Fail-Operation Control of In-Wheel Motor Drive Electric Vehicle Based on Wheel Isolation and Yaw Moment Compensation
Abstract
:1. Introduction
2. Dynamic Models
2.1. Vehicle Control Model
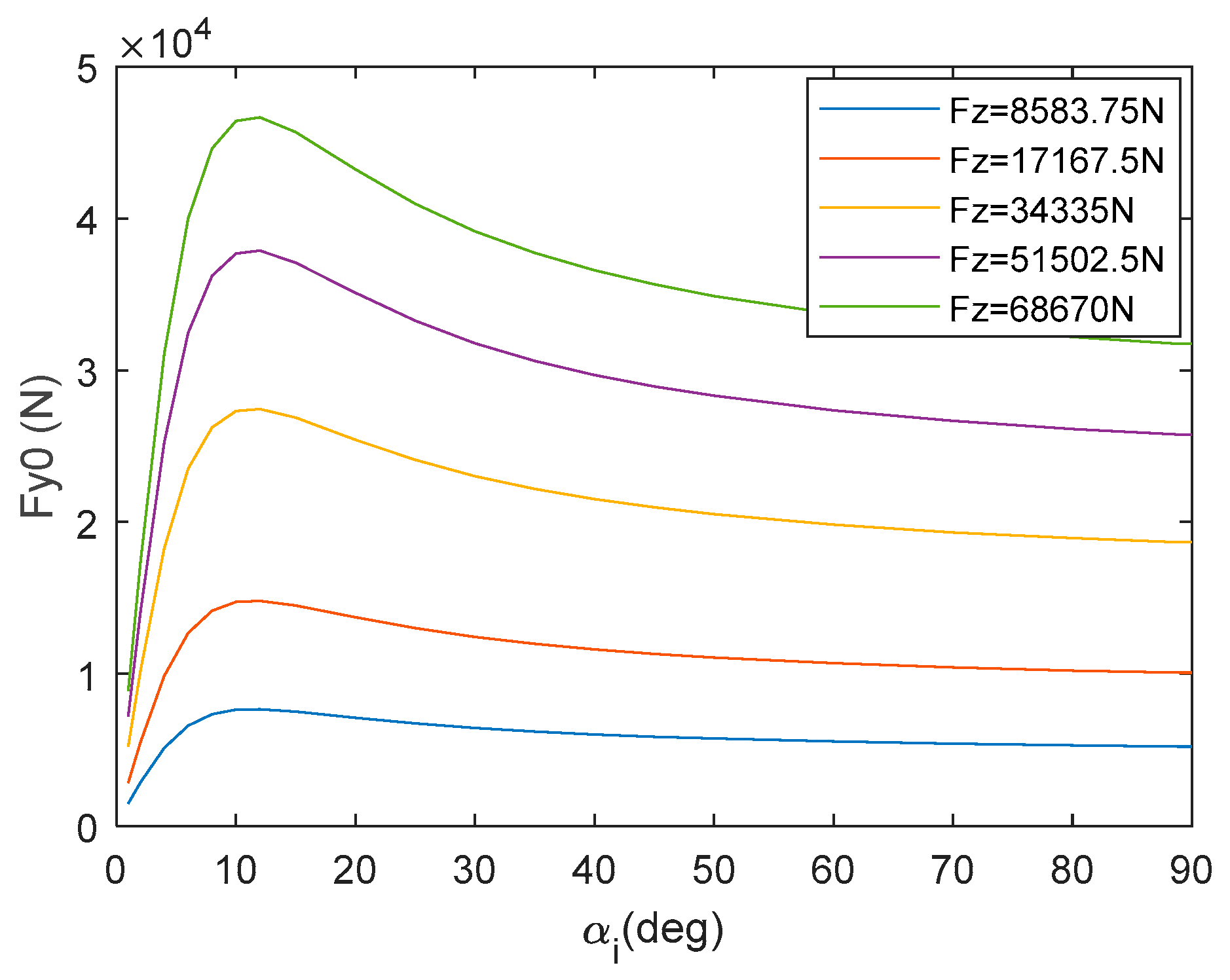
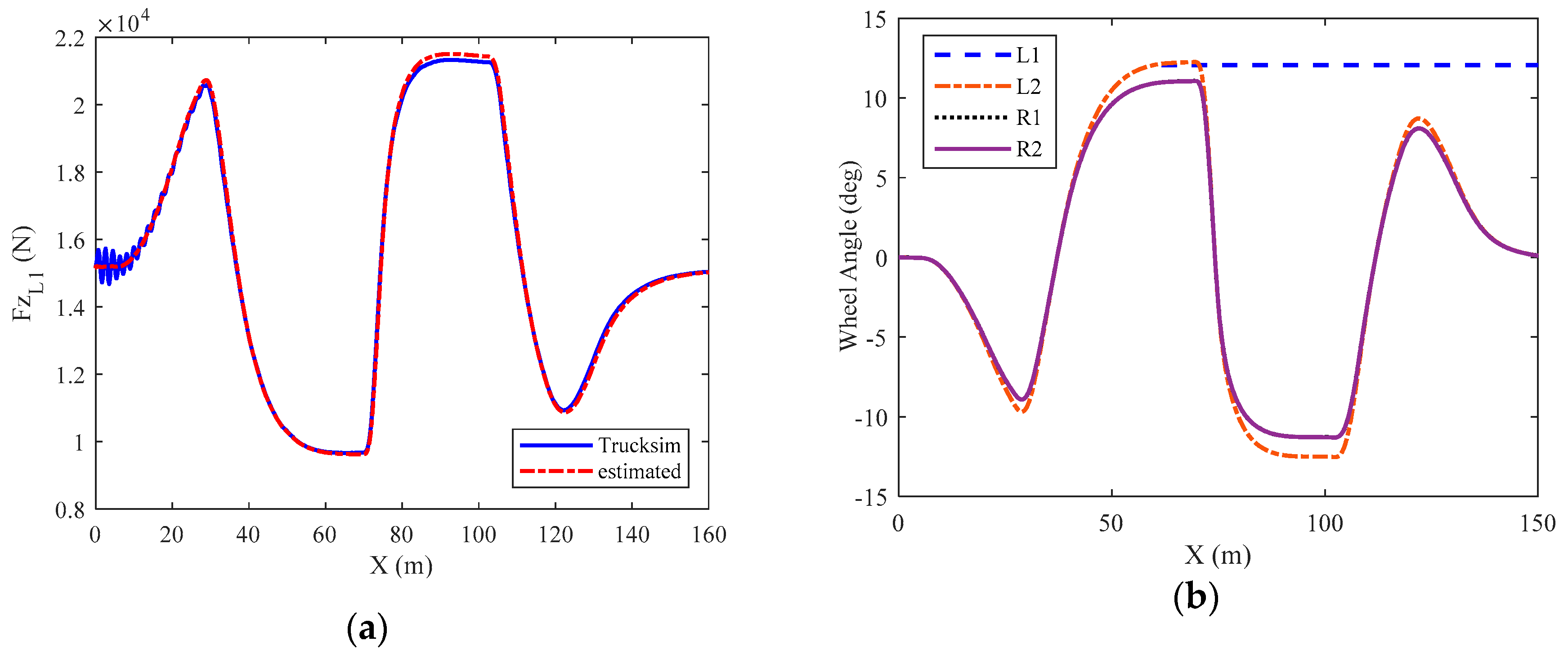
