A Novel Methodology for the Scalability Analysis of ICT Systems for Smart Grids Based on SGAM: The InteGrid Project Approach
Abstract
1. Introduction
2. General Methodology
- Increment of the number of nodes (amount of devices)
- Increment of the frequency of information exchange (data and commands)
- Increment of the measurements taken in each sampling period, which is especially important in the case of smart meters
- The interest denotes whether the attribute shall be considered in the analysis of the scenario or not
- The impact denotes the weight of this attribute over the qualitative analysis
- Reliability
- Computational resources
- Manageability
3. Qualitative Analysis
3.1. Classification of Attributes
3.2. Architecture Characterization—Scores
3.3. Outputs of the Qualitative Analysis
- Increment of data sources due to the new number of devices (e.g., new flexibilities in the system).
- Bigger data size (higher granularity of the data) from the data sources.
- Higher frequency of information exchange (data and commands), meaning moving towards real time operation with constant updates.
- Being point-to-point communication with a physical connection interface which can be fully used.
- A calculated latency where only if a required frequency of exchange is high enough for response times (real operation for control purpose of asset steering) would require a small upgrade on the communication technologies from GPRS to 4G or upcoming 5G to fix it.
- Internal actor networks (intranets), which can be easily optimized if needed at anytime.
4. Quantitative Analysis
4.1. Overview of Simulation Tools and Related Work
- Decoupled simulations. This approach is based on simulating each par of the problem independently using a commercial or validated software. On one hand, this approach uses appropriate state-of-the-art simulations for each dimension. On the other hand, it is limited since it is difficult to relate the output of each simulation. Some examples of this approach available in the literature are [34], where the performance of a wireless communication architecture for energy efficiency and Distributed Generation integration is evaluated taking into account the characteristics of the underlying power infrastructure [35], or the evaluation of the performance of the NB-PLC technology PRIME (PoweRline Intelligent Metering Evolution) using the well-known simulator SimPRIME [36] in different Smart Grid scenarios, such as Advanced Metering Infrastructures [37,38,39,40,41] or Demand Response [42]. All these studies were carried out using OMNeT++ Communication Network Simulator.
- Monolithic simulations. An straight-forward alternative to improve previous design is to build a simulation model that includes all the effects of both the telecommunication and power system’s part of the problem. Although this would provide good and more realistic results, the creation of such software will be complex and time-consuming. One specific aspect that makes this task very complex is the fact the the kind of effects that need to be modeled in each part of the problem (the telecommunication and the power systems) require a different simulation approach. Whereas the telecommunication simulations are based on event-based simulations, the power system simulations are based on the solution of transients through differential equations. The reader can refer to some monolithic simulators in the literature such as the Electric POwer and Communication syncHronizing Simulator (EPOCHS) [43] or the Global Event-driven CO-simulation framework (GECO) [44].
- Co-simulation. An alternative to previous approaches is the co-simulation. The basic idea underneath it is the use of specific simulations for each one of the problem and interconnect them using some kind of standardized solutions. This adds some more computational complexity but provides more realistic results, since one simulator is fed-back with the partial results of the other and vice versa. The Virtual Grid Integration Laboratory (VirGil) [45] is an example of this approach that uses Functional Mock-up Interface (FMI) [46] to interconnect three simulators: PowerFactory, OMNeT++ and Modelica. This project was followed-up by the CyberPhysical Co-Simulation Platform for Distributed Energy Resources in Smart Grids (CyDER) [47]. Moreover, one additional advantage of this type of solution is the possibility of including Hardware-in-the-Loop (HiL) in the simulation, as reported in [48]. A complete overview of other research initiatives is available in [49].
4.2. Considered Scenarios
- Scenario A (links 5’, 9’, 10’, 11’): The communication layer-stack in this scenario is set to DLMS/COSEM messages being transmitted over TCP/IP/GPRS.
- Scenario B (links 9 and 10): The communication layer-stack in this scenario is set to DLMS/COSEM messages being transmitted over G3-PLC.
- Scenario C: The communication layer-stack in this scenario is set to DLMS/COSEM messages being transmitted over TCP/IP/xDSL. This technology was included in the simulation as an alternative to GPRS (e.g., for link 11’). It can be also seen as a replicability and scalability analysis for links in Scenario A.
4.3. Simulation Modeling
- 300 m: 25 Mbps,
- 2 km: 16 Mbps,
- 5.2 km: 800 Kbps.
4.4. Simulation Setup
- The number of nodes in the networks. In order to model different network sizes, simulations consider 10, 100 and 1000 nodes.
- Maximum Segment Size (MSS). For the cases where TCP is part of the protocol stack, the length of the TCP segments have been set to 413 and 1600 bytes to cover a higher or lower message fragmentation.
- Channel impairments. Different channel qualities have been modeled by setting the transmission rate to different values. This models the fact that, for noisier channels, the communication protocols adapts by using a more robust communication mode and, thus, a lower transmission rate. Given this, for G3-PLC, the transmission rates have been set to , 34 and kbps, according to the standard. For xDSL, transmission rates have been set to 800 kbps, 16 Mbps and 25 Mbps. In both cases, the different values model noisier to less noisy channels.
