Future Fuels—Analyses of the Future Prospects of Renewable Synthetic Fuels
Abstract
1. Introduction
2. Technology Assessment and Systems Analysis
2.1. Technology Assessment of Selected Production Routes
2.1.1. Approach and Assumptions
2.1.2. Results
2.2. Systems Analysis of Interactions with the Power System
2.2.1. Approach and Assumptions
2.2.2. Results
2.3. Discussion
3. Solar Fuels and Reverse Power Generation
3.1. Thermochemical Cycles
3.1.1. Approach and Assumptions
3.1.2. Results
3.2. High-Temperature Steam Electrolysis with Integration of Solar Heat
3.2.1. Approach and Assumptions
3.2.2. Results
3.3. Reverse Power Generation
3.3.1. Approach and Assumptions
3.3.2. Results
3.4. Discussion
4. Designer Fuels for Aviation
4.1. Design Criteria and Concept for Alternative Aviation Fuels
4.1.1. Approach and Assumptions
4.1.2. Results
4.2. Discussion
5. Oxygenated Fuels for Road Transportation
5.1. Review of Combustion Characteristics and Pollutant Emissions Behaviour of (Blended) Oxygenated Fuels
5.1.1. Approach and Assumptions
- Methanol
- Ethanol
- Butanol (n- or i-)
- Dimethoxymethane (DMM)
- Oxymethyleneethers (OME) 3–5
5.1.2. Results

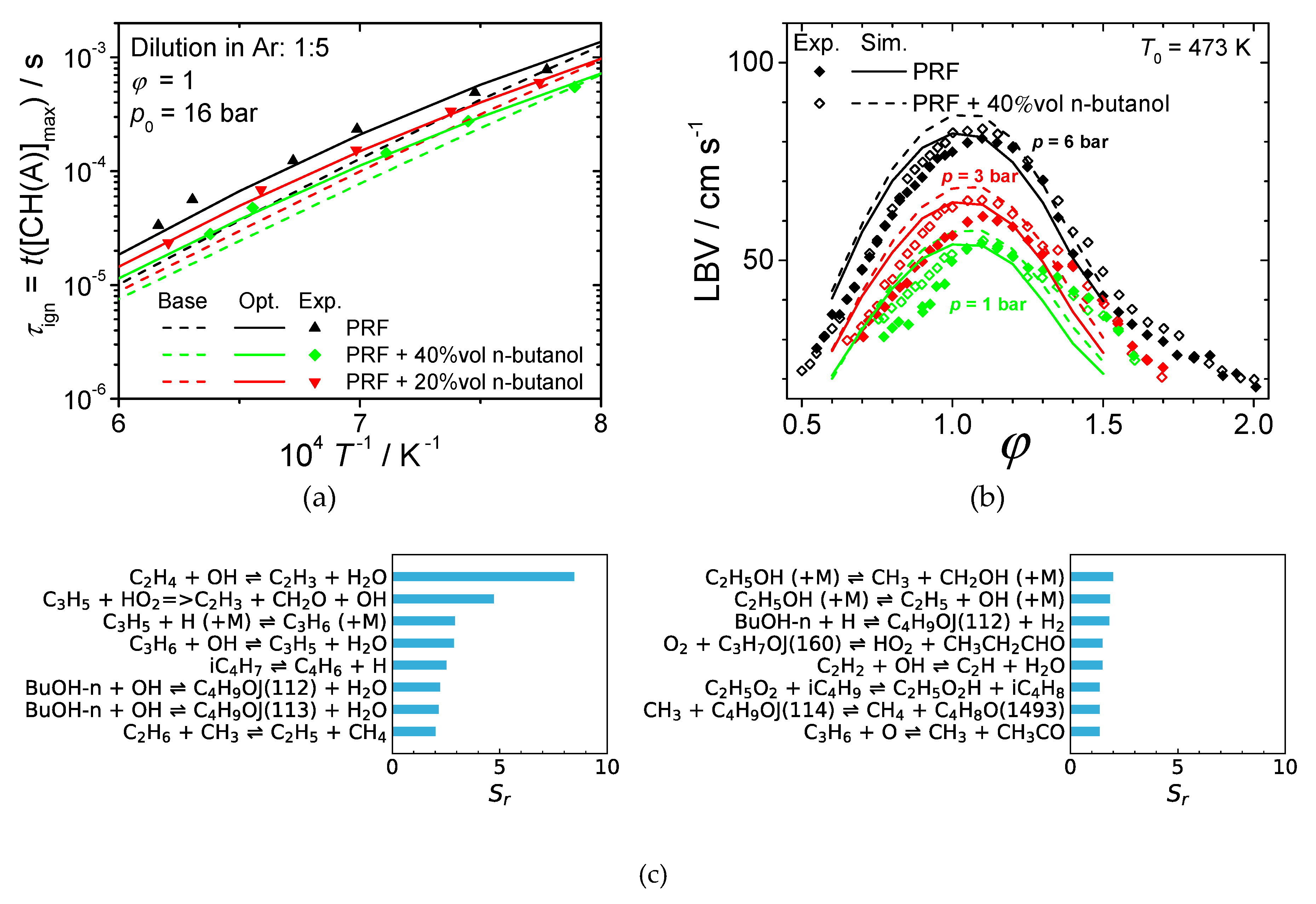
5.2. Combustion Experiments and Modelling of (Blended) Oxygenated Fuels
5.2.1. Approach and Assumptions
5.2.2. Results
5.3. Discussion
6. Advanced Propellants for Space Propulsion
- The cryogenic bipropellant combination liquid methane/liquid oxygen (LCH4/LOX).