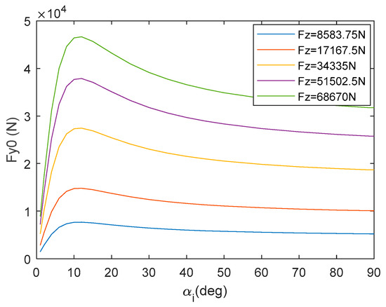
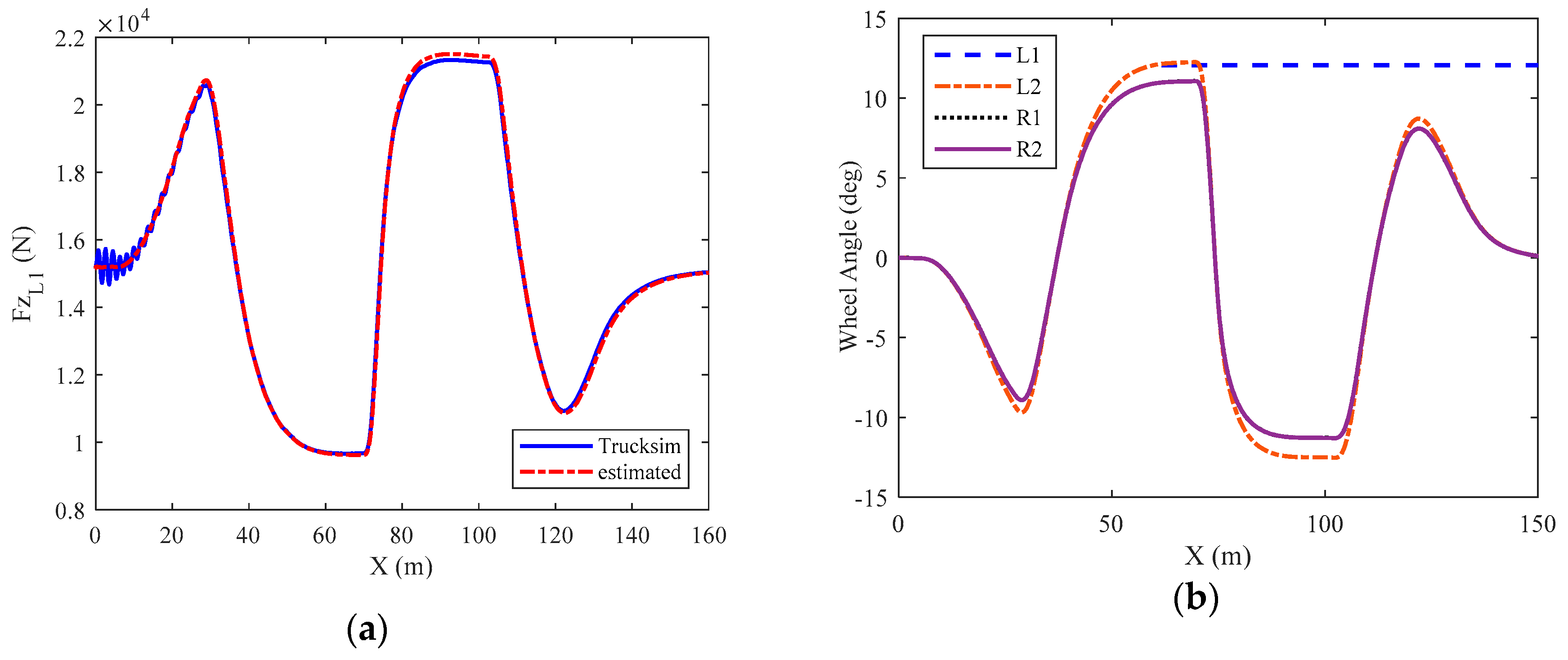
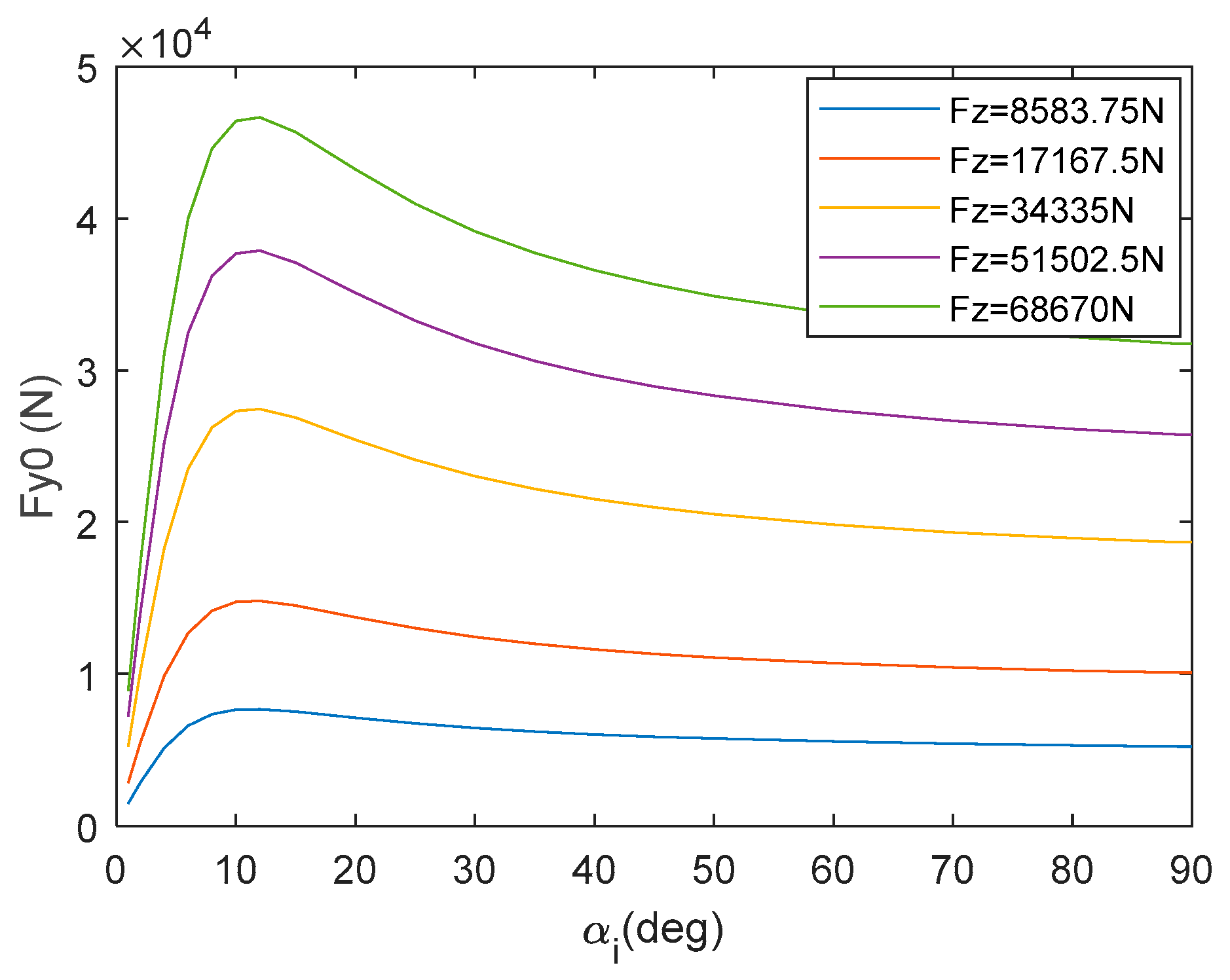
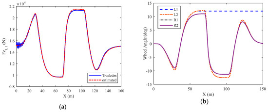
2.2. Tire Force Estimation
3. Fail-Operation Control Strategy
