Gain Scheduling Output Feedback Control for Vehicle Path Tracking Considering Input Saturation
Abstract
1. Introduction
2. System Modelling
2.1. Driver–Vehicle System
2.2. System Uncertainties
3. Problem Formulation and Robust Controller Design
3.1. Problem Formulation
3.2. Robust Controller Design
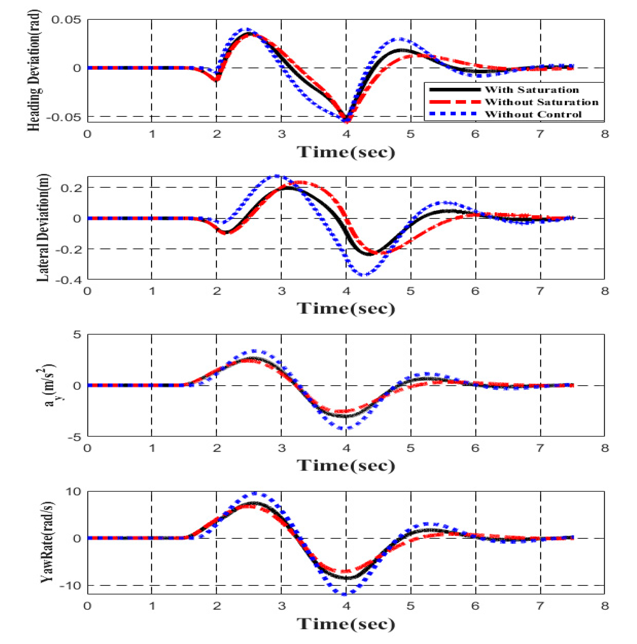
4. Simulation Results
4.1. Driver A Steering Manoeuvres Tests
4.2. Driver B Steering Manoeuvre Tests
5. Conclusions
Author Contributions
Funding
Conflicts of Interest
References
- Alvarez, S.; Page, Y.; Sander, U.; Fahrenkrog, F.; Helmer, T.; Jung, O.; Hermitte, T.; Düering, M.; Döering, S.; Camp, O.O.D. Prospective effectiveness assessment of ADAS and active safety systems via virtual simulation: A review of the current practices. In Proceedings of the 25th International Technical Conference on the Enhanced Safety of Vehicles (ESV): Innovations in Vehicle Safety: Opportunities and Challenges, Detroit, MI, USA, 5–8 June 2017. [Google Scholar]
- Auckland, R.A.; Manning, W.J.; Carsten, O.M.; Jamson, A.H. Advanced driver assistance systems: Objective and subjective performance evaluation. Veh. Syst. Dyn. 2008, 46, 883–897. [Google Scholar] [CrossRef]
- Mulder, M.; Abbink, D.A.; Boer, E.R. Sharing Control with Haptics: Seamless Driver Support from Manual to Automatic Control. Hum. Factors J. Hum. Factors Ergon. Soc. 2012, 54, 786–798. [Google Scholar] [CrossRef] [PubMed]
- Hasenjäger, M.; Heckmann, M.; Wersing, H. A Survey of Personalization for Advanced Driver Assistance Systems. IEEE Trans. Intell. Veh. 2020, 5, 335–344. [Google Scholar] [CrossRef]
- Li, G.; Li, S.E.; Cheng, B. Field operational test of advanced driver assistance systems in typical Chinese road conditions: The influence of driver gender, age and aggression. Int. J. Automot. Technol. 2015, 16, 739–750. [Google Scholar] [CrossRef]
- Martinez, C.M.; Heucke, M.; Wang, F.-Y.; Gao, B.; Cao, D. Driving Style Recognition for Intelligent Vehicle Control and Advanced Driver Assistance: A Survey. IEEE Trans. Intell. Transp. Syst. 2018, 19, 666–676. [Google Scholar] [CrossRef]
- Wang, W.; Zhao, D.; Xi, J.; Leblanc, D.J.; Hedrick, J.K. Development and evaluation of two learning-based personalized driver models for car-following behaviors. In Proceedings of the 2017 American Control Conference (ACC), Seattle, WA, USA, 24–26 May 2017; pp. 1133–1138. [Google Scholar]
- Weiss, E.; Thiel, M.F.; Sultana, N.; Hannan, C.; Seacrist, T. Advanced driver assistance systems for teen drivers: Teen and parent impressions, perceived need, and intervention preferences. Traffic Inj. Prev. 2018, 19, S120–S124. [Google Scholar] [CrossRef]
- Petermeijer, S.; Abbink, D.A.; Mulder, M.; De Winter, J. The Effect of Haptic Support Systems on Driver Performance: A Literature Survey. IEEE Trans. Haptics 2015, 8, 467–479. [Google Scholar] [CrossRef]
