Hierarchical Manganese–Iron-Layered Double Hydroxide Nanosheets for Asymmetric Supercapacitors
Abstract
1. Introduction
2. Experimental Details
Synthesis of MnFe-LDH Hexagonal Sheets
3. Characterization of Electrodes
4. Results and Discussion
4.1. FESEM
4.2. XRD
4.3. XPS
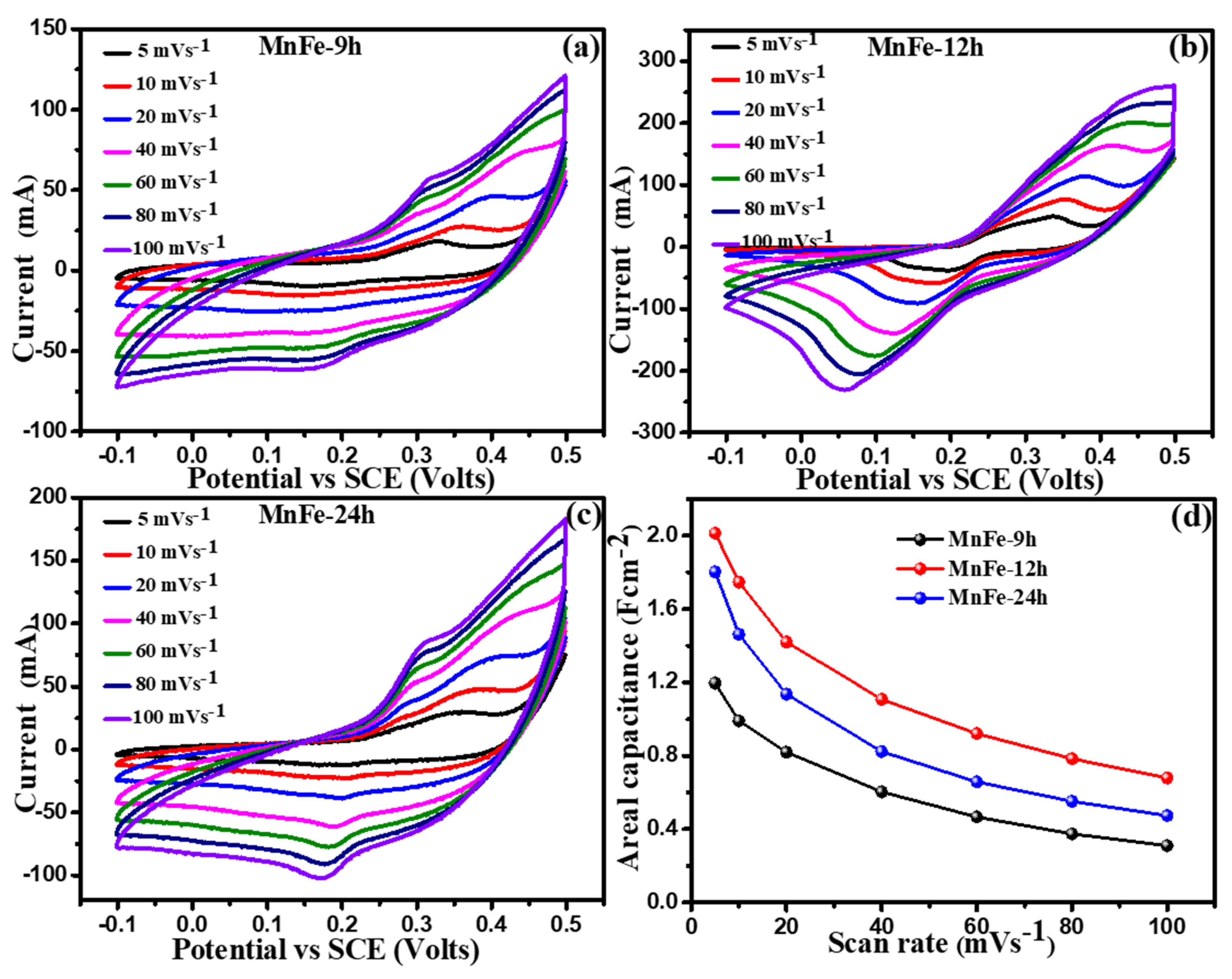
4.4. Electrochemical Study
5. Conclusions
Author Contributions
Funding
Conflicts of Interest
References
- Kumar, K.S.; Choudhary, N.; Jung, Y.; Thomas, J. Recent Advances in Two-Dimensional Nanomaterials for Supercapacitor Electrode Applications. ACS Energy Lett. 2018, 3, 482–495. [Google Scholar] [CrossRef]
- Wang, F.; Wu, X.; Yuan, X.; Liu, Z.; Zhang, Y.; Fu, L.; Zhu, Y.; Zhou, Q.; Wu, Y.; Huang, W. Latest advances in supercapacitors: From new electrode materials to novel device designs. Chem. Soc. Rev. 2017, 46, 6816–6854. [Google Scholar] [CrossRef] [PubMed]
- Majumdar, D.; Maiyalagan, T.; Jiang, Z. Recent Progress in Ruthenium Oxide-Based Composites for Supercapacitor Applications. ChemElectroChem 2019, 6, 4343–4372. [Google Scholar] [CrossRef]
- Kumar, S.; Saeed, G.; Zhu, L.; Hui, K.N.; Kim, N.H.; Lee, J.H. 0D to 3D carbon-based networks combined with pseudocapacitive electrode material for high energy density supercapacitor: A Review. Chem. Eng. J. 2020, 126352. [Google Scholar] [CrossRef]
- Patil, D.S.; Pawar, S.A.; Shin, J.C. Core-shell structure of Co3O4@CdS for high performance electrochemical supercapacitor. Chem. Eng. J. 2018, 335, 693–702. [Google Scholar] [CrossRef]
- Li, X.; Du, D.; Zhang, Y.; Xing, W.; Xue, Q.; Yan, Z. Layered double hydroxides toward high-performance supercapacitors. J. Mater. Chem. A 2017, 5, 15460–15485. [Google Scholar] [CrossRef]
- Patil, D.S.; Pawar, S.A.; Shin, J.C.; Kim, H.J. Layered double hydroxide based on ZnCo@NiCo-nano-architecture on 3D graphene scaffold as an efficient pseudocapacitor. J. Power Sources 2019, 435, 226812. [Google Scholar] [CrossRef]
- Wang, T.; Zhang, S.; Yan, X.; Lyu, M.; Wang, L.; Bell, J.; Wang, H. 2-Methylimidazole-Derived Ni-Co Layered Double Hydroxide Nanosheets as High Rate Capability and High Energy Density Storage Material in Hybrid Supercapacitors. ACS Appl. Mater. Interfaces 2017, 9, 15510–15524. [Google Scholar] [CrossRef]
