Numerical Modeling and Performance Evaluation of Standing Wave Thermoacoustic Refrigerators with a Multi-Layered Stack
Abstract
- Numerical modeling of multi-layered stack inside standing wave thermoacoustic refrigerator is conducted.
- Multi-layered stack is composed of an arrangement of different materials inside a stack and the effect of various multi-layered stack material and length combinations is analyzed.
- Celcor based RVC stacks showed an improvement of 26.14%, 5.12% and 4.55% in terms of temperature drop, Coefficient of Performance (COP) and total energy flux, respectively.
- Addition of layer of insulative material at stack ends has a beneficial effect on the refrigeration performance.
1. Introduction
2. Mathematical Background
3. Numerical Model
3.1. Model Space
3.2. Boundary and Operating Conditions
3.3. Material Properties
3.4. Numerical Implementation
3.5. Mesh Independence and Validation Study
3.6. Monitor Points and Performance Scales
4. Results and Discussion
4.1. Effect of Different Material Combinations of Multi-Layered Stack
4.2. Effect of Variation in Length of Layers of Multi-Layered Stack
5. Conclusions
Author Contributions
Funding
Acknowledgments
Conflicts of Interest
References
- Swift, G.W. Thermoacoustics: A Unifying Perspective for Some Engines and Refrigerators; Acoustical Society of America: Melville, NY, USA, 2002. [Google Scholar]
- Gardner, D.L.; Howard, C.Q. Waste-heat-driven thermoacoustic engine and refrigerator. In Proceedings of the ACOUSTICS, Adelaide, Australia, 23–25 November 2009. [Google Scholar]
- Bou Nader, W.; Chamoun, J.; Dumand, C. Thermoacoustic engine as waste heat recovery system on extended range hybrid electric vehicles. Energy Convers. Manag. 2020, 215, 112912. [Google Scholar] [CrossRef]
- Hamood, A.; Jaworski, A.J.; Mao, X. Development and assessment of two-stage thermoacoustic electricity generator. Energies 2019, 12, 1790. [Google Scholar] [CrossRef]
- Konaina, T.; Yassen, N. Thermoacoustic solar cooling for domestic usage sizing software Part (I). Energy Procedia 2012, 18, 119–130. [Google Scholar] [CrossRef]
- Hong, B.-S.; Lin, T.-Y. System identification and resonant control of thermoacoustic engines for robust solar power. Energies 2015, 8, 4138–4159. [Google Scholar] [CrossRef]
- Tartibu, L. Developing more efficient travelling-wave thermo-acoustic refrigerators: A review. Sustain. Energy Technol. Assess. 2019, 31, 102–114. [Google Scholar] [CrossRef]