- Frequency of message exchange. To model different applications, nodes transmit messages at the following frequencies: 10 minutes, 1 minute and 1 second, going from near-real-time to real-time.
- Percentage of link usage.
- Round-Trip Time (RTT) required for the request/response messages to be sent for all nodes in the network.
- Round-Trip Time to communicate with All nodes (RTTAll) in the network.
4.5. Simulation Results and Discussion
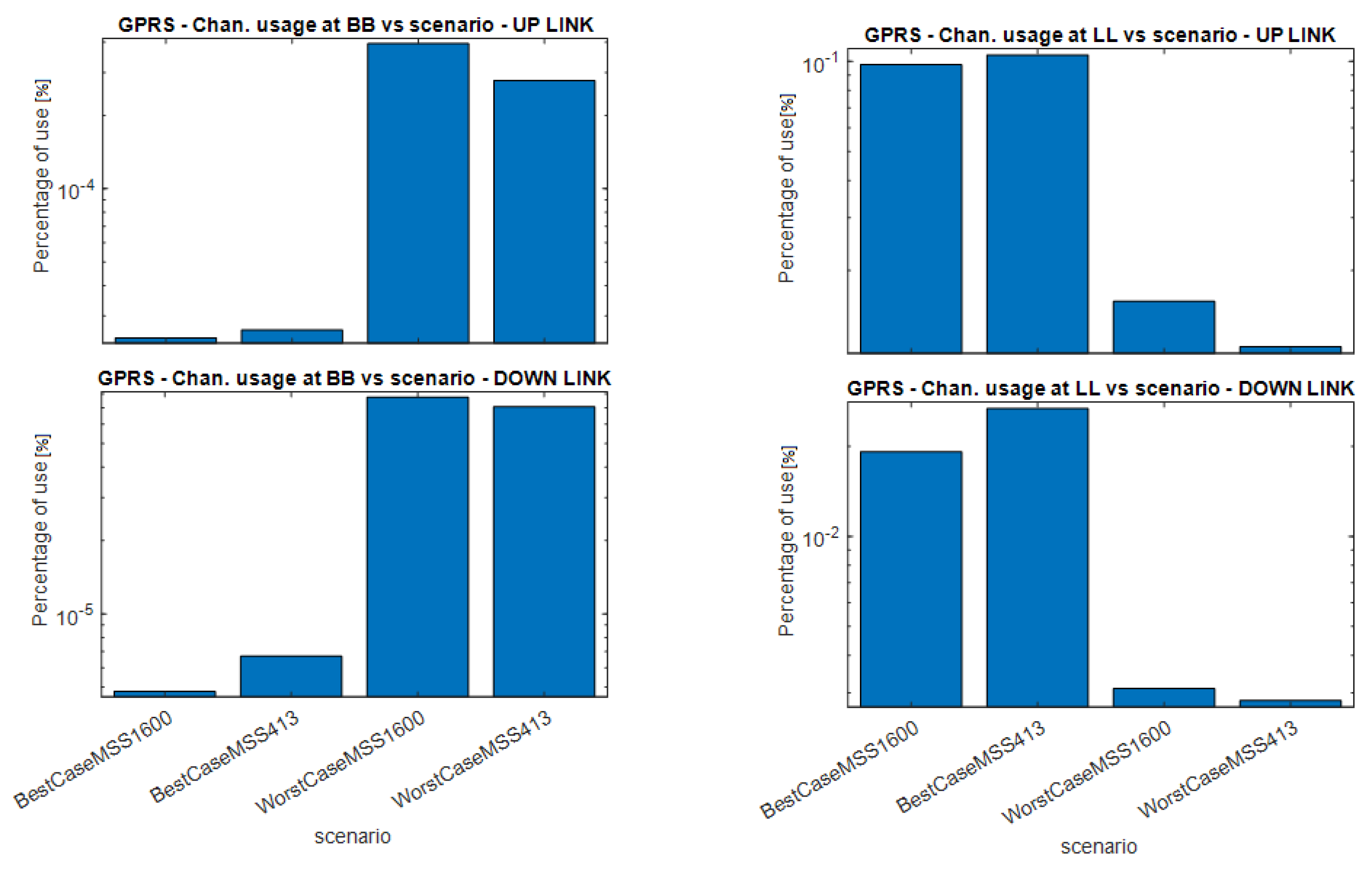
4.5.1. Scenario A (Links 5’, 9’, 10’, 11’)
4.5.2. Scenario B (Links 9 and 10)
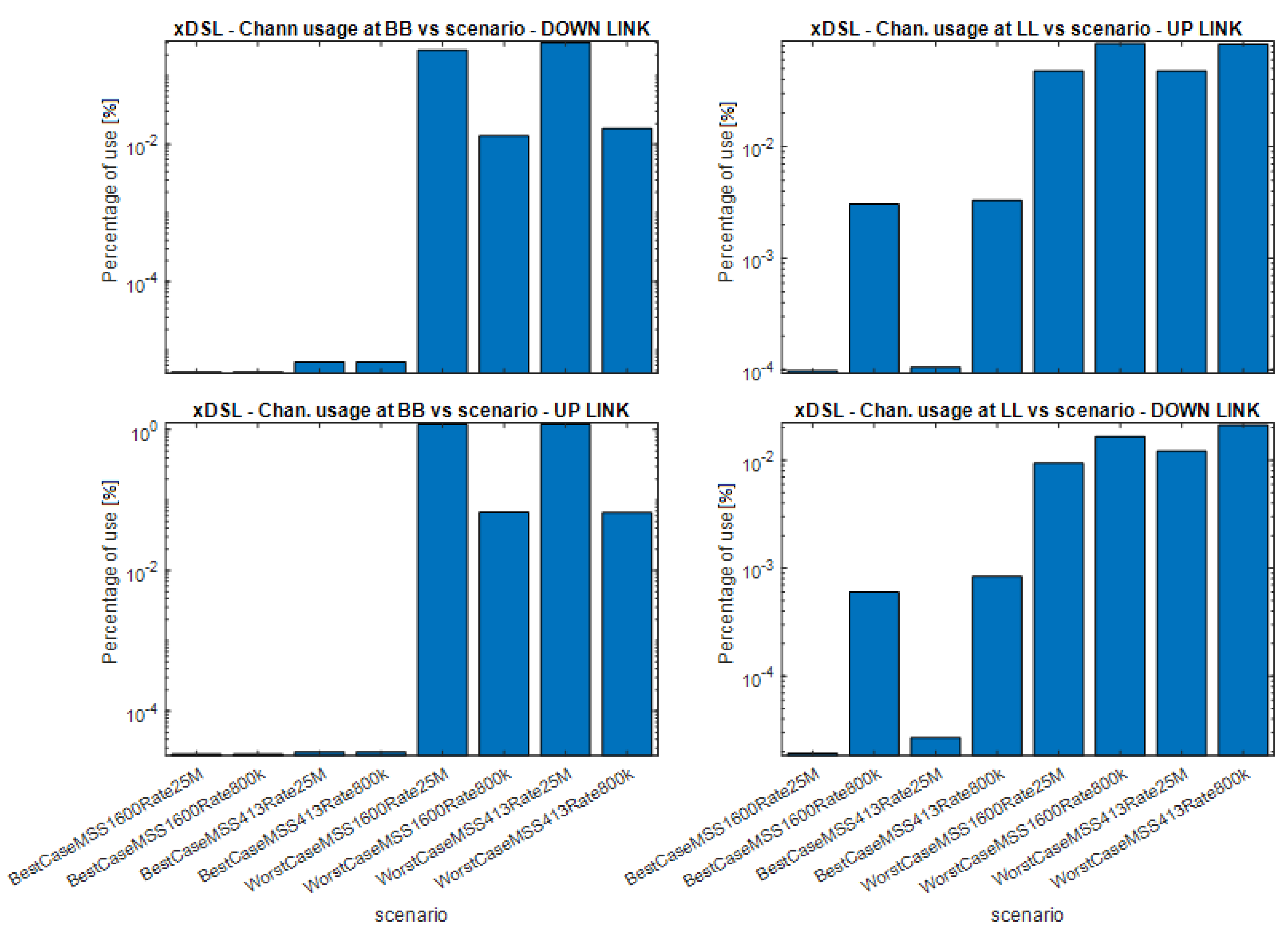
4.5.3. Scenario C (Link 11’)
5. Conclusions and Future Work
Author Contributions
Funding
Acknowledgments
Conflicts of Interest
Appendix A. Deviation Values in Simulations
| Scenario | RTTAll [s] | Usage (Up-Link) [%] | Usage (Down-Link) [%] |
|---|---|---|---|
| N10—rt10min Rate3,2kbps | 4,078 | 0,003985 | 0,085095 |
| N10—rt10min Rate34kbps | 9,478 | 0,000424 | 0,000539 |
| N10—rt10min Rate54,6kbps | 5,900 | 0,00015 | 0,00064 |
| N1000—rt1s Rate3,2kbps | 47,170 | 0,007147 | 0,063861 |
| N1000—rt1s Rate34kbps | 101,170 | 0,001198 | 0,001853 |
| N1000—rt1s Rate54,6kbps | 59,872 | 0,000856 | 0,005548 |
| Scenario | RTTAll [s] | Usage (Up-Link) [%] | Usage (Down-Link) [%] | ||
|---|---|---|---|---|---|
| Local-Loop | Back-Bone | Local-Loop | Back-Bone | ||
| BestCaseMSS1600 | 0,944 | 2,44756 | 2,82055 | 1,96349 | 2,17273 |
| BestCaseMSS413 | 1,206 | 2,84862 | 7,12053 | 8,00869 | 2,35843 |
| WorstCaseMSS1600 | 10,150 | 4,30603 | 6,58232 | 5,96204 | 1,12839 |
| WorstCaseMSS413 | 11,960 | 2,95386 | 5,02923 | 8,61686 | 1,24234 |
| Scenario | RTTAll [s] | Usage (Up-Link) [%] | Usage (Down-Link) [%] | ||