- Chen, J.; Wang, X.; Wang, J.; Lee, P.S. Sulfidation of NiMn-Layered Double Hydroxides/Graphene Oxide Composites toward Supercapacitor Electrodes with Enhanced Performance. Adv. Energy Mater. 2016, 6, 1501745. [Google Scholar] [CrossRef]
- Yan, M.; Yao, Y.; Wen, J.; Long, L.; Kong, M.; Zhang, G.; Liao, X.; Yin, G.; Huang, Z. Construction of a Hierarchical NiCo2S4 @PPy Core–Shell Heterostructure Nanotube Array on Ni Foam for a High-Performance Asymmetric Supercapacitor. ACS Appl. Mater. Interfaces 2016, 8, 24525–24535. [Google Scholar] [CrossRef]
- Liu, S.; Lee, S.C.; Patil, U.; Shackery, I.; Kang, S.; Zhang, K.; Park, J.H.; Chung, K.Y.; Jun, S.C. Hierarchical MnCo-layered double hydroxides@Ni(OH)2 core–shell heterostructures as advanced electrodes for supercapacitors. J. Mater. Chem. A 2017, 5, 1043–1049. [Google Scholar] [CrossRef]
- Zhou, H.; Wu, F.; Fang, L.; Hu, J.; Luo, H.; Guan, T.; Hu, B.S.; Zhou, M. Layered NiFe-LDH/MXene nanocomposite electrode for high-performance supercapacitor. Int. J. Hydrog. Energy 2020, 45, 13080–13089. [Google Scholar] [CrossRef]
- Bagavathi, M.; Dinesh, B.; Saraswathi, R. A Facile One-Step Electrophoretic Deposition of Co−Ni-Layered Double Hydroxide Nanosheets for a High Performance Supercapacitor. ChemistrySelect 2017, 2, 8799–8806. [Google Scholar] [CrossRef]
- Tyagi, A.; Joshi, M.C.; Shah, A.; Thakur, V.K.; Gupta, R.K. Hydrothermally Tailored Three-Dimensional Ni-V Layered Double Hydroxide Nanosheets as High-Performance Hybrid Supercapacitor Applications. ACS Omega 2019, 4, 3257–3267. [Google Scholar] [CrossRef] [PubMed]
- Li, M.; Addad, A.; Dolci, M.; Roussel, P.; Naushad, M.; Szunerits, S.; Boukherroub, R. NiMnCr layered double hydroxide-carbon spheres modified Ni foam: An efficient positive electrode for hybrid supercapacitors. Chem. Eng. J. 2020, 396, 125370. [Google Scholar] [CrossRef]
- Li, X.; Wu, H.; Guan, C.; Elshahawy, A.M.; Dong, Y.; Pennycook, S.J.; Wang, J. (Ni,Co)Se2 /NiCo-LDH Core/Shell Structural Electrode with the Cactus-Like (Ni,Co)Se2 Core for Asymmetric Supercapacitors. Small 2018, 15, 1803895. [Google Scholar] [CrossRef] [PubMed]
- Patil, D.S.; Pawar, S.A.; Lee, S.H.; Shin, J.C. CoFe layered double hydroxide for enhanced electrochemical performance. J. Electroanal. Chem. 2020, 862, 114012. [Google Scholar] [CrossRef]
