Synthesis, Structure and NH3 Sorption Properties of Mixed Mg1-xMnx(NH3)6Cl2 Ammines
Abstract
1. Introduction
2. Materials and Methods
2.1. Sample Preparation
2.2. Thermal Analysis
2.3. Synchrotron Radiation Powder X-ray Diffraction
2.4. Sorption Kinetics and Cycling
3. Results and Discussion
3.1. Structural Characterization of the As-Synthesized and Ammoniated Samples at RT
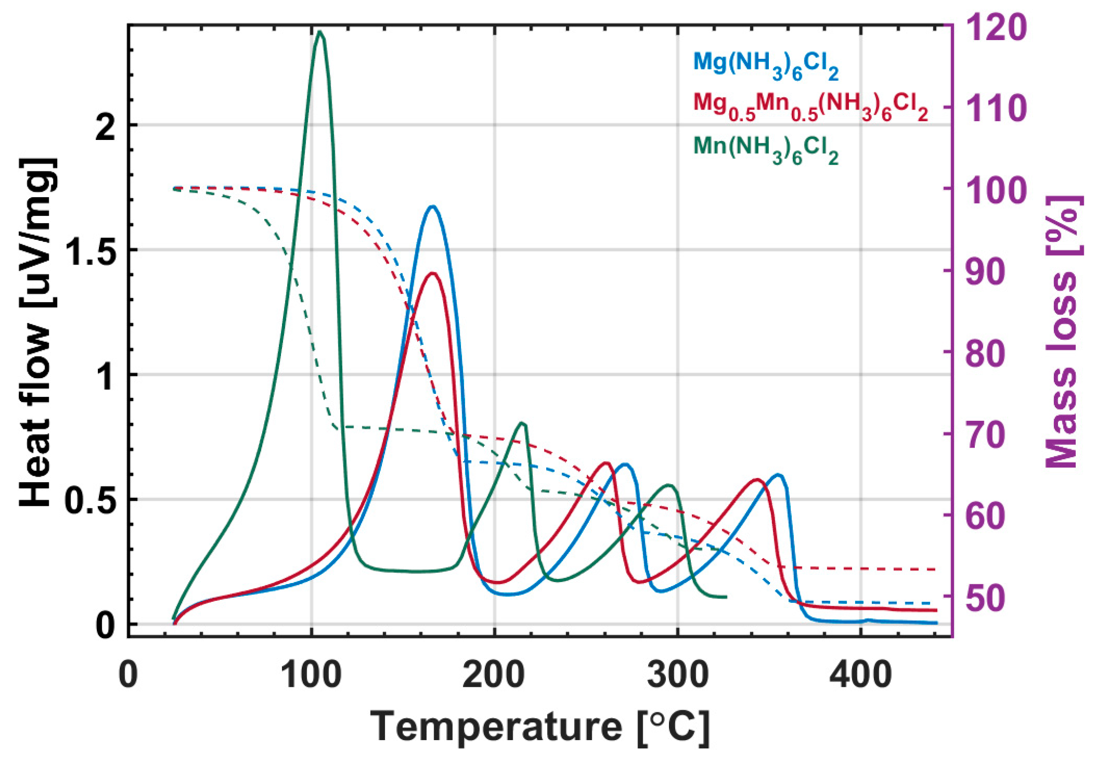
3.2. Thermal Analysis
3.3. In Situ SR-PXD
3.4. NH3 Cycling and Kinetics
4. Conclusions
Supplementary Materials
Author Contributions
Funding
Acknowledgments
Conflicts of Interest
References
- Mohtadi, R.; Orimo, S. The renaissance of hydrides as energy materials. Nat. Rev. Mater. 2016, 2, 1–15. [Google Scholar] [CrossRef]
- He, T.; Pachfule, P.; Wu, H.; Xu, Q.; Chen, P. Hydrogen carriers. Nat. Rev. Mater. 2016, 1, 1–17. [Google Scholar] [CrossRef]
- Milanese, C.; Jensen, T.R.; Hauback, B.C.; Pistidda, C.; Dornheim, M.; Yang, H.; Lombardo, L.; Zuettel, A.; Filinchuk, Y.; Ngene, P.; et al. Complex hydrides for energy storage. Int. J. Hydrog. Energy 2019, 44, 7860–7874. [Google Scholar] [CrossRef]
- Hirscher, M.; Yartys, V.A.; Baricco, M.; Bellosta von Colbe, J.; Blanchard, D.; Bowman, R.C.; Broom, D.P.; Buckley, C.E.; Chang, F.; Chen, P.; et al. Materials for hydrogen-based energy storage—Past, recent progress and future outlook. J. Alloys Compd. 2020, 827, 153548. [Google Scholar] [CrossRef]
- Zamfirescu, C.; Dincer, I. Ammonia as a green fuel and hydrogen source for vehicular applications. Fuel Process. Technol. 2009, 90, 729–737. [Google Scholar] [CrossRef]
- Lan, R.; Irvine, J.T.S.; Tao, S. Ammonia and related chemicals as potential indirect hydrogen storage materials. Int. J. Hydrog. Energy 2012, 37, 1482–1494. [Google Scholar] [CrossRef]
- Zamfirescu, C.; Dincer, I. Using ammonia as a sustainable fuel. J. Power Sources 2008, 185, 459–465. [Google Scholar] [CrossRef]
- Christensen, C.H.; Johannessen, T.; Sørensen, R.Z.; Nørskov, J.K. Towards an ammonia-mediated hydrogen economy? Catal. Today 2006, 111, 140–144. [Google Scholar] [CrossRef]
- Makepeace, J.W.; He, T.; Weidenthaler, C.; Jensen, T.R.; Chang, F.; Vegge, T.; Ngene, P.; Kojima, Y.; de Jongh, P.E.; Chen, P.; et al. Reversible ammonia-based and liquid organic hydrogen carriers for high-density hydrogen storage: Recent progress. Int. J. Hydrog. Energy 2019, 44, 7746–7767. [Google Scholar] [CrossRef]