3.1. LQR Controller
3.2. Optimal Tire Force Distribution
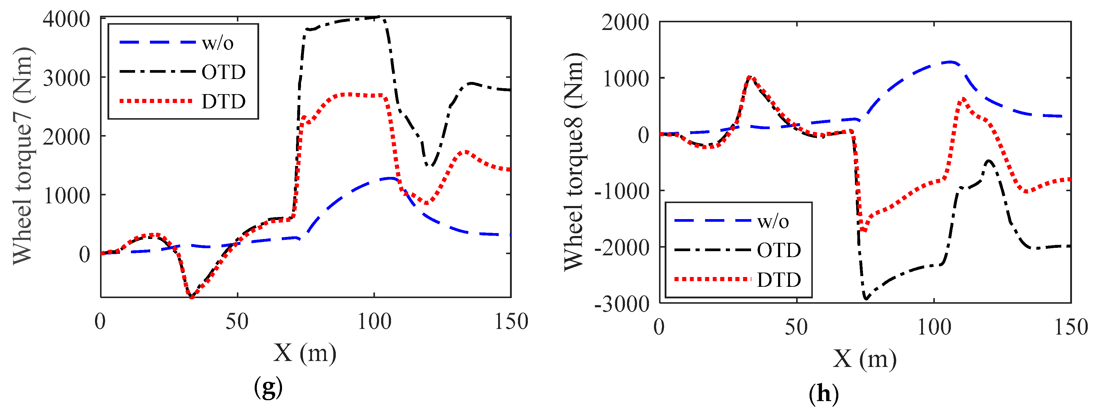
4. Fail-Operation Realization
5. Conclusions
- (1)
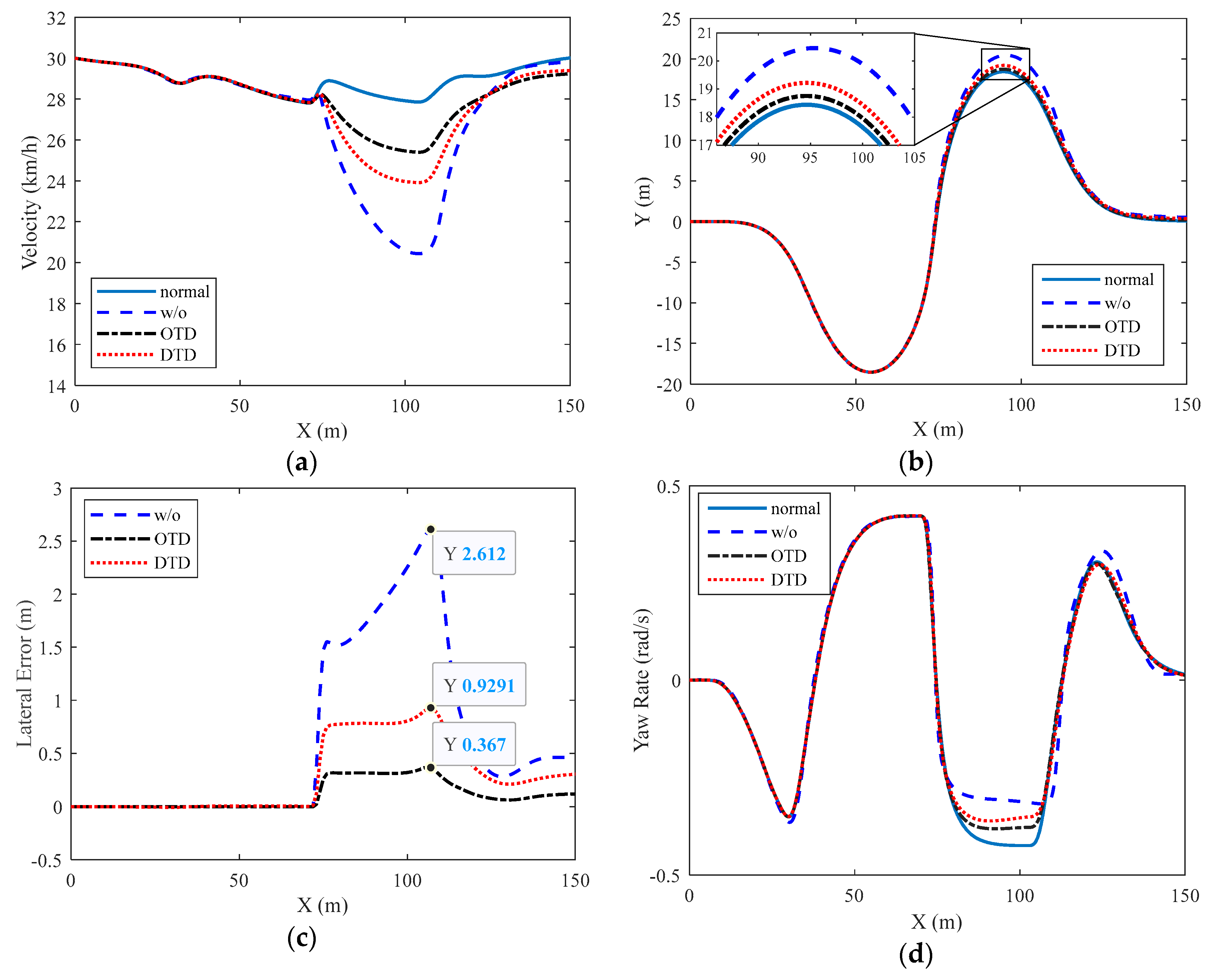
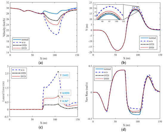
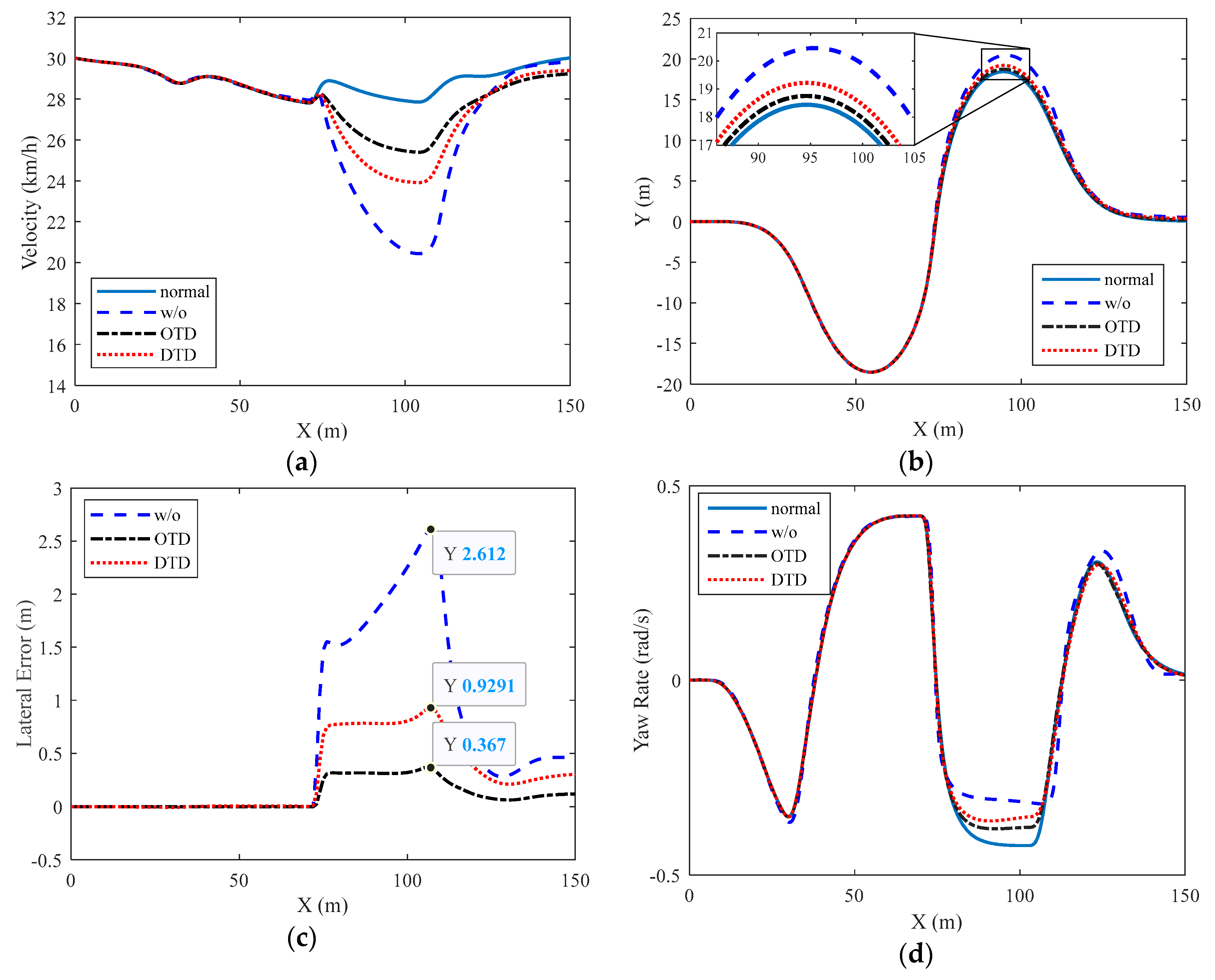
- To improve the fail-operation ability of IWMD and wheel independent steering vehicles, a fail-operation control strategy through failed wheel isolation and yaw moment compensation is proposed based on the optimal driving force distribution. When steering failure occurs, the LQR utilizes the vehicle side-slip angle deviations and yaw rate to decide the additional yaw moment of the vehicle. The tire force estimation modular estimates the lateral tire force of the failed wheel to calculate the resisting yaw moment. The optimal driving force distribution controller isolates the failed wheel and allocates the additional vehicle yaw moment and the estimated wheel resisting yaw moment to normal driving wheels to correct the vehicle.