- Patil, D.S.; Pawar, S.A.; Ryu, J.; Shin, J.C.; Kim, H.J. Morphological evolution and electrochemical cycling for enhanced electrochemical activity of MnCo-layered double hydroxide. Electrochim. Acta 2020, 331, 135378. [Google Scholar] [CrossRef]
- Kurtan, U.; Dursun, D.; Aydın, H.; Toprak, M.S.; Baykal, A.; Bozkurt, A. Influence of calcination rate on morphologies and magnetic properties of MnFe2O4 nanofibers. Ceram. Int. 2016, 42, 18189–18195. [Google Scholar] [CrossRef]
- Huang, G.; Zhang, K.L.; Chen, S.; Li, S.H.; Wang, L.L.; Wang, L.P.; Liu, R.; Gao, J.; Yang, H.H. Manganese-iron layered double hydroxide: A theranostic nanoplatform with pH-responsive MRI contrast enhancement and drug release. J. Mater. Chem. B 2017, 5, 3629–3633. [Google Scholar] [CrossRef]
- Ruan, Y.; Jia, X.; Wang, C.; Zhen, W.; Jiang, X. Mn-Fe layered double hydroxide nanosheets: A new photothermal nanocarrier for O2-evolving phototherapy. Chem. Commun. 2018, 54, 11729–11732. [Google Scholar] [CrossRef]
- Shi, M.; Narayanasamy, M.; Yang, C.; Zhao, L.; Jiang, J.; Angaiah, S.; Yan, C. 3D interpenetrating assembly of partially oxidized MXene confined Mn–Fe bimetallic oxide for superior energy storage in ionic liquid. Electrochim. Acta 2020, 334, 135546. [Google Scholar] [CrossRef]
- Shao, M.; Zhang, R.; Li, Z.; Wei, M.; Evans, D.G.; Duan, X. Layered double hydroxides toward electrochemical energy storage and conversion: Design, synthesis and applications. Chem. Commun. 2015, 51, 15880–15893. [Google Scholar] [CrossRef] [PubMed]
- Lu, Z.; Qian, L.; Tian, Y.; Li, Y.; Sun, X.; Duan, X. Ternary NiFeMn layered double hydroxides as highly-efficient oxygen evolution catalysts. Chem. Commun. 2016, 52, 908–911. [Google Scholar] [CrossRef] [PubMed]
- Hou, L.; Li, X.; Yang, Q.; Chen, F.; Wang, S.; Ma, Y.; Wu, Y.; Zhu, X.; Huang, X.; Wang, D. Heterogeneous activation of peroxymonosulfate using Mn-Fe layered double hydroxide: Performance and mechanism for organic pollutant degradation. Sci. Total Environ. 2019, 663, 453–464. [Google Scholar] [CrossRef] [PubMed]
- Conway, B.E. Electrochemical Supercapacitors: Scientific Fundamentals and Technological Applications; Kluwer Academic Publishers/Plenum Press: New York, NY, USA, 1999; Available online: https://books.google.co.in/books?hl=en&lr=&id=zCblBwAAQBAJ&oi=fnd&pg=PA1&dq=B+E+Conway&ots=b9lCfg_usx&sig=MwK895IibsqdxTgvTnDx38qntuU#v=onepage&q=B E Conway&f=false (accessed on 15 October 2018).
