.-T.; Cen, K. Transient performance of a PCM-based heat sink with high aspect-ratio carbon nanofillers. Appl. Therm. Eng. 2015, 75, 532–540. [Google Scholar] [CrossRef]
- Ghalambaz, M.; Mehryan, S.-A.-M.; Tahmasebi, A.; Hajjar, A. Non-Newtonian phase-change heat transfer of nano-enhanced octadecane with mesoporous silica particles in a tilted enclosure using a deformed mesh technique. Appl. Mathmat. Model. 2020, 85, 318–337. [Google Scholar] [CrossRef]
- Wu, S.Y.; Wang, H.; Xiao, S.; Zhu, D.S. An investigation of melting/freezing characteristics of nanoparticle-enhanced phase change materials. J. Therm. Anal. Calorim. 2012, 110, 1127–1131. [Google Scholar] [CrossRef]
- Fan, L.-W.; Fang, X.; Wang, X.; Zeng, Y.; Xiao, Y.-Q.; Yu, Z.-T.; Xu, X.; Hu, Y.-C.; Cen, K. Effects of various carbon nanofillers on the thermal conductivity and energy storage properties of paraffin-based nanocomposite phase change materials. Appl. Energy 2013, 110, 163–172. [Google Scholar] [CrossRef]
- Zarma, I.; Emam, M.; Ookawara, S.; Ahmed, M. Thermal management of concentrator photovoltaic systems using nano-enhanced phase change materials-based heat sink. Int. J. Energy Res. 2020, 44, 7713–7733. [Google Scholar] [CrossRef]
- Amin, M.; Putra, N.; Kosasih, E.A.; Prawiro, E.; Luanto, R.A.; Mahlia, T. Thermal properties of beeswax/graphene phase change material as energy storage for building applications. Appl. Therm. Eng. 2017, 112, 273–280. [Google Scholar] [CrossRef]
- Yu, W.; Xie, H.; Chen, L.; Li, Y. Investigation of thermal conductivity and viscosity of ethylene glycol based ZnO nanofluid. Thermochim. Acta 2009, 491, 92–96. [Google Scholar] [CrossRef]
- Mahmoud, S.; Tang, A.; Toh, C.; Al-Dadah, R.; Soo, S.L. Experimental investigation of inserts configurations and PCM type on the thermal performance of PCM based heat sinks. Appl. Energy 2013, 112, 1349–1356. [Google Scholar] [CrossRef]
- Krishnan, S.; Garimella, S.; Kang, S. A novel hybrid heat sink using phase change materials for transient thermal management of electronics. IEEE Trans. Compon. Packag. Technol. 2005, 28, 281–289. [Google Scholar] [CrossRef][Green Version]
- Infineon Technologies. IGBT Modules. Available online: https://www.infineon.com/cms/en/product/power/diodes-thyristors/thyristor-diode-modules/ett510n16p60/ (accessed on 21 August 2020).
- Stupar, A.; Drofenik, U.; Kolar, J.W. Optimization of phase change material heat sinks for low duty cycle high peak load power supplies. IEEE Trans. Compon. Packag. Manuf. Technol. 2011, 2, 102–115. [Google Scholar] [CrossRef]
- Drofenik, U.; Laimer, G.; Kolar, J.W. Theoretical converter power density limits for forced convection cooling. In Proceedings of the International Conference, Power Electronics, Intelligent Motion, Power Quality, Zurich, Switzerland, 7–9 June 2005; pp. 608–619. [Google Scholar]
- Drofenik, U.; Laimer, G.; Kolar, J. Pump characteristic based optimization of a direct water cooling system for a 10-kW/500-kHz vienna rectifier. IEEE Trans. Power Electron. 2005, 20, 704–714. [Google Scholar] [CrossRef]
- Alawadhi, E.M.; Amon, C.H. PCM thermal control unit for portable electronic devices: Experimental and numerical studies. IEEE Trans. Compon. Packag. Technol. 2003, 26, 116–125. [Google Scholar] [CrossRef]












| PCM | Melting Temperature (°C) | Latent Heat (kJ/kg) | Density (kg/m3) | Thermal Conductivity (W/m·k) |
|---|---|---|---|---|
| Paraffin | 46–48 | 173.4 | 900 | 0.12 |
| Lauric acid | 43.5–48.2 | 187.21 | 940 | 0.16 |
| LM60 | 60 | 103.2 | 6250 | 26 |
| LM80 | 80 | 115.4 | 6300 | 31 |
| LM150 | 150 | 118.6 | 6520 | 30 |
| Structure | Long (mm) | Wide (mm) | High (mm) |
|---|---|---|---|
| Y-fin | 150 | 2 | 200 |
| X-fin | 150 | 2 | 10 |
| Substrate | 150 | 150 | 2 |
| Thyristor | 150 | 80 | 52 |
| Rth,A (K/W) | Rth,FIN (K/W) | Rth,d (K/W) | Rth,S−a (K/W) | Rth,FIN−PCM (K/W) |
| 0.0755 | 1.6667 | 0.0022 | 0.2302 | 0.0333 |
| Cth,d (J/K) | Cth,FIN (J/K) | Rth,PCM1 (K/W) | Rth,PCM2 (K/W) | Cth,PCM (J/K) |
| 18.144 | 17.4720 | 0.06150 | 0.8024 | 27.0400 |
© 2020 by the authors. Licensee MDPI, Basel, Switzerland. This article is an open access article distributed under the terms and conditions of the Creative Commons Attribution (CC BY) license (http://creativecommons.org/licenses/by/4.0/).
Share and Cite
Liu, J.; Yu, S.; Yang, S.; Zhang, Y.; Fan, X.; Gao, B. Numerical Studies on the Performance of the PCM Mesh-Finned Heat Sink Base on Thermal-Flow Multiphysics Coupling Simulation. Energies 2020, 13, 4658. https://doi.org/10.3390/en13184658
Liu J, Yu S, Yang S, Zhang Y, Fan X, Gao B. Numerical Studies on the Performance of the PCM Mesh-Finned Heat Sink Base on Thermal-Flow Multiphysics Coupling Simulation. Energies. 2020; 13(18):4658. https://doi.org/10.3390/en13184658
Chicago/Turabian StyleLiu, Jiefeng, Shangxin Yu, Shichang Yang, Yiyi Zhang, Xianhao Fan, and Bing Gao. 2020. "Numerical Studies on the Performance of the PCM Mesh-Finned Heat Sink Base on Thermal-Flow Multiphysics Coupling Simulation" Energies 13, no. 18: 4658. https://doi.org/10.3390/en13184658
APA StyleLiu, J., Yu, S., Yang, S., Zhang, Y., Fan, X., & Gao, B. (2020). Numerical Studies on the Performance of the PCM Mesh-Finned Heat Sink Base on Thermal-Flow Multiphysics Coupling Simulation. Energies, 13(18), 4658. https://doi.org/10.3390/en13184658