- (2)
- By means of joint simulation of Trucksim and MATLAB/Simulink, the effectiveness of the proposed control strategy was verified. Results showed that the optimal distribution of the driving force reduced the lateral trajectory deviation of the fail-operation vehicle by 86% and 60.5%, respectively, compared with the vehicles without control and under DTD control, which enhanced the road tracing ability of the fault vehicle. Meanwhile, the proposed OTD controlled vehicle showed great superiority in terms of velocity maintaining.
- (3)
- Fault diagnosis and identification will be studied in the future to pave way for the experimental test, and furtherly validate the proposed fail-operation control strategies.
Author Contributions
Funding
Conflicts of Interest
References
- Jin, L.Q.; Wang, Q.N.; Zhang, H.H.; Wang, J.N. A study on differential technology of in-wheel motor drive EV. Automot. Eng. 2007, 29, 700–704. [Google Scholar]
- Wang, Q.N.; Wang, J.N.; Jin, L.Q. Differential assisted steering applied on electric vehicle with electric motorized wheels. J. Jilin Univ. (Eng. Technol. Ed.) 2010, 39, 1–6. [Google Scholar]
- Wang, J.; Wang, Q.; Jin, L.; Song, C. Independent wheel torque control of 4WD electric vehicle for differential drive assisted steering. Mechatronics 2011, 21, 63–76. [Google Scholar] [CrossRef]
- Yu, Z.P.; Liu, J.; Xiong, L.; Feng, Y. Control strategies of handling improvement of distributed drive electric vehicle. J. Tongji Univ. (Nat. Sci.) 2014, 42, 1088–1095. [Google Scholar]
- Li, B.; Goodarzi, A.; Khajepour, A. An optimal torque distribution control strategy for four-independent wheel drive electric vehicles. Veh. Syst. Dyn. 2015, 53, 1172–1189. [Google Scholar] [CrossRef]
- Kim, W.G.; Yi, K.; Lee, J. Drive control algorithm for an independent 8 in-wheel motor drive vehicle. J. Mech. Sci. Technol. 2011, 25, 1573–1581. [Google Scholar] [CrossRef]
- Kim, W.G.; Kang, J.Y.; Yi, K. Drive control system design for stability and maneuverability of a 6WD/6WS vehicle. Int. J. Automot. Technol. 2011, 12, 67–74. [Google Scholar] [CrossRef]
- Nah, J.; Seo, J.; Yi, K.; Kim, W.G.; Lee, J. Friction circle estimation-based torque distribution control of six-wheeled independent driving vehicles for terrain-driving performance. Proc. Inst. Mech. Eng. Part D J. Automob. Eng. 2015, 229, 1469–1482. [Google Scholar] [CrossRef]
- Sun, W.; Wang, Q.N.; Wang, J.N. Yaw-moment control of motorized vehicle for energy conservation during cornering. J. Jilin Univ. (Eng. Technol. Ed.) 2018, 48, 11–19. [Google Scholar]
- Brembeck, J. Model Based Energy Management and State Estimation for the Robotic Electric Vehicle ROboMObil. Ph.D. Thesis, Electrical Engineering and Information Technology College of Technical University of Munich, Munich, Germany, 2018. [Google Scholar]
- Jürgen, R.; Philipp, K.; Michael, F.; Frank, G. Reducing energy demand using wheel-individual electric drives to substitute EPS-systems. Energies 2018, 11, 247. [Google Scholar]