- Brousse, T.; Bélanger, D.; Long, J.W. To Be or Not To Be Pseudocapacitive? J. Electrochem. Soc. 2015, 162, A5185–A5189. [Google Scholar] [CrossRef]
- Pawar, S.A.; Patil, D.S.; Shin, J.C. Electrochemical battery-type supercapacitor based on chemosynthesized Cu2S-Ag2S composite electrode. Electrochim. Acta 2018, 259, 664–675. [Google Scholar] [CrossRef]
- Shao, Y.; El-Kady, M.F.; Sun, J.; Li, Y.; Zhang, Q.; Zhu, M.; Wang, H.; Dunn, B.; Kaner, R.B. Design and Mechanisms of Asymmetric Supercapacitors. Chem. Rev. 2018, 118, 9233–9280. [Google Scholar] [CrossRef]
- Jin, H.; Yuan, D.; Zhu, S.; Zhu, X.; Zhu, J. Ni-Co layered double hydroxide on carbon nanorods and graphene nanoribbons derived from MOFs for supercapacitors. Dalt. Trans. 2018, 47, 8706–8715. [Google Scholar] [CrossRef]
- Yuan, Y.; Li, Z.; Shi, Z.; Zhu, J. A facile way to grow NiMn-LDH sheets on KCu7S4 nanowires with synergistic effects for applications in hybrid supercapacitors. J. Alloys Compd. 2020, 825, 154056. [Google Scholar] [CrossRef]
- Jing, C.; Liu, X.; Yao, H.; Yan, P.; Zhao, G.; Bai, X.; Dong, B.; Dong, F.; Li, S.; Zhang, Y. Phase and morphology evolution of CoAl LDH nanosheets towards advanced supercapacitor applications. CrystEngComm 2019, 21, 4934–4942. [Google Scholar] [CrossRef]
- Liang, H.; Lin, J.; Jia, H.; Chen, S.; Qi, J.; Cao, J.; Lin, T.; Fei, W.; Feng, J. Hierarchical NiCo-LDH/NiCoP@NiMn-LDH hybrid electrodes on carbon cloth for excellent supercapacitors. J. Mater. Chem. A 2018, 6, 15040–15046. [Google Scholar] [CrossRef]
- Yu, L.; Shi, N.; Liu, Q.; Wang, J.; Yang, B.; Wang, B.; Yan, H.; Sun, Y.; Jing, X. Facile synthesis of exfoliated Co-Al LDH-carbon nanotube composites with high performance as supercapacitor electrodes. Phys. Chem. Chem. Phys. 2014, 16, 17936–17942. [Google Scholar] [CrossRef] [PubMed]
- Zhu, Y.; Zong, Q.; Zhang, Q.; Yang, H.; Du, W.; Wang, Q.; Zhan, J.; Wang, H. Ultra-long lifespan asymmetrical hybrid supercapacitor device based on hierarchical NiCoP@C@LDHs electrode. Electrochim. Acta 2020, 334, 135589. [Google Scholar] [CrossRef]
- Liu, Y.; Wang, Y.; Shi, C.; Chen, Y.; Li, D.; He, Z.; Wang, C.; Guo, L.; Ma, J. Co-ZIF derived porous NiCo-LDH nanosheets/N doped carbon foam for high-performance supercapacitor. Carbon 2020, 165, 129–138. [Google Scholar] [CrossRef]
- Sun, Q.; Yao, K.; Zhang, Y. MnO2-directed synthesis of NiFe-LDH@FeOOH nanosheeet arrays for supercapacitor negative electrode. Chin. Chem. Lett. 2020. [Google Scholar] [CrossRef]
- Qiu, H.; Sun, X.; An, S.; Lan, D.; Cui, J.; Zhang, Y.; He, W. Microwave synthesis of histidine-functionalized graphene quantum dots/Ni-Co LDH with flower ball structure for supercapacitor. J. Colloid Interface Sci. 2020, 567, 264–273. [Google Scholar] [CrossRef]
- Tahir, M.U.; Arshad, H.; Xie, W.; Wang, X.; Nawaz, M.; Yang, C.; Su, X. Synthesis of morphology controlled NiCo-LDH microflowers derived from ZIF-67 using binary additives and their excellent asymmetric supercapacitor properties. Appl. Surf. Sci. 2020, 529, 147073. [Google Scholar] [CrossRef]










© 2020 by the authors. Licensee MDPI, Basel, Switzerland. This article is an open access article distributed under the terms and conditions of the Creative Commons Attribution (CC BY) license (http://creativecommons.org/licenses/by/4.0/).
Share and Cite
Patil, D.S.; Pawar, S.A.; Kim, H.J.; Shin, J.C. Hierarchical Manganese–Iron-Layered Double Hydroxide Nanosheets for Asymmetric Supercapacitors. Energies 2020, 13, 4616. https://doi.org/10.3390/en13184616
Patil DS, Pawar SA, Kim HJ, Shin JC. Hierarchical Manganese–Iron-Layered Double Hydroxide Nanosheets for Asymmetric Supercapacitors. Energies. 2020; 13(18):4616. https://doi.org/10.3390/en13184616
Chicago/Turabian StylePatil, Dipali S., Sachin A. Pawar, Hyo Jin Kim, and Jae Cheol Shin. 2020. "Hierarchical Manganese–Iron-Layered Double Hydroxide Nanosheets for Asymmetric Supercapacitors" Energies 13, no. 18: 4616. https://doi.org/10.3390/en13184616
APA StylePatil, D. S., Pawar, S. A., Kim, H. J., & Shin, J. C. (2020). Hierarchical Manganese–Iron-Layered Double Hydroxide Nanosheets for Asymmetric Supercapacitors. Energies, 13(18), 4616. https://doi.org/10.3390/en13184616