- Swift, G.W. Thermoacoustic engines. J. Acoust. Soc. Am. 1988, 84, 1145–1180. [Google Scholar] [CrossRef]
- Rott, N. Thermoacoustics. Adv. Appl. Mech. 1980, 20, 135–175. [Google Scholar]
- Babaei, H.; Siddiqui, K. Design and optimization of thermoacoustic devices. Energy Convers. Manag. 2008, 49, 3585–3598. [Google Scholar] [CrossRef]
- Ishikawa, H.; Mee, D.J. Numerical investigations of flow and energy fields near a thermoacoustic couple. J. Acoust. Soc. Am. 2002, 111, 831–839. [Google Scholar] [CrossRef]
- De Jong, J.A.; Wijnant, Y.H.; de Boer, A.; Wilcox, D. Nonlinear modeling of thermoacoustic systems. In Proceedings of the European Conference on Noise Control (EURONOISE), Maastricht, The Netherlands, 31 May–3 June 2015; Glorieux, C., Ed.; European Acoustics Association: Maastricht, The Netherlands, 2015; Volume 2015, pp. 527–531. [Google Scholar]
- Wheatley, J.; Hofler, T.; Swift, G.W.; Migliori, A. An intrinsically irreversible thermoacoustic heat engine. J. Acoust. Soc. Am. 1983, 74, 153–170. [Google Scholar] [CrossRef]
- Cao, N.; Olson, J.R.; Swift, G.W.; Chen, S. Energy flux density in a thermoacoustic couple. J. Acoust. Soc. Am. 1996, 99, 3456–3464. [Google Scholar] [CrossRef]
- Worlikar, A.S.; Knio, O.M. Numerical simulation of a thermoacoustic refrigerator: I. Unsteady adiabatic flow around the stack. J. Comput. Phys. 1996, 127, 424–451. [Google Scholar] [CrossRef]
- Worlikar, A.S.; Knio, O.M.; Klein, R. Numerical simulation of a thermoacoustic refrigerator: II. Stratified flow around the stack. J. Comput. Phys. 1998, 144, 299–324. [Google Scholar] [CrossRef]
- Marx, D.; Blanc-Benon, P. Numerical calculation of the temperature difference between the extremities of a thermoacoustic stack plate. Cryogenics 2005, 45, 163–172. [Google Scholar] [CrossRef]
- Marx, D.; Blanc-Benon, P. Computation of the mean velocity field above a stack plate in a thermoacoustic refrigerator. Comptes Rendus Mécanique 2004, 332, 867–874. [Google Scholar] [CrossRef]
- Marx, D.; Blanc-Benon, P. Computation of the temperature distortion in the stack of a standing-wave thermoacoustic refrigerator. J. Acoust. Soc. Am. 2005, 118, 2993–2999. [Google Scholar] [CrossRef]
- Mergen, S.; Yıldırım, E.; Turkoglu, H. Numerical study on effects of computational domain length on flow field in standing wave thermoacoustic couple. Cryogenics 2019, 98, 139–147. [Google Scholar] [CrossRef]