|---|---|---|---|---|---|
| Local-Loop | Back-Bone | Local-Loop | Back-Bone | ||
| BestCaseMSS1600Rate25M | 0,059 | 1,4524 | 1,8892 | 7,38387 | 3,7159 |
| BestCaseMSS1600Rate800k | 0,059 | 4,5386 | 1,8892 | 2,30743 | 3,7159 |
| BestCaseMSS413Rate25M | 0,052 | 2,026 | 2,1309 | 8,50412 | 5,1835 |
| BestCaseMSS413Rate800k | 0,052 | 6,3311 | 2,1308 | 2,6575 | 5,1835 |
| WorstCaseMSS1600Rate25M | 0,769 | 0,00041204 | 0,05372594 | 0,002094727 | 0,01056818 |
| WorstCaseMSS1600Rate800k | 0,764 | 4,4128 | 0,00018366 | 0,000225304 | 3,6167 |
| WorstCaseMSS413Rate25M | 0,898 | 0,00082054 | 0,08266274 | 0,003222873 | 0,02104583 |
| WorstCaseMSS413Rate800k | 0,898 | 9,2221 | 0,00029731 | 0,000362389 | 7,5675 |
References
- H2020 Project InteGrid. Available online: https://integrid-h2020.eu/ (accessed on 21 July 2020).
- Hang, N. How to Develop Scalable Business Model? A Study on the Scalability of Business Model in Finnish ICT & Software Industry. Master’s Thesis, Oulu Business School, Oulu, Finland, 2014. [Google Scholar]
- Rodríguez Calvo, A. Scalability and Replicability of the Impact of Smart Grid Solutions in Distribution Systems. Ph.D. Thesis, Universidad Pontificia Comillas, Madrid, Spain, 2017. [Google Scholar]
- Sigrist, L.; May, K.; Morch, A.; Verboven, P.; Vingerhoets, P.; Rouco, L. On Scalability and Replicability of Smart Grid Projects—A Case Study. Energies 2016, 9, 195. [Google Scholar] [CrossRef]
- Ma, S.; Zhang, H.; Xing, X. Scalability for Smart Infrastructure System in Smart Grid: A Survey. Wirel. Pers. Commun. 2017, 99. [Google Scholar] [CrossRef]
- Nafi, N.; Ahmed, K.; Gregory, M.; Datta, M. A Survey of Smart Grid Architectures, Applications, Benefits and Standardization. J. Netw. Comput. Appl. 2016, 76. [Google Scholar] [CrossRef]