- Liquid monopropellants consisting of hydrocarbons and nitrous oxide (HyNOx).
- Green gelled propellants for rocket applications (GGeRA).
6.1. Cryogenic Bipropellant Combination LCH4/LOX
6.1.1. Approach and Assumptions
6.1.2. Results and Discussion
6.2. Liquid Monopropellants Based on Hydrocarbons and Nitrous Oxide (HyNOx)
6.2.1. Approach and Assumptions
6.2.2. Results and Discussion
6.3. Green Gelled Propellants for Rocket Applications (GGeRA)
6.3.1. Approach and Assumptions
6.3.2. Results and Discussion
7. Conclusions and Outlook
Author Contributions
Funding
Acknowledgments
Conflicts of Interest
References
- UBA. Power-to-Liquids—Potentials and Perspectives for the Future Supply of Renewable Aviation Fuel. Background, September 2016. German Environment Agency (UBA). Available online: https://www.umweltbundesamt.de/en/publikationen/power-to-liquids-potentials-perspectives-for-the (accessed on 23 August 2019).
- EC. State of the Art on Alternative Fuels Transport Systems in the European Union. Final Report, DG MOVE—Expert Group on Future Transport Fuels. COWI, July 2015. Available online: https://ec.europa.eu/transport/sites/transport/files/themes/urban/studies/doc/2015-07-alter-fuels-transport-syst-in-eu.pdf (accessed on 23 August 2019).
- Moser, M.; Pregger, T.; Simon, S.; König, D.H.; Wörner, A.; Dietrich, R.U.; Eckel, G. Synthetische flüssige Kohlenwasserstoffe aus erneuerbaren Energien—Ergebnisse der Helmholtz Energieallianz (Synthetic Liquid Hydrocarbons from Renewable Energy—Results of the Helmholtz Energy Alliance). Chem. Ing. Tech. 2017, 89, 1–16. [Google Scholar] [CrossRef]
- Albrecht, F.G.; König, D.H.; Baucks, N.; Dietrich, R.-U. A standardized methodology for the techno-economic evaluation of alternative fuels. Fuel 2017, 194, 511–526. [Google Scholar] [CrossRef]
- Gils, H.C.; Scholz, Y.; Pregger, T.; Luca de Tena, D.; Heide, D. Integrated modelling of variable renewable energy-based power supply in Europe. Energy 2017, 123, 173–188. [Google Scholar] [CrossRef]
- Schiller, G.; Lang, M.; Szabo, P.; Monnerie, N.; von Storch, H.; Reinhold, J.; Sundarraj, P. Solar heat integrated solid oxide steam electrolysis for highly efficient hydrogen production. J. Power Sources 2019, 416, 72–78. [Google Scholar] [CrossRef]
- Edwards, T.; Moses, C.; Dryer, F. Evaluation of combustion performance of alternative aviation fuels. In Proceedings of the 46th AIAA/ASME/SAE/ASEE Joint Propulsion Conference & Exhibit, Nashville, TN, USA, 25–28 July 2010. [Google Scholar]
- Szarka, N.; Eichhorn, M.; Kittler, R.; Bezama, A.; Thrän, D. Interpreting long-term energy scenarios and the role of bioenergy. Renew. Sustain. Energy Rev. 2017, 68, 1222–1233. [Google Scholar] [CrossRef]
- Brosowski, A.; Thrän, D.; Mantau, U.; Mahro, B.; Erdmann, G.; Adler, P.; Stinner, W.; Reinhold, G.; Hering, T.; Blanke, C. A review of biomass potential and current utilisation e Status quo for 93 biogenic wastes and residues in Germany. Biomass Bioenergy 2016, 95, 257–272. [Google Scholar] [CrossRef]
- ASTM International. ASTM D7566—14C: Standard Specification for Aviation Turbine Fuel Containing Synthesized Hydrocarbons; ASTM International: West Conshohocken, PA, USA, 2015. [Google Scholar]
- Dietrich, R.-U.; Albrecht, F.; Pregger, T. Production of Alternative Liquid Fuels in the Future Energy System. Chem. Ing. Tech. 2018, 90, 179–192. [Google Scholar] [CrossRef]
- Jenkins, S. Chemical Engineering Plant Cost Index: 2018 Annual Value. Chemical Engineering, March 2019. Available online: https://www.chemengonline.com/2019-cepci-updates-january-prelim-and-december-2018-final/ (accessed on 25 June 2019).