- Schnelle, S.; Wang, J.; Jagacinski, R.; Su, H.-J. A feedforward and feedback integrated lateral and longitudinal driver model for personalized advanced driver assistance systems. Mechatronics 2018, 50, 177–188. [Google Scholar] [CrossRef]
- Minoiu-Enache, N.; Mammar, S.; Glaser, S.; Lusetti, B. Driver assistance system for lane departure avoidance by steering and differential braking. IFAC Proc. Vol. 2010, 43, 471–476. [Google Scholar] [CrossRef]
- Németh, B.; Gáspár, P.; Bokor, J.; Sename, O.; Dugard, L. Fault-tolerant control design for trajectory tracking in driver assistance systems. IFAC Proc. Vol. 2012, 45, 186–191. [Google Scholar] [CrossRef]
- Yih, P.; Gerdes, J.C. Modification of vehicle handling characteristics via steer-by-wire. IEEE Trans. Control Syst. Technol. 2005, 13, 965–976. [Google Scholar] [CrossRef]
- Chen, Y.; Zhang, X.; Wang, J. Robust Vehicle Driver Assistance Control for Handover Scenarios Considering Driving Performances. IEEE Trans. Syst. Man Cybern. Syst. 2020, 1–11. [Google Scholar] [CrossRef]
- Wang, J.; Zhang, G.; Wang, R.; Schnelle, S.; Wang, J. A Gain-Scheduling Driver Assistance Trajectory-Following Algorithm Considering Different Driver Steering Characteristics. IEEE Trans. Intell. Transp. Syst. 2016, 18, 1097–1108. [Google Scholar] [CrossRef]
- Sentouh, C.; Soualmi, B.; Popieul, J.-C.; Debernard, S. Cooperative Steering Assist Control System. In Proceedings of the 2013 IEEE International Conference on Systems Man and Cybernetics, Manchester, UK, 13–16 October 2013; pp. 941–946. [Google Scholar]
- Sentouh, C.; Debernard, S.; Popieul, J.; Vanderhaegen, F. Toward a Shared Lateral Control Between Driver and Steering Assist Controller. IFAC Proc. Vol. 2010, 43, 404–409. [Google Scholar] [CrossRef]
- Sentouh, C.; Nguyen, A.-T.; Benloucif, M.A.; Popieul, J.-C. Driver-Automation Cooperation Oriented Approach for Shared Control of Lane Keeping Assist Systems. IEEE Trans. Control Syst. Technol. 2019, 27, 1962–1978. [Google Scholar] [CrossRef]
- Nguyen, A.-T.; Sentouh, C.; Popieul, J.-C.; Soualmi, B. Shared lateral control with on-line adaptation of the automation degree for driver steering assist system: A weighting design approach. In Proceedings of the 2015 54th IEEE Conference on Decision and Control (CDC), Osaka, Japan, 15–18 December 2015; pp. 857–862. [Google Scholar]
- Nguyen, A.-T.; Sentouh, C.; Popieul, J.-C. Sensor Reduction for Driver-Automation Shared Steering Control via an Adaptive Authority Allocation Strategy. IEEE/ASME Trans. Mechatron. 2018, 23, 5–16. [Google Scholar] [CrossRef]
- Hu, C.; Wang, R.; Yan, F.; Karimi, H.R. Robust Composite Nonlinear Feedback Path-Following Control for Independently Actuated Autonomous Vehicles With Differential Steering. IEEE Trans. Transp. Electrif. 2016, 2, 312–321. [Google Scholar] [CrossRef]
- Wang, R.; Hu, C.; Yan, F.; Chadli, M. Composite Nonlinear Feedback Control for Path Following of Four-Wheel Independently Actuated Autonomous Ground Vehicles. IEEE Trans. Intell. Transp. Syst. 2016, 17, 2063–2074. [Google Scholar] [CrossRef]