- Müller, C.; Georg, H.; Wietfeld, C. A Modularized and Distributed Simulation Environment for Scalability Analysis of Smart Grid ICT Infrastructures. In Proceedings of the 5th International ICST Conference on Simulation Tools and Techniques (SIMUTools 2012), At Desenzano del Garda, Italy, 19–23 May 2012; pp. 327–330. [Google Scholar] [CrossRef]
- Bergmann, J.; Glomb, C.; Götz, J.; Heuer, J.; Kuntschke, R.; Winter, M. Scalability of Smart Grid Protocols: Protocols and Their Simulative Evaluation for Massively Distributed DERs. In Proceedings of the 2010 First IEEE International Conference on Smart Grid Communications, Desenzano del Garda, Italy, 6 October 2010; pp. 131–136. [Google Scholar]
- Kroß, J.; Brunnert, A.; Prehofer, C.; Runkler, T.A.; Krcmar, H. Model-Based Performance Evaluation of Large-Scale Smart Metering Architectures. In Proceedings of the 4th International Workshop on Large-Scale Testing, Austin, TX, USA, 1 February 2015; Association for Computing Machinery: New York, NY, USA, 2015; pp. 9–12. [Google Scholar] [CrossRef]
- Gungor, V.; Lambert, F. A survey on communication networks for electric system automation. Comput. Netw. 2006, 50, 877–897. [Google Scholar] [CrossRef]
- CEN-CENELEC-ETSI Smart Grid Coordination Group. Smart Grid Reference Architecture. Available online: https://www.cencenelec.eu/standards/Sectorsold/SustainableEnergy/SmartGrids/Pages/default.aspx (accessed on 21 July 2020).
- H2020 Project InterFLEX. Available online: https://interflex-h2020.com/ (accessed on 21 July 2020).
- H2020 Project Discern. Available online: https://cordis.europa.eu/project/rcn/106040/factsheet/en (accessed on 21 July 2020).