- Kubota, M.; Matsuo, K.; Yamanouchi, R.; Matsuda, H. Absorption and Desorption Characteristics of NH3 with Metal Chlorides for Ammonia Storage. J. Chem. Eng. Jpn. 2014. [Google Scholar] [CrossRef]
- Klerke, A.; Christensen, C.H.; Nørskov, J.K.; Vegge, T. Ammonia for hydrogen storage: Challenges and opportunities. J. Mater. Chem. 2008, 18, 2304–2310. [Google Scholar] [CrossRef]
- Christensen, C.H.; Sørensen, R.Z.; Johannessen, T.; Quaade, U.J.; Honkala, K.; Elmøe, T.D.; Køhler, R.; Nørskov, J.K. Metal ammine complexes for hydrogen storage. J. Mater. Chem. 2005, 15, 4106–4108. [Google Scholar] [CrossRef]
- Sørensen, R.Z.; Hummelshøj, J.S.; Klerke, A.; Reves, J.B.; Vegge, T.; Nørskov, J.K.; Christensen, C.H. Indirect, Reversible High-Density Hydrogen Storage in Compact Metal Ammine Salts. J. Am. Chem. Soc. 2008, 130, 8660–8668. [Google Scholar] [CrossRef] [PubMed]
- Jacobsen, H.S.; Hansen, H.A.; Andreasen, J.W.; Shi, Q.; Andreasen, A.; Feidenhans’l, R.; Nielsen, M.M.; Ståhl, K.; Vegge, T. Nanoscale structural characterization of Mg(NH3)6Cl2 during NH3 desorption: An in situ small angle X-ray scattering study. Chem. Phys. Lett. 2007, 441, 255–260. [Google Scholar] [CrossRef]
- Walker, G. Solid-State Hydrogen Storage: Materials and Chemistry; Woodhead Publishing: Cambridge, UK, 2008; ISBN 978-1-84569-494-4. [Google Scholar]
- Tekin, A.S.; Hummelshøj, J.S.; Jacobsen, H.; Sveinbjörnsson, D.; Blanchard, D.K.; Nørskov, J.; Vegge, T. Ammonia dynamics in magnesium ammine from DFT and neutron scattering. Energy Environ. Sci. 2010, 3, 448–456. [Google Scholar] [CrossRef]
- Elmøe, T.D.; Sørensen, R.Z.; Quaade, U.; Christensen, C.H.; Nørskov, J.K.; Johannessen, T. A high-density ammonia storage/delivery system based on Mg(NH3)6Cl2 for SCR–DeNOx in vehicles. Chem. Eng. Sci. 2006, 61, 2618–2625. [Google Scholar] [CrossRef]
- Hwang, I.C.; Drews, T.; Seppelt, K. Mg(NH3)6Hg22, a Mercury Intercalation Compound. J. Am. Chem. Soc. 2000, 122, 8486–8489. [Google Scholar] [CrossRef]
- Wentworth, W.E.; Raldow, W.M.; Corbett, G.E. Correlation of thermodynamic properties for dissociation of ammines of divalent metal halides. Inorg. Chim. Acta 1978, 30, L299–L301. [Google Scholar] [CrossRef]
- Bevers, E.; Oonk, H.; Haije, W.; van Ekeren, P. Investigation of thermodynamic properties of magnesium chloride amines by HPDSC and TG. J. Therm. Anal. Calorim. 2007, 90, 923–929. [Google Scholar] [CrossRef]