- Scholz, Y. Renewable Energy Based Electricity Supply at Low Costs: Development of the REMix Model and Application for Europe. Ph.D. Thesis, Universität Stuttgart, Stuttgart, Germany, 2012. [Google Scholar] [CrossRef]
- Michalski, J.; Bünger, U.; Crotogino, F.; Donadei, S.; Schneider, G.S.; Pregger, T.; Cao, K.K.; Heide, D. Hydrogen generation by electrolysis and storage in salt caverns: Potentials, economics and systems aspects with regard to the German energy transition. Int. J. Hydrogen Energy 2017, 42, 13427–13443. [Google Scholar] [CrossRef]
- Luca de Tena, D.; Pregger, T. Impact of electric vehicles on a future renewable energy-based power system in Europe with a focus on Germany. Int. J. Energy Res. 2018, 42, 2670–2685. [Google Scholar] [CrossRef]
- Seum, S.; Özdemir, E.D.; Heinrichs, M.; Kuhnimhof, T.; Müller, S.; Pak, H.; Pregger, T.; Winkler, C. Transport and the Environment, building three different transport scenarios for Germany until 2040. Transp. Res. Part D Transp. Environ. 2019. under review. [Google Scholar]
- Ehrenberger, S.; Seum, S.; Pregger, T.; Simon, S.; Knitschky, G. Land transport and energy system development in three integrated normative scenarios for Germany—technology options, energy demand and emissions. Transp. Res. Part D Transp. Environ. 2019. under review. [Google Scholar]
- Pregger, T.; Nitsch, J.; Naegler, T. Long-term scenarios and strategies for the deployment of renewable energies in Germany. Energy Policy 2013, 59, 350–360. [Google Scholar] [CrossRef]
- BMWi. Time Series for the Development of Renewable Energy Sources in Germany Based on Statistical Data from the Working Group on Renewable Energy-Statistics (AGEE-Stat). German Federal Ministry for Economic Affairs and Energy (BMWi) (Status: February 2019). Available online: https://www.erneuerbare-energien.de/EE/Navigation/DE/Service/Erneuerbare_Energien_in_Zahlen/Zeitreihen/zeitreihen.html (accessed on 23 August 2019).
- Grewe, V.; Dahlmann, K.; Flink, J.; Frömming, C.; Ghosh, R.; Gierens, K.; Heller, R.; Hendricks, J.; Jöckel, P.; Kaufmann, S.; et al. Mitigating the Climate Impact from Aviation: Achievements and Results of the DLR WeCare Project. Aerospace 2017, 4, 34. [Google Scholar] [CrossRef]
- International Air Transport Association (IATA). Technology Roadmap, 4th ed.; International Air Transport Association: London, UK, 2013. [Google Scholar]
- Moser, M.; Pecchi, M.; Fend, T. Techno-Economic Assessment of Solar Hydrogen Production by Means of Thermo-Chemical Cycles. Energies 2019, 12, 352. [Google Scholar] [CrossRef]
- High Temperature Redox Systems—A Battery for Solar Radiation. Available online: https://www.dlr.de/sf/en/desktopdefault.aspx/tabid-10910/19266_read-44940/9 (accessed on 13 November 2019).