- Fischer, L.; Uslar, M.; Morrill, D.; Doering, M.; Haesen, E. Study on the Evaluation of Risks of Cyber-Incidents and on Costs of Preventing Cyber-Incidents in the Energy Sector; European Commission: Berlin, Germany, 2018. [Google Scholar]
- Uslar, M.; Rohjans, S.; Neureiter, C.; Pröstl Andrén, F.; Velasquez, J.; Steinbrink, C.; Efthymiou, V.; Migliavacca, G.; Horsmanheimo, S.; Brunner, H.; et al. Applying the smart grid architecture model for designing and validating system-of-systems in the power and energy domain: A European perspective. Energies 2019, 12, 258. [Google Scholar] [CrossRef]
- Santodominigo, R.; Uslar, M.; Göring, A.; Gottschalk, M.; Nordström, L.; Saleem, A.; Chenine, M. SGAM-based methodology to analyse Smart Grid solutions in DISCERN European research project. In Proceedings of the 2014 IEEE International Energy Conference (ENERGYCON), Cavtat, Croatia, 13–16 May 2014. [Google Scholar] [CrossRef]
- Neureiter, C.; Eibl, G.; Engel, D.; Schlegel, S.; Uslar, M. A concept for engineering smart grid security requirements based on SGAM models. Comput. Sci. Res. Dev. 2016, 31, 65–71. [Google Scholar] [CrossRef]
- SGAM Toolbox, Modelling Aid for the Smart Grid Architecture Model. Available online: https://sgam-toolbox.org/ (accessed on 21 July 2020).
- Le Baut, J.; Leimgruber, F.; Korner, C.; Gutschi, C. The Traffic Light System to support Flexibility Exploitation from stressed distribution grids. In CIRED 2019 Proceedings; AIM: Queensland, Australia, 2019. [Google Scholar]
- Bessa, R.; Coelho, F.; Rodrigues, X.; Alonso, A.; Soares, T.; Pires, G.; Matos, P.; Prates, I.; Shahrokni, H.; Mäkivierikko, A. Grid And Market Hub: Empowering Local Energy Communities in Integrid. In Proceedings of the CIRED Workshop, Ljubljana, Slovenia, 7–8 June 2018. [Google Scholar]
- IEEE Guide for Smart Grid Interoperability of Energy Technology and Information Technology Operation with the Electric Power System (EPS), End-Use Applications, and Loads; IEEE Std 2030-2011; IEEE: Piscataway, NJ, USA, 2011; pp. 1–126.
- López, G.; Moreno, J.; Amarís, H.; Salazar, F. Paving the road toward Smart Grids through large-scale advanced metering infrastructures. Electr. Power Syst. Res. 2015, 120, 194–205. [Google Scholar] [CrossRef]
- (EPRI), E.P.R.I. Smart Grid Roadmap Guidebook; Technical Report 1025470; EPRI: Knoxville, TN, USA, 2012. [Google Scholar]
- Bondy, A.; Murty, U.S.R. Graph Theory; Graduate Texts in Mathematics; Springer: London, UK, 2011. [Google Scholar]
- OMNeT++ Discrete Event Simulator. Available online: https://omnetpp.org/ (accessed on 20 July 2020).
- Matanza Domingo, J. Improvements in the PLC Systems for Smart Grids Environments. Ph.D. Thesis, Pontifical University of Comillas, Madrid, Spain, 2013. [Google Scholar]
- Lopez Lopez, G. Contribution to Machine-to-Machine Architectures for Smart Grids. Ph.D. Thesis, University Carlos III, Madrid, Spain, 2014. [Google Scholar]
- Smart Distribution System OperaTion for MAximizing the INtegration of RenewABLE Generation Project—SUSTAINABLE. Available online: https://cordis.europa.eu/project/id/308755 (accessed on 21 July 2020).
- López, G.; Matanza, J.; De La Vega, D.; Castro, M.; Arrinda, A.; Moreno, J.I.; Sendin, A. The Role of Power Line Communications in the Smart Grid Revisited: Applications, Challenges, and Research Initiatives. IEEE Access 2019, 7, 117346–117368. [Google Scholar] [CrossRef]
- Corchado, J.A.; Manero, E.; Cortés, J.A.; Sanz, A.; Díez, L. Application-layer performance analysis of PRIME in Smart Metering networks. In Proceedings of the 2016 IEEE International Conference on Smart Grid Communications (SmartGridComm), Sydney, NSW, Australia, 6–9 November 2016; pp. 332–337. [Google Scholar]
- Uribe, N.; Angulo, I.; De la Vega, D.; Arzuaga, T.; Fernandez, I.; Arrinda, A. Smart Grid Applications for a Practical Implementation of IP over Narrowband Power Line Communications. Energies 2017, 10, 178. [Google Scholar]
- Lopez, G.; Moreno, J.I.; Sanchez, E.; Martinez, C.; Martin, F. Noise Sources, Effects and Countermeasures in Narrowband Power-Line Communications Networks: A Practical Approach. Energies 2017, 10, 1238. [Google Scholar] [CrossRef]
- Mets, K.; Ojea, J.A.; Develder, C. Combining Power and Communication Network Simulation for Cost-Effective Smart Grid Analysis. IEEE Commun. Surv. Tutor. 2014, 16, 1771–1796. [Google Scholar] [CrossRef]
- López, G.; Moura, P.; Moreno, J.; Camacho, J. Multi-Faceted Assessment of a Wireless Communications Infrastructure for the Green Neighborhoods of the Smart Grid. Energies 2014, 7, 3453–3483. [Google Scholar] [CrossRef]
- López, G.; Moura, P.S.; Custodio, V.; Moreno, J.I. Modeling the neighborhood area networks of the smart grid. In Proceedings of the 2012 IEEE International Conference on Communications (ICC), Ottawa, ON, Canada, 10–15 June 2012; pp. 3357–3361. [Google Scholar]
- SimPRIME Simulator. Available online: https://www.iit.comillas.edu/jmatanza/SimPRIME/ (accessed on 29 March 2019).