- Aoki, T.; Miyaoka, H.; Inokawa, H.; Ichikawa, T.; Kojima, Y. Activation on Ammonia Absorbing Reaction for Magnesium Chloride. J. Phys. Chem. C 2015, 119, 26296–26302. [Google Scholar] [CrossRef]
- Aoki, T.; Ichikawa, T.; Miyaoka, H.; Kojima, Y. Thermodynamics on Ammonia Absorption of Metal Halides and Borohydrides. J. Phys. Chem. C 2014, 118, 18412–18416. [Google Scholar] [CrossRef]
- Eßmann, R.; Kreiner, G.; Niemann, A.; Rechenbach, D.; Schmieding, A.; Sichla, T.; Zachwieja, U.; Jacobs, H. Isotype Strukturen einiger Hexaamminmetall(II)-halogenide von 3d-Metallen: [V(NH3)6]I2, [Cr(NH3)6]I2, [Mn(NH3)6]Cl2, [Fe(NH3)6]Cl2, [Fe(NH3)6]Br2, [Co(NH3)6]Br2 und [Ni(NH3)6]Cl2. Z. Anorg. Allg. Chem. 1996, 622, 1161–1166. [Google Scholar] [CrossRef]
- Lysgaard, S.; Ammitzbøll, A.L.; Johnsen, R.E.; Norby, P.; Quaade, U.J.; Vegge, T. Resolving the stability and structure of strontium chloride amines from equilibrium pressures, XRD and DFT. Int. J. Hydrog. Energy 2012, 37, 18927–18936. [Google Scholar] [CrossRef]
- Bialy, A.; Jensen, P.B.; Blanchard, D.; Vegge, T.; Quaade, U.J. Solid solution barium–strontium chlorides with tunable ammonia desorption properties and superior storage capacity. J. Solid State Chem. 2015, 221, 32–36. [Google Scholar] [CrossRef]
- Kishida, Y.; Aoki, M.; Yamauchi, T. Crystal Structure and NH3 Desorption Properties of Complex Metal Ammine Chloride. J. Chem. Eng. Jpn. 2019, 52, 239–242. [Google Scholar] [CrossRef]
- Lasocha, W.; Eick, H.A. The structure of Ca0.3Sr0.7Cl2 and Ca0.46Sr0.54Cl2 by the X-ray Rietveld refinement procedure. J. Solid State Chem. 1988, 75, 175–182. [Google Scholar] [CrossRef]
- Liu, C.Y.; Aika, K. Ammonia Absorption into Alkaline Earth Metal Halide Mixtures as an Ammonia Storage Material. Ind. Eng. Chem. Res. 2004, 43, 7484–7491. [Google Scholar] [CrossRef]
- Hodorowicz, S.A.; Eick, H.A. Phase relationships in the system SrBr2 SrCl2. J. Solid State Chem. 1982, 43, 271–277. [Google Scholar] [CrossRef]
- Hodorowicz, S.A.; Eick, H.A. An X-ray diffraction study of the SrBrxI2−x system. J. Solid State Chem. 1983, 46, 313–320. [Google Scholar] [CrossRef]
- Černý, R.; Penin, N.; D’Anna, V.; Hagemann, H.; Durand, E.; Růžička, J. MgxMn(1−x)(BH4)2 (x=0–0.8), a cation solid solution in a bimetallic borohydride. Acta Mater. 2011, 59, 5171–5180. [Google Scholar] [CrossRef]