- Nah, J.; Kim, W.; Yi, K.; Lee, D.; Lee, J. Fault-tolerant driving control of a steer-by-wire system for six-wheel-driving-six-wheel-steering vehicle. Proc. Inst. Mech. Eng. Part D J. Automob. Eng. 2013, 227, 506–520. [Google Scholar] [CrossRef]
- Daniel, W. Generalized multi-axle vehicle handling. Veh. Syst. Dyn. 2012, 50, 149–166. [Google Scholar]
- Liu, W.; He, H.W.; Sun, F.C.; Lv, J.Y. Integrated chassis control for a three-axle electric bus with distributed driving motors and active rear steering system. Veh. Syst. Dyn. 2017, 55, 601–625. [Google Scholar] [CrossRef]
- Zhang, Y.B.; Khajepour, A.; Huang, Y.J. Multi-axle/articulated bus dynamics modeling: A reconfigurable approach. Veh. Syst. Dyn. 2018, 56, 1315–1343. [Google Scholar] [CrossRef]
- Plöchl, M.; Edelmann, J. Driver models in automobile dynamics application. Veh. Syst. Dyn. 2007, 45, 699–741. [Google Scholar] [CrossRef]
- Ungoren, A.Y.; Peng, H. An adaptive lateral preview driver model. Veh. Syst. Dyn. 2005, 43, 245–259. [Google Scholar] [CrossRef]
- Kırlı, A.; Chen, Y.S.; Okwudire, C.E.; Ulsoy, A.G. Torque-vectoring-based backup steering strategy for steer-by-wire autonomous vehicles with vehicle stability control. IEEE Trans. Veh. Technol. 2019, 68, 7319–7328. [Google Scholar] [CrossRef]
- Ding, H.T.; Guo, K.H.; Chen, H. LQR method for vehicle yaw moment decision in vehicle stability control. J. Jilin Univ. (Eng. Technol. Ed.) 2010, 40, 597–601. [Google Scholar]









| Parameters | Value |
|---|---|
| Vehicle mass m (kg) | 10,000 |
| Steering ratio from the hand wheel to the wheel of first axle | 25 |
| Wheel rolling radius r (mm) | 600 |
| Track width t (mm) | 1863 |
| Driving form | 8 × 8 |
| Steering form | 8 × 4 |
| Height of CoG hg (mm) | 1200 |
| Distance between the ith axle and CoG l1, l2, l3, l4 (m) | 1.8, 0.5, −0.85, −2.2 |
| Moment of inertia about z axis Iz (kg·m2) | 59,976 |
© 2020 by the authors. Licensee MDPI, Basel, Switzerland. This article is an open access article distributed under the terms and conditions of the Creative Commons Attribution (CC BY) license (http://creativecommons.org/licenses/by/4.0/).
Share and Cite
Jin, L.; Zhang, Z.; Li, J.; Wang, J. Fail-Operation Control of In-Wheel Motor Drive Electric Vehicle Based on Wheel Isolation and Yaw Moment Compensation. Energies 2020, 13, 3214. https://doi.org/10.3390/en13123214
Jin L, Zhang Z, Li J, Wang J. Fail-Operation Control of In-Wheel Motor Drive Electric Vehicle Based on Wheel Isolation and Yaw Moment Compensation. Energies. 2020; 13(12):3214. https://doi.org/10.3390/en13123214
Chicago/Turabian StyleJin, Liqiang, Zhiyang Zhang, Jianhua Li, and Junnian Wang. 2020. "Fail-Operation Control of In-Wheel Motor Drive Electric Vehicle Based on Wheel Isolation and Yaw Moment Compensation" Energies 13, no. 12: 3214. https://doi.org/10.3390/en13123214
APA StyleJin, L., Zhang, Z., Li, J., & Wang, J. (2020). Fail-Operation Control of In-Wheel Motor Drive Electric Vehicle Based on Wheel Isolation and Yaw Moment Compensation. Energies, 13(12), 3214. https://doi.org/10.3390/en13123214