- Vieten, J.; Bulfin, B.; Senholdt, M.; Roeb, M.; Sattler, C.; Schmücker, M. Redox thermodynamics and phase composition in the system SrFeO3−δ—SrMnO3−δ. Solid State Ion. 2017, 308, 149–155. [Google Scholar] [CrossRef]
- Vieten, J.; Bulfin, B.; Huck, P.; Horton, M.; Guban, D.; Zhu, L.; Persson, K.A.; Roeb, M.; Sattler, C. Materials design of perovskite solid solutions for thermochemical applications. Energy Environ. Sci. 2019, 12, 1369–1384. [Google Scholar] [CrossRef]
- Goldschmidt, V.M. Die Gesetze der Krystallochemie. Naturwissenschaften 1926, 14, 477–485. [Google Scholar] [CrossRef]
- Jürgens, S.; Oßwald, P.; Selinsek, M.; Piermartini, P.; Schwab, J.; Pfeifer, P.; Bauder, U.; Ruoff, S.; Rauch, B.; Köhler, M. Assessment of combustion properties of non-hydroprocessed Fischer-Tropsch fuels for aviation. Fuel Process. Technol. 2019, 193, 232–243. [Google Scholar] [CrossRef]
- Richter, S.; Braun-Unkhoff, M.; Naumann, C.; Riedel, U. Paths to alternative fuels for aviation. CEAS Aeronaut. J. 2018, 9, 389–403. [Google Scholar] [CrossRef]
- Richter, S.; Kathrotia, T.; Naumann, C.; Kick, T.; Slavinskaya, N.; Braun-Unkhoff, M.; Riedel, U. Experimental and modeling study of farnesane. Fuel 2018, 215, 22–29. [Google Scholar] [CrossRef]
- Oßwald, P.; Köhler, M. An atmospheric pressure high-temperature laminar flow reactor for investigation of combustion and related gas phase reaction systems. Rev. Sci. Instrum. 2015, 86, 105109. [Google Scholar] [CrossRef] [PubMed]
- Köhler, M.; Oßwald, P.; Krueger, D.; Whitside, R. Combustion Chemistry of Fuels: Quantitative Speciation Data Obtained from an Atmospheric High-temperature Flow Reactor with Coupled Molecular-beam Mass Spectrometer. J. Vis. Exp. 2018, 132. [Google Scholar] [CrossRef] [PubMed]
- Kathrotia, T.; Oßwald, P.; Köhler, M.; Slavinskaya, N.; Riedel, U. Experimental and mechanistic investigation of benzene formation during atmospheric pressure flow reactor oxidation of n-hexane, n-nonane, and n-dodecane below 1200 K. Combust. Flame 2018, 194, 426–438. [Google Scholar] [CrossRef]
- Lee, D.S.; Fahey, D.W.; Forster, P.M.; Newton, P.J.; Wit, R.C.N.; Lim, L.L.; Owen, B.; Sausen, R. Aviation and global climate change in the 21st century. Atmos. Environ. 2009, 43, 3520–3537. [Google Scholar] [CrossRef]
- Kärcher, B. Formation and radiative forcing of contrail cirrus. Nat. Commun. 2019, 9, 1824. [Google Scholar] [CrossRef] [PubMed]
- Burkhardt, U.; Kärcher, B. Global radiative forcing from contrail cirrus. Nat. Clim. Chang. 2011, 1, 54–58. [Google Scholar] [CrossRef]
- Voigt, C.; Schumann, U.; Minikin, A.; Abdelmonem, A.; Afchine, A.; Borrmann, S.; Curtius, J. ML-CIRRUS: The Airborne Experiment on Natural Cirrus and Contrail Cirrus with the High-Altitude Long-Range Research Aircraft HALO. Bull. Am. Meteorol. Soc. 2017, 98, 271–288. [Google Scholar] [CrossRef]
- Boucher, O.; Randall, D.; Artaxo, P.; Bretherton, C.; Feingold, G.; Forster, P.; Kerminen, V.-M.; Kondo, Y.; Liao, H.; Lohmann, U.; et al. Clouds and Aerosols. In Climate Change 2013: The Physical Science Basis. Contribution of Working Group I to the Fifth Assessment Report of the Intergovernmental Panel on Climate Change; Stocker, T.F., Qin, D., Plattner, G.-K., Tignor, M., Allen, S.K., Boschung, J., Nauels, A., Xia, Y., Bex, V., Midgley, P.M., Eds.; Cambridge University Press: Cambridge, UK; New York, NY, USA, 2013; pp. 571–658. [Google Scholar]
- Schripp, T.; Anderson, B.; Crosbie, E.C.; Moore, R.H.; Herrmann, F.; Oßwald, P.; Wahl, C.; Kapernaum, M.; Köhler, M.; Le Clercq, P.; et al. Impact of alternative jet fuels on engine exhaust composition during the 2015 ECLIF ground-based measurements campaign. Environ. Sci. Technol. 2018, 52, 4969–4978. [Google Scholar] [CrossRef]
- Moore, R.H.; Thornhill, K.L.; Weinzierl, B.; Sauer, D.; D’Ascoli, E.; Kim, J.; Lichtenstern, M.; Scheibe, M.; Beaton, B.; Beyersdorf, A.J.; et al. Biofuel blending reduces particle emissions from aircraft engines at cruise conditions. Nature 2017, 543, 411–415. [Google Scholar] [CrossRef]
- DEFSTAN 91-91 Issue 7–Turbine Fuel, Kerosine Type, Jet A-1 NATO Code: F-35 Joint Service Designation: AVTUR; Ministry of Defence: London, UK, 2011.