- Jepsen, L.H.; Ley, M.B.; Filinchuk, Y.; Besenbacher, F.; Jensen, T.R. Tailoring the Properties of Ammine Metal Borohydrides for Solid-State Hydrogen Storage. ChemSusChem 2015, 8, 1452–1463. [Google Scholar] [CrossRef] [PubMed]
- Kissinger, H.E. Variation of Peak Temperature with Heating Rate in Differential Thermal Analysis. J. Res. Natl. Bur. Stand. 1956, 57, 217–221. [Google Scholar] [CrossRef]
- Willmott, P.R.; Meister, D.; Leake, S.J.; Lange, M.; Bergamaschi, A.; Böge, M.; Calvi, M.; Cancellieri, C.; Casati, N.; Cervellino, A.; et al. The Materials Science beamline upgrade at the Swiss Light Source. J. Synchrotron. Radiat. 2013, 20, 667–682. [Google Scholar] [CrossRef] [PubMed]
- Thompson, S.P.; Parker, J.E.; Potter, J.; Hill, T.P.; Birt, A.; Cobb, T.M.; Yuan, F.; Tang, C.C. Beamline I11 at Diamond: A new instrument for high resolution powder diffraction. Rev. Sci. Instrum. 2009, 80, 075107. [Google Scholar] [CrossRef] [PubMed]
- Pathak, P.D.; Vasavada, N.G. Thermal expansion of NaCl, KCl and CsBr by X-ray diffraction and the law of corresponding states. Acta Crystallogr. A 1970, 26, 655–658. [Google Scholar] [CrossRef]
- Coelho, A.A. TOPAS and TOPAS-Academic: An optimization program integrating computer algebra and crystallographic objects written in C++. J. Appl. Crystallogr. 2018, 51, 210–218. [Google Scholar] [CrossRef]
- Tornero, J.D.; Fayos, J. Single crystal structure refinement of MnCl2. Z. Krist. 2015, 192, 147–148. [Google Scholar] [CrossRef]
- Feitknecht, W.; Held, F. Über die Hydroxychloride des Magnesiums. Helv. Chim. Acta 1944, 27, 1480–1495. [Google Scholar] [CrossRef]
- Shannon, R.D. Revised effective ionic radii and systematic studies of interatomic distances in halides and chalcogenides. Acta Crystallogr. A 1976, 32, 751–767. [Google Scholar] [CrossRef]
- King, H.W. Quantitative size-factors for metallic solid solutions. J. Mater. Sci. 1966, 1, 79–90. [Google Scholar] [CrossRef]
- Reardon, H.; Hanlon, J.M.; Grant, M.; Fullbrook, I.; Gregory, D.H. Ammonia Uptake and Release in the MnX2–NH3 (X = Cl, Br) Systems and Structure of the Mn(NH3)nX2 (n = 6, 2) Ammines. Crystals 2012, 2, 193–212. [Google Scholar] [CrossRef]
- Leineweber, A.; Friedriszik, M.W.; Jacobs, H. Preparation and Crystal Structures of Mg(NH3)2Cl2, Mg(NH3)2Br2, and Mg(NH3)2I2. J. Solid State Chem. 1999, 147, 229–234. [Google Scholar] [CrossRef]