- Zoontjens, L.; Howard, C.Q.; Zander, A.C.; Cazzolato, B.S. Numerical study of flow and energy fields in thermoacoustic couples of non-zero thickness. Int. J. Therm. Sci. 2009, 48, 733–746. [Google Scholar] [CrossRef]
- Abd El-Rahman, A.I.; Abdel-Rahman, E. Computational fluid dynamics simulation of a thermoacoustic refrigerator. J. Thermophys. Heat Transf. 2014, 28, 78–86. [Google Scholar] [CrossRef]
- Abd El-Rahman, A.I.; Abdelfattah, W.A.; Fouad, M.A. A 3D investigation of thermoacoustic fields in a square stack. Int. J. Heat Mass Transf. 2017, 108, 292–300. [Google Scholar] [CrossRef]
- Namdar, A.; Kianifar, A.; Roohi, E. Numerical investigation of thermoacoustic refrigerator at weak and large amplitudes considering cooling effect. Cryogenics 2015, 67, 36–44. [Google Scholar] [CrossRef]
- Nehar Belaid, K.; Hireche, O. Influence of heat exchangers blockage ratio on the performance of thermoacoustic refrigerator. Int. J. Heat Mass Transf. 2018, 127, 834–842. [Google Scholar] [CrossRef]
- Rahpeima, R.; Ebrahimi, R. Numerical investigation of the effect of stack geometrical parameters and thermo-physical properties on performance of a standing wave thermoacoustic refrigerator. Appl. Therm. Eng. 2019, 149, 1203–1214. [Google Scholar] [CrossRef]
- Mohd Saat, F.; Jaworski, A. The effect of temperature field on low amplitude oscillatory flow within a parallel-plate heat exchanger in a standing wave thermoacoustic system. Appl. Sci. 2017, 7, 417. [Google Scholar] [CrossRef]
- Mohd Saat, F.A.; Jaworski, A.J. Numerical predictions of early stage turbulence in oscillatory flow across parallel-plate heat exchangers of a thermoacoustic system. Appl. Sci. 2017, 7, 673. [Google Scholar] [CrossRef]
- Rogoziński, K.; Nowak, G. Numerical investigation of dual thermoacoustic engine. Energy Convers. Manag. 2020, 203, 112231. [Google Scholar] [CrossRef]
- Tsuda, K.; Ueda, Y. Abrupt reduction of the critical temperature difference of a thermoacoustic engine by adding water. AIP Adv. 2015, 5, 097173. [Google Scholar] [CrossRef]
- Tsuda, K.; Ueda, Y. Critical temperature of traveling- and standing-wave thermoacoustic engines using a wet regenerator. Appl. Energy 2017, 196, 62–67. [Google Scholar] [CrossRef]
- Yahya, S.G.; Mao, X.; Jaworski, A.J. Experimental investigation of thermal performance of random stack materials for use in standing wave thermoacoustic refrigerators. Int. J. Refrig. 2017, 75, 52–63. [Google Scholar] [CrossRef]