- Matanza, J.; Alexandres, S.; Rodriguez-Morcillo, C. Automatic meter-reading simulation through power line communication. In Proceedings of the 2013 IEEE 21st International Symposium on Modelling, Analysis and Simulation of Computer and Telecommunication Systems, San Francisco, CA, USA, 14–16 August 2013; pp. 283–287. [Google Scholar]
- Matanza, J.; Alexandres, S.; Rodríguez-Morcillo, C. Advanced metering infrastructure performance using European low-voltage power line communication networks. IET Commun. 2014, 8, 1041–1047. [Google Scholar] [CrossRef]
- González-Sotres, L.; Mateo, C.; Frías, P.; Rodríguez-Morcillo, C.; Matanza, J. Replicability analysis of PLC PRIME networks for smart metering applications. IEEE Trans. Smart Grid 2018, 9, 827–835. [Google Scholar] [CrossRef]
- Seijo, M.; López, G.; Matanza, J.; Moreno, J.I. Planning and performance challenges in power line communications networks for smart grids. Int. J. Distrib. Sens. Netw. 2016, 2016, 28. [Google Scholar] [CrossRef]
- Seijo, M.; López, G.; Matanza, J.; Moreno, J.I. From the Lap(top) to the Jungle: Validating the PRIME Network Simulator SimPRIME with Data from the Field. In Proceedings of the 2019 IEEE International Symposium on Power Line Communications and its Applications (ISPLC), Praha, Czech Republic, 3–5 April 2019; pp. 1–6. [Google Scholar] [CrossRef]
- Matanza, J.; Kiliccote, S.; Alexandres, S.; Rodríguez-Morcillo, C. Simulation of low-voltage narrow-band power line communication networks to propagate OpenADR signals. J. Commun. Networks 2015, 17, 656–664. [Google Scholar] [CrossRef]
- Hopkinson, K.; Wang, X.; Giovanini, R.; Thorp, J.; Birman, K.; Coury, D. EPOCHS: A platform for agent-based electric power and communication simulation built from commercial off-the-shelf components. IEEE Trans. Power Syst. 2006, 21, 548–558. [Google Scholar] [CrossRef]
- Lin, H.; Veda, S.S.; Shukla, S.S.; Mili, L.; Thorp, J. GECO: Global event-driven co-simulation framework for interconnected power system and communication network. IEEE Trans. Smart Grid 2012, 3, 1444–1456. [Google Scholar] [CrossRef]
- Chatzivasileiadis, S.; Bonvini, M.; Matanza, J.; Yin, R.; Nouidui, T.; Kara, E.; Parmar, R.; Lorenzetti, D.; Wetter, M.; Kiliccote, S. Cyber-physical modeling of distributed resources for distribution system operations. Proc. IEEE 2016, 104. [Google Scholar] [CrossRef]
- Funtional Mock-Up Interface for Model Exchange and Co-Simulation. Available online: https://www.fmi-standard.org/ (accessed on 29 March 2019).