- ASTM International. ASTM D1655—13a Standard Specification for Aviation Turbine Fuels; ASTM International: London, UK, 2013. [Google Scholar]
- Directive (EU) 2018/2001 of the European Parliament and of the Council of 11 December 2018 on the promotion of the use of energy from renewable sources. Off. J. Eur. Union 2018, L328, 82–209.
- Hadaller, O.J.; Johnson, J.M. CRC Aviation Committee—World Fuel Sampling Program; Report, N. 647; CRC: Boca Raton, FL, USA, 2006. [Google Scholar]
- Air Transport Action Group. Presented at the Coordinated Industry Position at the 38th ICAO Assembly, Montréal, QC, Canada, 24 September–3 October 2013.
- UBA. Nationales Treibhausgasinventar; Umweltbundesamt: Dessau, Germany, 2018. [Google Scholar]
- Wigg, B.; Coverdill, R.; Lee, C.; Kyritsis, D. Emissions Characteristics of Neat Butanol Fuel Using a Port Fuel-Injected, Spark-Ignition Engine; SAE Technical Paper 2011-01-0902; SAE International: Warrendale, PA, USA, 2011. [Google Scholar] [CrossRef]
- Li, Y.; Gong, J.; Yuan, W.; Fu, J.; Zhang, B.; Li, Y. Experimental investigation on combustion, performance, and emissions characteristics of butanol as an oxygenate in a spark ignition engine. Adv. Mech. Eng. 2017, 9. [Google Scholar] [CrossRef]
- Nithyanandan, K.; Zhang, J.; Li, Y.; Wu, H.; Lee, T.H.; Lin, Y.; Lee, C.F. Improved SI engine efficiency using Acetone–Butanol–Ethanol (ABE). Fuel 2016, 174, 333–343. [Google Scholar] [CrossRef]
- Dhamodaran, G.; Esakkimuthu, G.S.; Pochareddy, Y.K.; Sivasubramanian, H. Investigation of n-butanol as fuel in a four-cylinder MPFI SI engine. Energy 2017, 125, 726–735. [Google Scholar] [CrossRef]
- Dernotte, J.; Mounaim-Rousselle, C.; Halter, F.; Seers, P. Evaluation of Butanol–Gasoline Blends in a Port Fuel-injection, Spark-Ignition Engine. Oil Gas Sci. Technol. 2010, 65, 345–351. [Google Scholar] [CrossRef]
- Liu, J.; Wang, H.; Li, Y.; Zheng, Z.; Xue, Z.; Shang, H.; Yao, M. Effects of diesel/PODE (polyoxymethylene dimethyl ethers) blends on combustion and emission characteristics in a heavy duty diesel engine. Fuel 2016, 177, 206–216. [Google Scholar] [CrossRef]
- Omari, A.; Heuser, B.; Pischinger, S. Potential of oxymethylenether-diesel blends for ultra-low emission engines. Fuel 2017, 209, 232–237. [Google Scholar] [CrossRef]
- Pellegrini, L.; Marchionna, M.; Patrini, R.; Florio, S. Emission Performance of Neat and Blended Polyoxymethylene Dimethyl Ethers in an Old Light-Duty Diesel Car; SAE Technical Paper 2013-01-1035; SAE International: Warrendale, PA, USA, 2013. [Google Scholar] [CrossRef]
- Song, K.H.; Litzinger, T.A. Effects of Dimethyoxymethane Blending into Diesel Fuel on Soot in an Optically Accessible DI Diesel Engine. Combust. Sci. Technol. 2006, 178, 2249–2280. [Google Scholar] [CrossRef]
- He, B.-Q.; Liu, M.-B.; Yuan, J.; Zhao, H. Combustion and emission characteristics of a HCCI engine fuelled with n-butanol–gasoline blends. Fuel 2013, 108, 668–674. [Google Scholar] [CrossRef]
- Damyanov, A.; Hofmann, P.; Geringer, B.; Schwaiger, N.; Pichler, T.; Siebenhofer, M. Biogenous ethers: Production and operation in a diesel engine. Automot. Engine Technol. 2018, 3, 69–82. [Google Scholar] [CrossRef]
- Avolio, G.; Kastner, O.; Rösel, G.; Brück, R. Der Einfluss synthetischer Kraftstoffe auf die Dieselmotor-Emissionen. MTZ Mot. Z. 2018, 79, 16–23. [Google Scholar] [CrossRef]
- Liu, H.; Wang, X.; Zhang, D.; Dong, F.; Liu, X.; Yang, Y.; Huang, H.; Wang, Y.; Wang, Q.; Zheng, Z. Investigation on Blending Effects of Gasoline Fuel with N-Butanol, DMF, and Ethanol on the Fuel Consumption and Harmful Emissions in a GDI Vehicle. Energies 2019, 12, 1845. [Google Scholar] [CrossRef]
- Vojtisek-Lom, M.; Beranek, V.; Stolcpartova, J.; Pechout, M.; Klir, V. Effects of n-Butanol and Isobutanol on Particulate Matter Emissions from a Euro 6 Direct-injection Spark Ignition Engine During Laboratory and on-Road Tests. SAE Int. J. Engines 2015, 8, 2338–2350. [Google Scholar] [CrossRef]
- Hergueta, C.; Bogarra, M.; Tsolakis, A.; Essa, K.; Herreros, J.M. Butanol-gasoline blend and exhaust gas recirculation, impact on GDI engine emissions. Fuel 2017, 208, 662–672. [Google Scholar] [CrossRef]