- Wang, R.; Jing, H.; Chen, N.; Zhang, H. Robust lateral-plane motion control of four-wheel independently actuated electric vehicles. In Proceedings of the 11th World Congress on Intelligent Control and Automation, Shenyang, China, 29 June–4 July 2014; pp. 1974–1979. [Google Scholar]
- Zhang, H.; Zhang, X.; Wang, J. Robust gain-scheduling energy-to-peak control of vehicle lateral dynamics stabilisation. Veh. Syst. Dyn. 2014, 52, 309–340. [Google Scholar] [CrossRef]
- Wang, R.; Jing, H.; Wang, J.; Chadli, M.; Chen, N. Robust output-feedback based vehicle lateral motion control considering network-induced delay and tire force saturation. Neurocomputing 2016, 214, 409–419. [Google Scholar] [CrossRef]
- Du, H.; Zhang, T.; Dong, G. Stabilizing Vehicle Lateral Dynamics with Considerations of Parameter Uncertainties and Control Saturation Through Robust Yaw Control. IEEE Trans. Veh. Technol. 2010, 59, 2593–2597. [Google Scholar] [CrossRef]
- Cao, Y.-Y.; Lin, Z. Robust stability analysis and fuzzy-scheduling control for nonlinear systems subject to actuator saturation. IEEE Trans. Fuzzy Syst. 2003, 11, 57–67. [Google Scholar] [CrossRef]
- Nguyen, A.-T.; Sentouh, C.; Popieul, J.-C. Driver-Automation Cooperative Approach for Shared Steering Control under Multiple System Constraints: Design and Experiments. IEEE Trans. Ind. Electron. 2017, 64, 3819–3830. [Google Scholar] [CrossRef]
- Wu, F.; Lu, B. Anti-windup control design for exponentially unstable LTI systems with actuator saturation. Syst. Control Lett. 2004, 52, 305–322. [Google Scholar] [CrossRef]
- Falcone, P.; Borrelli, F.; Asgari, J.; Tseng, H.E.; Hrovat, D. Predictive Active Steering Control for Autonomous Vehicle Systems. IEEE Trans. Control Syst. Technol. 2007, 15, 566–580. [Google Scholar] [CrossRef]
- Yu, S.; Li, X.; Chen, H.; Allgöwer, F. Nonlinear model predictive control for path following problems. Int. J. Robust Nonlinear Control 2014, 25, 1168–1182. [Google Scholar] [CrossRef]
- Da Silva, J.; Tarbouriech, S. Antiwindup design with guaranteed regions of stability: An LMI-based approach. IEEE Trans. Autom. Control 2005, 50, 106–111. [Google Scholar] [CrossRef]
- Wu, F.; Soto, M. Extended anti-windup control schemes for LTI and LFT systems with actuator saturations. Int. J. Robust Nonlinear Control 2004, 14, 1255–1281. [Google Scholar] [CrossRef]
- Tiwari, P.Y.; Mulder, E.F.; Kothare, M.V. Multivariable Anti-Windup Controller Synthesis incorporating Multiple Convex Constraints. In Proceedings of the 2007 American Control Conference, New York, NY, USA, 11–13 July 2007; pp. 5212–5217. [Google Scholar]
- Tyan, F.; Bernstein, D.S. Anti-windup compensator synthesis for systems with saturation actuators. Int. J. Robust Nonlinear Control 1995, 5, 521–537. [Google Scholar] [CrossRef]