- Nouidui, T.S.; Coignard, J.; Gehbauer, C.; Wetter, M.; Joo, J.Y.; Vrettos, E. CyDER—An FMI-based co-simulation platform for distributed energy resources. J. Build. Perform. Simul. 2019, 12, 566–579. [Google Scholar] [CrossRef]
- Rotger-Griful, S.; Chatzivasileiadis, S.; Jacobsen, R.H.; Stewart, E.M.; Domingo, J.M.; Wetter, M. Hardware-in-the-loop co-simulation of distribution grid for demand response. In Proceedings of the 2016 Power Systems Computation Conference (PSCC), Genoa, Italy, 20–24 June 2016; pp. 1–7. [Google Scholar]
- Palensky, P.; Van Der Meer, A.A.; Lopez, C.D.; Joseph, A.; Pan, K. Cosimulation of intelligent power systems: Fundamentals, software architecture, numerics, and coupling. IEEE Ind. Electron. Mag. 2017, 11, 34–50. [Google Scholar] [CrossRef]
- Seijo, M.; López, G.; Moreno, J.I.; Matanza, J.; Alexandres, S.; Rodríguez-Morcillo, C.; Martín, F. Let there be light: Dissecting how PRIME networks work based on actual traffic traces. In Proceedings of the 2015 IEEE International Conference on Smart Grid Communications (SmartGridComm), Miami, FL, USA, 2–5 November 2015; pp. 472–477. [Google Scholar]
- Meyer, M. TCP performance over GPRS. In Proceedings of the WCNC, 1999 IEEE Wireless Communications and Networking Conference (Cat. No.99TH8466), New Orleans, LA, USA, 21–24 September 1999; Volume 3, pp. 1248–1252. [Google Scholar] [CrossRef]
- Rendon, J.; Casadevall, F.; Serarols, D. Snoop TCP performance over GPRS. In Proceedings of the IEEE VTS 53rd Vehicular Technology Conference, Spring 2001, Proceedings (Cat. No.01CH37202), Rhodes, Greece, 6–9 May 2001; Volume 3, pp. 2103–2107. [Google Scholar] [CrossRef]
- Benko, P.; Malicsko, G.; Veres, A. A large-scale, passive analysis of end-to-end TCP performance over GPRS. In Proceedings of the IEEE INFOCOM 2004, Hong Kong, China, 7–11 March 2004; Volume 3, pp. 1882–1892. [Google Scholar] [CrossRef]
- Todinca, D.; Pescaru, D.; Viţălariu, M. OMNeT++ Models for Resource Allocation in Wireless Networks. In Proceedings of the 1st International Conference on Simulation Tools and Techniques for Communications, Networks and Systems Workshops, Marseille, France, 3–7 March 2008; ICST—Institute for Computer Sciences, Social-Informatics and Telecommunications Engineering: Brussels, Belgium, 2008; pp. 84:1–84:8. [Google Scholar]
- Shrestha, G.M.; Jasperneite, J. Performance evaluation of cellular communication systems for m2m communication in smart grid applications. In Proceedings of the International Conference on Computer Networks, Szczyrk, Poland, 19–23 June 2012; pp. 352–359. [Google Scholar]
- NIST PAP 2. Wireless Functionality and Characteristics Matrix for the Identification of Smart Grid Domain Application. Available online: http://www.cs.cmu.edu/~jorjeta/Papers/NISTIR7761.pdf (accessed on 21 July 2020).
- Matanza, J.; Alexandres, S.; Rodriguez-morcillo, C. Performance Evaluation of Two Narrowband PLC Systems: PRIME and G3. Comput. Stand. Interfaces 2013, 36, 198–208. [Google Scholar] [CrossRef]











| SGAM ID | Source | Receiver | Protocol | Information Object | Frequency of Exchange | Data Structure | Communication Technology |
|---|---|---|---|---|---|---|---|
| 11’ | PLC (PLC: Power Line Communication) concentrator at secondary substation | DSO-network | DLMS, COSEM (DLSM, COSEM: Device Language Message Specification, Companion Specification for Energy Metering respectively) (IEC 62056-5-3) | 15-min (P, Q) & (U, I) (P, Q, U, I: active power, reactive power, voltage, current respectively) MV/LV (MV/LV: Medium Voltage/Low Voltage respectively) substation measurements | Once per day | DLMS | TCP/IP (TCP/IP: Transmission Control Protocol/Internet Protocol respectively) over GPRS (GPRS: General Packet Radio Service) |
| Impact | 3—High | 2—Medium | 1—Low |
|---|---|---|---|
| Possible impact into the scaling of the system | Will have a great impact and is a constraint | Medium impact and could be a constraint | Low impact, will hardly become a constraint |
| Interest | 3—Very important | 2—Important | 1—Not important |
| Measures if the attribute shall be taken into consideration or not | Must be included into the analysis | Nice to have, but not fully necessary | Attribute is not interesting at all |
| Category | Attributes |
|---|---|
| Reliability | Autonomy (C) a Protocol Robustness (L) b Protocol Reliability (C & L) c Cyber-Security (C & L) Redundancy (C) |
| Computational Resources | Storage (C) Processing speed (C) Channel capacity (L) Channel latency (L) |
| Manageability | I/O Handling (C) Configuration effort/complexity (C & L) Automation (C & L) Tech. generation (C & L) |
| Score | Description |