- Vojtisek-Lom, M.; Pechout, M.; Mazac, M. Real-World On-Road Exhaust Emissions from an Ordinary Gasoline Car Operated on E85 and on Butanol-Gasoline Blend. In Proceedings of the 11th International Conference on Engines & Vehicles, Capri, Italy, 15–19 September 2013. [Google Scholar] [CrossRef]
- Iannuzzi, S.E.; Barro, C.; Boulouchos, K.; Burger, J. POMDME-diesel blends: Evaluation of performance and exhaust emissions in a single cylinder heavy-duty diesel engine. Fuel 2017, 203, 57–67. [Google Scholar] [CrossRef]
- Richter, S.; Braun-Unkhoff, M.; Herzler, J.; Methling, T.; Naumann, C.; Riedel, U. An investigation of combustion properties of a gasoline primary reference fuel surrogate blended with butanol. In Proceedings of the ASME Turbo Expo 2019: Power for Land, Sea and Air, Phoenix, AZ, USA, 17–21 June 2019. GT2019–90911. [Google Scholar]
- Magoon, G.R.; Green, W.H. Design and Implementation of a next-Generation Software Interface for on-the-Fly Quantum and Force Field Calculations in Automated Reaction Mechanism Generation. Comput. Chem. Eng. 2013, 52, 35–45. [Google Scholar] [CrossRef]
- Methling, T.; Braun-Unkhoff, M.; Riedel, U. A novel linear transformation model for the analysis and optimisation of chemical kinetics. Combust. Theory Model. 2017, 21, 503–528. [Google Scholar] [CrossRef]
- Härtl, M.; Seidenspinner, P.; Jacob, E.; Wachtmeister, G. Oxygenate screening on a heavy-duty diesel engine and emission characteristics of highly oxygenated oxymethylene ether fuel. Fuel 2015, 153, 328–335. [Google Scholar] [CrossRef]
- Ciezki, H.K.; Zhukov, V.; Werling, L.; Kirchberger, C.; Naumann, C.; Friess, M.; Riedel, U. Advanced Propellants for Space Propulsion—A Task within the DLR Interdisciplinary Project Future Fuels. In Proceedings of the 8th European Conference for Aeronautics and Space Sciences (EUCASS), Madrid, Spain, 1–4 July 2019. [Google Scholar]
- Van Schyndel, J.; Zhukov, V.; Oschwald, M.; Horchler, T. Influence of different kinetic mechanisms on the simulation results of a single-injector GOX/GCH4 combustion chamber using the DLR TAU-Code with a flamelet combustion model. In Proceedings of the 17th International Conference on Numerical Combustion, Aachen, Germany, 6–8 May 2019. [Google Scholar]
- Werling, L.; Hassler, M.; Lauck, F.; Ciezki, H.K.; Schlechtriem, S. Experimental Performance Analysis (c* & c* Efficiency) of a Premixed Green Propellant consisting of N2O and C2H4. In Proceedings of the 53rd AIAA/SAE/ASEE Joint Propulsion Conference, Atlanta, GA, USA, 10–12 July 2017. [Google Scholar]
- Perakis, N.; Werling, L.; Ciezki, H.; Schlechtriem, S. Numerical Calculation of Heat Flux Profiles in a N2O/C2H4 Premixed Green Propellant Combustor using an Inverse Heat Conduction Method. In Proceedings of the Space Propulsion Conference, Rome, Italy, 1–5 May 2016. [Google Scholar]
- Gohardani, A.S.; Stanojev, J.; Demairé, A.; Anflo, K.; Persson, M.; Wingborg, N.; Nilsson, C. Green space propulsion. Opportunities and prospects. Prog. Aerosp. Sci. 2014, 71, 128–149. [Google Scholar] [CrossRef]
- Ciezki, H.K.; Naumann, K.; Weiser, V. Status of Gel Propulsion in the Year 2010 with a Special View on the German Activities. In Proceedings of the German Aerospace Congress, Paper no. DLRK 2010-1326, Hamburg, Germany, 31 August–2 September 2010. [Google Scholar]
- Suslov, D.I.; Hardi, J.; Knapp, B.; Oschwald, M. Hot-fire testing of LOX/H2 single coaxial injector at high pressure conditions with optical diagnostics. In Proceedings of the 6th European Conference for Aeronautics and Space Sciences (EUCASS), Kraków, Poland, 29 June–3 July 2015. [Google Scholar]
- Zhukov, V.P.; Kong, A.F. A Compact Reaction Mechanism of Methane Oxidation at High Pressures. Prog. React. Kinet. Mech. 2018, 43, 62–78. [Google Scholar] [CrossRef]
- Sackheim, R.L.; Masse, R.K. Green Propulsion Advancement: Challenging the Maturity of Monopropellant Hydrazine. J. Propuls. Power 2014, 30, 265–276. [Google Scholar] [CrossRef]
- Sutton, G.P.; Biblarz, O. Rocket Propulsion Elements, 8th ed.; John Wiley & Sons: Hoboken, NJ, USA, 2010. [Google Scholar]
- European Chemicals Agency. Candidate List of Substances of Very High Concern for Authorisation: Published in Accordance with Article 59(10) of the REACH Regulation. Available online: http://echa.europa.eu/en/candidate-list-table (accessed on 17 August 2018).