- Leineweber, A.; Jacobs, H.; Ehrenberg, H. Crystal Structure of Ni(NH3)Cl2 and Ni(NH3)Br2. Z. Anorg. Allg. Chem. 2000, 626, 2146–2152. [Google Scholar] [CrossRef]








| Compound | N (x-coordinate) |
|---|---|
| Mg(NH3)6Cl2 | 0.21150(7), 0, 0 |
| Mg0.975Mn0.025(NH3)6Cl2 | 0.21268(15), 0, 0 |
| Mg0.95Mn0.05(NH3)6Cl2 | 0.2132(2), 0, 0 |
| Mg0.9Mn0.1(NH3)6Cl2 | 0.21363(8), 0, 0 |
| Mg0.7Mn0.3(NH3)6Cl2 | 0.21269(9), 0, 0 |
| Mg0.5Mn0.5(NH3)6Cl2 | 0.21267(10), 0, 0 |
| Mn(NH3)6Cl2 | 0.21540(14), 0, 0 |
| Chemical Formula | Mg0.5Mn0.5(NH3)6Cl2 | Mg0.5Mn0.5(NH3)2Cl2 | Mg0.5Mn0.5(NH3)Cl2 | Mg0.5Mn0.5Cl2 |
|---|---|---|---|---|
| T (°C) | RT | 214 | 280 | 402 |
| Crystal system | Cubic | Orthorhombic | Monoclinic | Trigonal * |
| Space group | Fm-3m | Cmmm | I2/m | R-3m |
| a (Å) | 10.22037(8) | 8.258(5) | 15.575(1) | 3.69494(3) Å |
| b (Å) | - | 8.290(4) | 3.756(1) | - |
| c (Å) | - | 3.812(2) | 14.453(1) | 17.8698(4) |
| β (°) | - | - | 106.55(3) | - |
| V (Å3) | 1067.58(3) | 261.0(2) | 810.6(9) | 211.28(6) |
| Z | 4 | 2 | 8 | 3 |
© 2020 by the authors. Licensee MDPI, Basel, Switzerland. This article is an open access article distributed under the terms and conditions of the Creative Commons Attribution (CC BY) license (http://creativecommons.org/licenses/by/4.0/).
Share and Cite
Berdiyeva, P.; Karabanova, A.; Grinderslev, J.B.; Johnsen, R.E.; Blanchard, D.; Hauback, B.C.; Deledda, S. Synthesis, Structure and NH3 Sorption Properties of Mixed Mg1-xMnx(NH3)6Cl2 Ammines. Energies 2020, 13, 2746. https://doi.org/10.3390/en13112746
Berdiyeva P, Karabanova A, Grinderslev JB, Johnsen RE, Blanchard D, Hauback BC, Deledda S. Synthesis, Structure and NH3 Sorption Properties of Mixed Mg1-xMnx(NH3)6Cl2 Ammines. Energies. 2020; 13(11):2746. https://doi.org/10.3390/en13112746
Chicago/Turabian StyleBerdiyeva, Perizat, Anastasiia Karabanova, Jakob B. Grinderslev, Rune E. Johnsen, Didier Blanchard, Bjørn C. Hauback, and Stefano Deledda. 2020. "Synthesis, Structure and NH3 Sorption Properties of Mixed Mg1-xMnx(NH3)6Cl2 Ammines" Energies 13, no. 11: 2746. https://doi.org/10.3390/en13112746
APA StyleBerdiyeva, P., Karabanova, A., Grinderslev, J. B., Johnsen, R. E., Blanchard, D., Hauback, B. C., & Deledda, S. (2020). Synthesis, Structure and NH3 Sorption Properties of Mixed Mg1-xMnx(NH3)6Cl2 Ammines. Energies, 13(11), 2746. https://doi.org/10.3390/en13112746