- Liu, L.; Yang, P.; Liu, Y. Comprehensive performance improvement of standing wave thermoacoustic engine with converging stack: Thermodynamic analysis and optimization. Appl. Therm. Eng. 2019, 160, 114096. [Google Scholar] [CrossRef]
- Zoontjens, L.; Howard, C.Q.; Zander, A.C.; Cazzolato, B.S. Numerical comparison of thermoacoustic couples with modified stack plate edges. Int. J. Heat Mass Transf. 2008, 51, 4829–4840. [Google Scholar] [CrossRef]
- Auriemma, F.; Di Giulio, E.; Napolitano, M.; Dragonetti, R. Porous cores in small thermoacoustic devices for building applications. Energies 2020, 13, 2941. [Google Scholar] [CrossRef]
- Zolpakar, N.A.; Mohd-Ghazali, N.; Hassan El-Fawal, M. Performance analysis of the standing wave thermoacoustic refrigerator: A review. Renew. Sustain. Energy Rev. 2016, 54, 626–634. [Google Scholar] [CrossRef]
- Tasnim, S.H. An experimental study on heterogeneous porous stacks in a thermoacoustic heat pump. J. Energy Resour. Technol. 2017, 139, 042005. [Google Scholar] [CrossRef]
- Merkli, P.; Thomann, H. Transition to turbulence in oscillating pipe flow. J. Fluid Mech. 1975, 68, 567–576. [Google Scholar] [CrossRef]















| Sample Name | Stack Materials | Length in Terms of PD | ||
|---|---|---|---|---|
| Base | MR | ML | ||
| B1 | Celcor | 11.0 | - | - |
| B2 | Kapton | 11.0 | - | - |
| C1/PD1 | RVC, Celcor, RVC | 9.0 | 1.0 | 1.0 |
| C2 | Al, Celcor, Al | 9.0 | 1.0 | 1.0 |
| C3 | RVC, Kapton, RVC | 9.0 | 1.0 | 1.0 |
| C4 | Al, Kapton, Al | 9.0 | 1.0 | 1.0 |
| PD2 | RVC, Celcor, RVC | 7.0 | 2.0 | 2.0 |
| PD3 | RVC, Celcor, RVC | 5.0 | 3.0 | 3.0 |
| Property | Value | Unit |
|---|---|---|
| Working fluid | Helium | - |
| Mean Temperature, Tm | 298 | K |
| Mean pressure, Pm | 10 | kPa |
| Operating frequency, f | 100 | Hz |
| Oscillating pressure amplitude, PA | 170 | Pa |
| Drive Ratio, DR = PA/Pm | 1.7 | % |
| Wavelength, λ | 10.08 | m |
| HHX’s temperature (constant) | 298 | K |
| Gas properties: | ||
| Reference thermal conductivity, | 0.152 | W/m·K |
| Reference dynamic viscosity, | 1.98 × 10−5 | kg/m·s |
| Specific heat capacity, Cp | 5190 | J/kg·K |
| Prandtl no., σ | 0.69 | - |
| Material | Cp (J/kg·K) | k (W/m·K) | ρ (kg/m3) |
|---|---|---|---|
| Celcor | 1000 | 1.46 | 2300 |
| Kapton | 1090 | 0.12 | 1420 |
| RVC | 1260 | 0.033 | 49.5 |
| Al | 895 | 5.8 | 216 |
| Copper | 385 | 400 | 8960 |
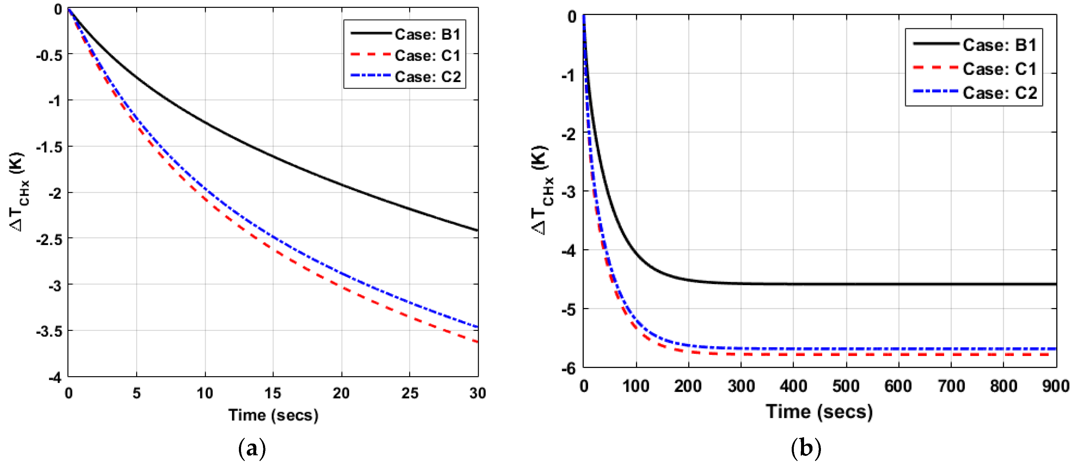
| Case | (Steady State) | COP | |
|---|---|---|---|