- Tarbouriech, S.; García, G.; Da Silva, J.M.G.; Queinnec, I. Stability and Stabilization of Linear Systems with Saturating Actuators; Springer Science and Business Media: Berlin, Germany, 2011. [Google Scholar]
- Tarbouriech, S.; Turner, M. Anti-windup design: An overview of some recent advances and open problems. IET Control Theory Appl. 2009, 3, 1–19. [Google Scholar] [CrossRef]
- Wang, Q.; Zhou, B.; Wen, C.; Duan, G.-R. Output feedback gain scheduled control of actuator saturated linear systems with applications to the spacecraft rendezvous. J. Frankl. Inst. 2014, 351, 5015–5033. [Google Scholar] [CrossRef]
- Ban, X.; Fen, W. Gain scheduling output feedback controller design for saturated linear plants. In Proceedings of the 31st Chinese Control Conference, Hefei, China, 25–27 July 2012. [Google Scholar]
- Rajamani, R. Vehicle Dynamics and Control; Springer Science & Business Media: Berlin, Germany, 2011. [Google Scholar]
- Chai, Y.W.; Abe, Y.; Kano, Y.; Abe, M. A study on adaptation of SBW parameters to individual driver’s steer characteristics for improved driver–vehicle system performance. Veh. Syst. Dyn. 2006, 44, 874–882. [Google Scholar] [CrossRef]
- Plochl, M.; Edelmann, J. Driver models in automobile dynamics application. Veh. Syst. Dyn. 2007, 45, 699–741. [Google Scholar] [CrossRef]
- Wang, R.; Jing, H.; Hu, C.; Yan, F.; Chen, N. Robust H∞ Path Following Control for Autonomous Ground Vehicles With Delay and Data Dropout. IEEE Trans. Intell. Transp. Syst. 2016, 17, 2042–2050. [Google Scholar] [CrossRef]










| Controller Name | Driver Average Steer (°) | 
|---|---|
| Driver 1 With Saturation | 60.4275 | 
| Driver 1 Without Saturation | 61.3871 | 
| Driver 1 Without Controller | 80.0831 | 
| Controller Name | Driver Average Steer (°) | 
|---|---|
| Driver 2 With Saturation | 59.9365 | 
| Driver 2 Without Saturation | 60.1861 | 
| Driver 2 Without Controller | 77.7396 | 
© 2020 by the authors. Licensee MDPI, Basel, Switzerland. This article is an open access article distributed under the terms and conditions of the Creative Commons Attribution (CC BY) license (http://creativecommons.org/licenses/by/4.0/).
Share and Cite
Liu, C.; Zhao, W.; Li, J. Gain Scheduling Output Feedback Control for Vehicle Path Tracking Considering Input Saturation. Energies 2020, 13, 4570. https://doi.org/10.3390/en13174570
Liu C, Zhao W, Li J. Gain Scheduling Output Feedback Control for Vehicle Path Tracking Considering Input Saturation. Energies. 2020; 13(17):4570. https://doi.org/10.3390/en13174570
Chicago/Turabian StyleLiu, Chao, Weiqiang Zhao, and Jie Li. 2020. "Gain Scheduling Output Feedback Control for Vehicle Path Tracking Considering Input Saturation" Energies 13, no. 17: 4570. https://doi.org/10.3390/en13174570
APA StyleLiu, C., Zhao, W., & Li, J. (2020). Gain Scheduling Output Feedback Control for Vehicle Path Tracking Considering Input Saturation. Energies, 13(17), 4570. https://doi.org/10.3390/en13174570
 
        

 
       