|---|---|
| 1 | Not upgradable, Lower than 1 GHz |
| 2 | Not upgradable, Lower than 2 GHz |
| 3 | Not upgradable, Lower than 5GHz |
| 4 | System used in the scenario under study, scalable upon manual request |
| 5 | System used in the scenario under study, scales automatically |
| Actor-Type | Weight—Large Customer Commercial VPP |
|---|---|
| DSO | 0.25 |
| VPP | 0.25 |
| GM-Hub | 0.2 |
| Technology provider—1 | 0.15 |
| Technology provider—2 | 0.15 |
| Category | Attribute | Considered | Impact |
|---|---|---|---|
| Autonomy | Yes | 1 | |
| Protocol Robustness | No | 1 | |
| Reliability | Protocol Reliability | No | 1 |
| Cyber Security | Yes | 2 | |
| Redundancy | Yes | 2 | |
| Computational resources | Storage | Yes | 2 |
| Processing speed | Yes | 2 | |
| Channel capacity | Yes | 2 | |
| Channel latency | Yes | 1 | |
| Manageability | I/O Handling | Yes | 2 |
| Configuration effort/complex | Yes | 3 | |
| Automation | Yes | 2 | |
| Tech generation | No | 2 |
| SGAM ID | Source | Receiver | Application Protocol | Data Structure | Communication Technology |
|---|---|---|---|---|---|
| 2–3 | Smart Meter @ PSS—through Switch | DSO—Network (router) | DLMS, COSEM (IEC 62056-5-3) | COSEM | Fiber optics |
| 4 | Smart meter per MV feeder | DSO—Network (router) | DLMS, COSEM (IEC 62056-5-3) | COSEM | Fiber optics |
| 5’ | Smart Meter @ SSS | DSO—Network (router) | DLMS, COSEM (IEC 62056-5-3) | COSEM | TCP/IP over GPRS |
| 7 | Data concentrator @ SSS | DSO—Network (router) | DLMS, COSEM (IEC 62056-5-3) | COSEM | Fiber optics |
| 9 | Smart meter per DER (DSO) | Data concentrator @ SSS | DLMS, COSEM (IEC 62056-5-3) | COSEM | G3 PLC |
| 9’ | Smart meter per DER (DSO) | Data concentrator @ SSS | DLMS, COSEM (IEC 62056-5-3) | COSEM | TCP/IP over GPRS |
| 10 | SM per LV customer (DSO) | Data concentrator @ SSS | DLMS, COSEM (IEC 62056-5-3) | COSEM | G3 PLC |
| 10’ | SM per LV customer (DSO) | Data concentrator @ SSS | DLMS, COSEM (IEC 62056-5-3) | COSEM | TCP/IP over GPRS |
| 11’ | Data concentrator @ SSS | DSO—Network (router) | DLMS, COSEM (IEC 62056-5-3) | COSEM | TCP/IP over GPRS |
| SGAM ID | Source | Receiver | Scenario | Protocol Stack | Best Case | Worst Case | KPI |
|---|---|---|---|---|---|---|---|
| 5’ | Smart Meter @ SSS | DSO—Network (router) | Link usage (%) TTR (s) TTRAll (s) | ||||
| 9’ | Smart meter per DER (DSO) | Data concentrator @ SSS | |||||
| 10’ | SM per LV customer (DSO) | Data concentrator @ SSS | A | DLMS/COSEM TCP/IP GPRS | 10 nodes 10 min. freq. exchange | 1000 nodes 1 s freq. exchange | |
| 11’ | Data concentrator @ SSS | DSO—Network (router) | |||||
| 9 | Smart meter per DER (DSO) | Data concentrator @ SSS | DLMS/COSEM G3-PLC | 10 nodes 10 min. freq. exchange 53.6 kbps | 1000 nodes 1 s freq. exchange 3.2 kbps | ||
| 10 | SM per LV customer (DSO) | Data concentrator @ SSS | B | ||||
| 11’ | Data concentrator @ SSS | DSO—Network (router) | C | DLMS/COSEM TCP/IP xDSL | 10 nodes 10 min. freq. exchange 25 Mbps | 1000 nodes 1 s freq. exchange 800 kbps |
| Transmission Rates in kbps | ||
|---|---|---|
| Comm. Mode | Robust | Normal |
| DBPSK | 3.2 | 15.8 |
| DQPSK | - | 34 |
| D8PSK | - | 54.6 |
© 2020 by the authors. Licensee MDPI, Basel, Switzerland. This article is an open access article distributed under the terms and conditions of the Creative Commons Attribution (CC BY) license (http://creativecommons.org/licenses/by/4.0/).
Share and Cite
Potenciano Menci, S.; Le Baut, J.; Matanza Domingo, J.; López López, G.; Cossent Arín, R.; Pio Silva, M. A Novel Methodology for the Scalability Analysis of ICT Systems for Smart Grids Based on SGAM: The InteGrid Project Approach. Energies 2020, 13, 3818. https://doi.org/10.3390/en13153818
Potenciano Menci S, Le Baut J, Matanza Domingo J, López López G, Cossent Arín R, Pio Silva M. A Novel Methodology for the Scalability Analysis of ICT Systems for Smart Grids Based on SGAM: The InteGrid Project Approach. Energies. 2020; 13(15):3818. https://doi.org/10.3390/en13153818
Chicago/Turabian StylePotenciano Menci, Sergio, Julien Le Baut, Javier Matanza Domingo, Gregorio López López, Rafael Cossent Arín, and Manuel Pio Silva. 2020. "A Novel Methodology for the Scalability Analysis of ICT Systems for Smart Grids Based on SGAM: The InteGrid Project Approach" Energies 13, no. 15: 3818. https://doi.org/10.3390/en13153818
APA StylePotenciano Menci, S., Le Baut, J., Matanza Domingo, J., López López, G., Cossent Arín, R., & Pio Silva, M. (2020). A Novel Methodology for the Scalability Analysis of ICT Systems for Smart Grids Based on SGAM: The InteGrid Project Approach. Energies, 13(15), 3818. https://doi.org/10.3390/en13153818