- Mungas, G.; Vozoff, M.; Rishikof, B. NOFBX: A new non-toxic, Green propulsion technology with high performance and low cost. In Proceedings of the 63rd International Astronautical Congress, Naples, Italy, 1–5 October 2012. [Google Scholar]
- Taylor, R. Safety and Performance Advantages of Nitrous Oxide Fuel Blends (NOFBX) Propellants for Manned and Unmanned Spaceflight Applications. In Proceedings of the 5th IAASS Conference a Safer Space for a Safer World, Versailles, France, 17–19 October 2011; Ouwehand, L., Ed.; ESA Communication: Noordwijk, The Netherlands, 2012. [Google Scholar]
- Mayer, A.; Wieling, W.P.W.; Watts, A.; Poucet, M.; Waugh, I.; Macfarlane, J.; Valencia Bel, F. European Fuel Blend development for in-space propulsion. In Proceedings of the Space Propulsion Conference, Seville, Spain, 14–18 May 2018. [Google Scholar]
- Ciezki, H.K.; Werling, L.; Negri, M.; Strauss, F.; Kobald, M.; Kirchberger, C.; Freudenmann, D.; Hendrich, C.; Wilhelm, M.; Petrarolo, A.; et al. 50 Years of Test Complex M11 in Lampoldshausen—Research on Space Propulsion Systems for Tomorrow. In Proceedings of the 7th European Conference for Aeronautics and Space Sciences (EUCASS 2017), Milan, Italy, 3–6 July 2017. [Google Scholar]
- Wilhelm, M.; Hendrich, C.; Zimmermann, H.; Ciezki, H.; Schlechtriem, S. Test Facility for Research on Advanced Green Propellants under High-Altitude Conditions. In Proceedings of the Space Propulsion Conference, Seville, Spain, 14–18 May 2018. [Google Scholar]
- Naumann, C.; Janzer, C.; Riedel, U. Ethane / Nitrous Oxide Mixtures as a Green Propellant to Substitute Hydrazine: Validation of Reaction Mechanism. In Proceedings of the 9th European Combustion Meeting (ECM), Lisbon, Portugal, 14–17 April 2019. [Google Scholar]
- Naumann, C.; Kick, T.; Methling, T.; Braun-Unkhoff, M.; Riedel, U. Ethene / Dinitrogen Oxide—A Green Propellant to substitute Hydrazine: Investigation on its Ignition Delay Time and Laminar Flame Speed. In Proceedings of the 26th International Colloquium on the Dynamics of Explosions and Reactive Systems (ICDERS), Boston, MA, USA, 30 July–4 August 2017. [Google Scholar]
- Werling, L.; Perakis, N.; Müller, S.; Hauk, A.; Ciezki, H.; Schlechtriem, S. Hot firing of a N2O/C2H4 premixed green propellant: First combustion tests and results. In Proceedings of the Space Propulsion Conference, Rome, Italy, 1–5 May 2016. [Google Scholar]
- Werling, L.; Bätz, P.; Ciezki, H.; Schlechtriem, S. Influence of combustion chamber size (L*) on characteristic exhaust velocity (c*) for a N2O/C2H4 premixed green propellant. In Proceedings of the Space Propulsion Conference, Seville, Spain, 14–18 May 2018. [Google Scholar]
- Werling, L.; Jooß, Y.; Wenzel, M.; Ciezki, H.K.; Schlechtriem, S. A premixed green propellant consisting of N2O and C2H4: Experimental analysis of quenching diameters to design flashback arresters. Int. J. Energ. Mater. Chem. Prop. 2018, 17, 241–262. [Google Scholar] [CrossRef]
- Werling, L.; Lauck, F.; Freudenmann, D.; Röcke, N.; Ciezki, H.; Schlechtriem, S. Experimental Investigation of the Flame Propagation and Flashback Behavior of a Green Propellant Consisting of N2O and C2H4. J. Energy Power Eng. 2017, 11, 735–752. [Google Scholar] [CrossRef][Green Version]