| B1 | 4.59 | 79.26 | 0.254 |
| C1 | 5.79 | 75.64 | 0.261 |
| C2 | 5.69 | 76.89 | 0.255 |
| Case/Fitting Constant | a | b | c | d | e |
|---|---|---|---|---|---|
| B1 | −0.01396 | −0.5908 | −0.1857 | −3.985 | −0.02029 |
| B2 | −0.006375 | −0.7127 | −0.1563 | −4.853 | −0.01884 |
| C1 | 0.005943 | −1.628 | −0.1462 | −4.168 | −0.02222 |
| C2 | 0.03373 | −1.525 | −0.1499 | −4.201 | −0.02147 |
| C3 | 0.008403 | −1.487 | −0.147 | −4.876 | −0.02347 |
| C4 | 0.03299 | −1.411 | −0.1473 | −4.947 | −0.02177 |
| Case | (Steady State) | COP | |
|---|---|---|---|
| B2 | 5.57 | 77.23 | 0.247 |
| C2 | 6.36 | 74.07 | 0.268 |
| C3 | 6.33 | 75.37 | 0.261 |
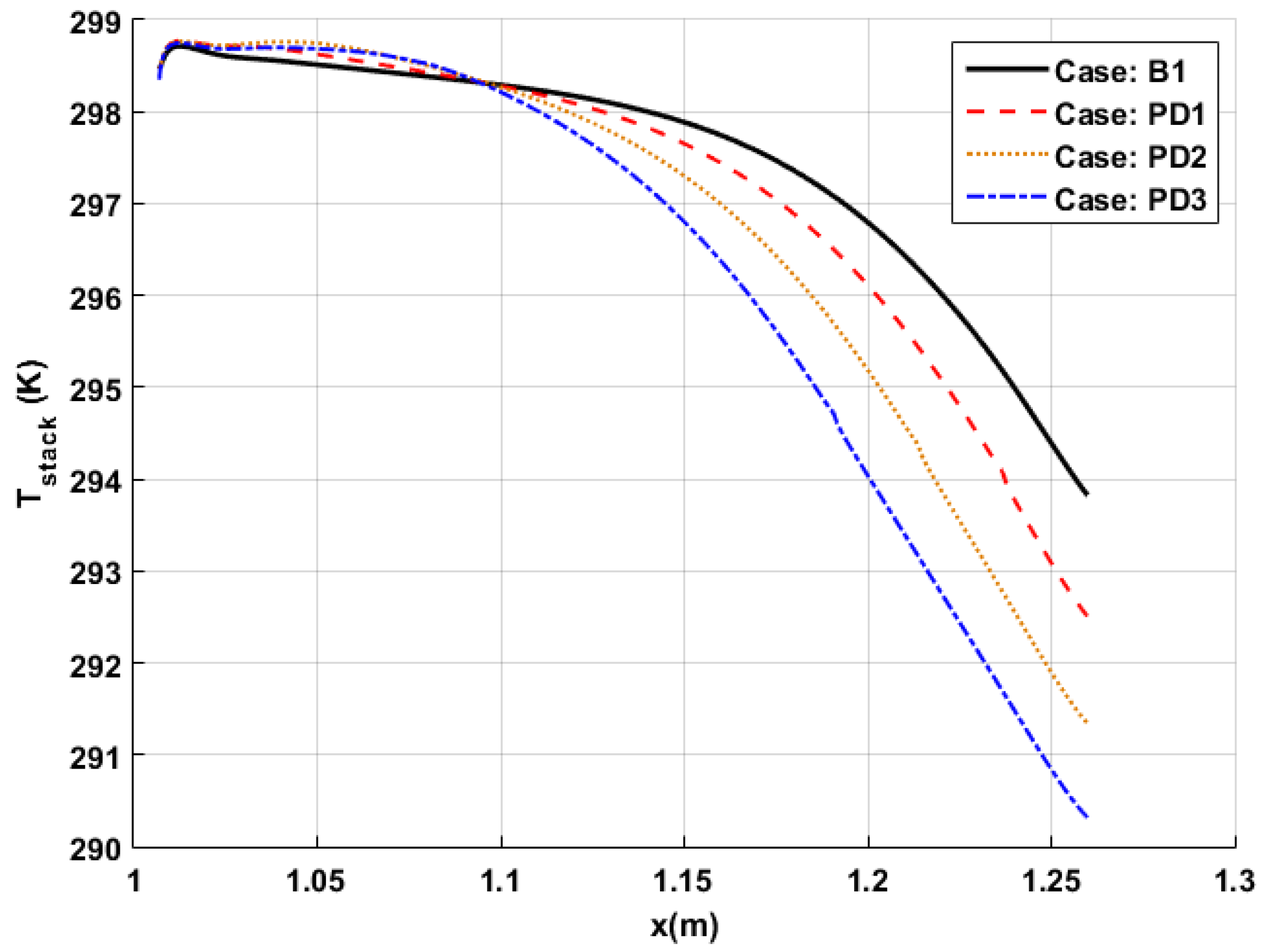
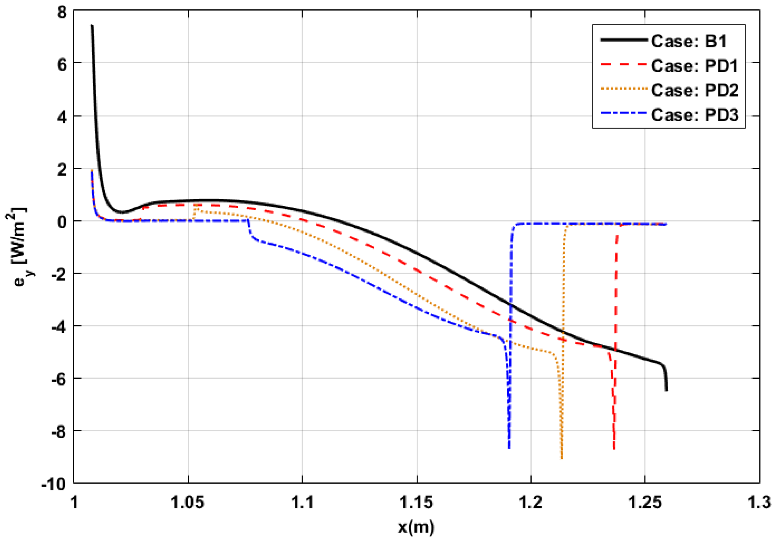
| Case | (Steady State) | COP | |
|---|---|---|---|
| B1 | 6.44 | 80.61 | 0.252 |
| PD1 | 7.27 | 71.62 | 0.265 |
| PD2 | 8.35 | 73.08 | 0.275 |
| PD3 | 9.26 | 65.13 | 0.284 |
| Case/Fitting Constant | a | b | c | d | E |
|---|---|---|---|---|---|
| B1 | −0.06661 | −5.387 | −0.01007 | −0.9842 | −0.1099 |
| PD1 | −0.03323 | −5.117 | −0.01192 | −2.121 | −0.1170 |
| PD2 | 0.01577 | −5.109 | −0.01248 | −3.252 | −0.08966 |
| PD3 | 0.03041 | −5.067 | −0.01317 | −4.224 | −0.07003 |
© 2020 by the authors. Licensee MDPI, Basel, Switzerland. This article is an open access article distributed under the terms and conditions of the Creative Commons Attribution (CC BY) license (http://creativecommons.org/licenses/by/4.0/).
Share and Cite
Bhatti, U.N.; Bashmal, S.; Khan, S.; Ben-Mansour, R. Numerical Modeling and Performance Evaluation of Standing Wave Thermoacoustic Refrigerators with a Multi-Layered Stack. Energies 2020, 13, 4360. https://doi.org/10.3390/en13174360
Bhatti UN, Bashmal S, Khan S, Ben-Mansour R. Numerical Modeling and Performance Evaluation of Standing Wave Thermoacoustic Refrigerators with a Multi-Layered Stack. Energies. 2020; 13(17):4360. https://doi.org/10.3390/en13174360
Chicago/Turabian StyleBhatti, Umar Nawaz, Salem Bashmal, Sikandar Khan, and Rached Ben-Mansour. 2020. "Numerical Modeling and Performance Evaluation of Standing Wave Thermoacoustic Refrigerators with a Multi-Layered Stack" Energies 13, no. 17: 4360. https://doi.org/10.3390/en13174360
APA StyleBhatti, U. N., Bashmal, S., Khan, S., & Ben-Mansour, R. (2020). Numerical Modeling and Performance Evaluation of Standing Wave Thermoacoustic Refrigerators with a Multi-Layered Stack. Energies, 13(17), 4360. https://doi.org/10.3390/en13174360