- Natan, B.; Rahimi, S. The Status of Gel Propellants in Year 2000. In Combustion of Energetic Materials; Kuo, K.K., DeLuca, L.T., Eds.; Begell House: New York, NY, USA, 2001; pp. 172–194. [Google Scholar]
- Ciezki, H.K.; Naumann, K.W. Some Aspects on Safety and Environmental Impact of Gel Propulsion. Propellants Explos. Pyrotech. 2016, 41, 539–547. [Google Scholar] [CrossRef]
- Stiefel, A.D.; Kirchberger, C.U.; Ciezki, H.K.; Kurilov, M.; Kurth, G. The Flow of Gels through a Nozzle like Geometry. Int. J. Energetic Mater. Chem. Propuls. 2019. [Google Scholar] [CrossRef]
- Negri, M.; Ciezki, H.K.; Schlechtriem, S. Spray behavior of non-Newtonian fluids: Correlation between rheological measurements and droplets/threads formation. Prog. Propuls. Phys. 2013, 4, 271–290. [Google Scholar]
- Kurilov, M.; Kirchberger, C.; Stiefel, A.; Ciezki, H. A Method for Screening and Identification of Green Hypergolic Bipropellants. Int. J. Energ. Mater. Chem. Propuls. 2018, 7, 183–203. [Google Scholar] [CrossRef]
- Ciezki, H.K.; Kirchberger, C.; Stiefel, A.; Kröger, P.; Caldas Pinto, P.; Ramsel, J.; Naumann, K.W.; Hürttlen, J.; Schaller, U.; Imiolek, A.; et al. Overview on the German Gel Propulsion Technology Activities: Status 2017 and Outlook. In Proceedings of the 7th European Conference for Aeronautics and Space Sciences (EUCASS2017), Milan, Italy, 3–6 July 2017. [Google Scholar]




















| Energy Flows [MW] | BtL | PBtL | PtL Small/Large |
|---|---|---|---|
| Electricity | +12.6 | −167.4 | −71.9/−271.7 |
| Biomass (heating value Hi) | −100 | −100 | 0 |
| Steam (4 & 25 bar) | 20.2 | 21.1 | 9.2/34.3 |
| District heat (T > 80 °C) | 13.4 | 15.3 | 2.5/9.7 |
| Fuel yield | 36.3 | 137.4 | 36.4/137.2 |
| Efficiency | |||
| Fuel efficiency | 36.3% | 51.4% | 50.6% |
| Overall efficiency | 82.5% | 65.0% | 66.8% |
| Carbon conversion * | 24.9% | 97.7% | 98.0% |
| Raw Material & Utilities | Price in €2018 | Func. Unit | By-Products | Price in €2018 | Func. Unit |
|---|---|---|---|---|---|
| Electricity | 89.4 | MWh | Electricity | ||
| Biomass | 85.3 | t | <150 kW | 131.9 | MWh |
| Oxygen | 23.5 | t | <500 kW | 113.8 | MWh |
| Cooling water | 0.0013 | m³ | <5 MW | 101.9 | MWh |
| Distilled water | 2 | m³ | <20 MW | 56.5 | MWh |
| Waste water | 0.9 | m³ | Steam (4/25 bar) | 21.7/22.7 | t |
| Selexol | 4297 | t | District heat (T > 80 °C) | 0.03 | kWh |
| Net Electricity Consumption in TWh per Year (without Grid Losses & Own Consumption of Power Plants) | 2010 | 2030 | 2040 (VEU) | 2050 |
|---|---|---|---|---|
| Electricity for electric vehicles | 0 | 32 | 86 | 108 |
| Electricity for heat pumps | 2.5 | 12 | 15 | 17 |
| Hydrogen generation for reconversion into electricity | 0 | 0 | 2 | 22 |
| Hydrogen generation for transport | 0 | 5 | 26 | 139 |
| Conventional (residential, industry, commercial) | 540 | 434 | 392 | 354 |
| Total Base scenario assuming electricity and hydrogen in transport sector (VEU Reg. Shift extrapolated) | 543 | 482 | 518 | 640 |
| Variant 1: in addition PtL generation up to 75% of today’s jet fuel consumption | 0 | 59 | 96 | 185 |
| Total Variant 1 with PtL in addition | 543 | 541 | 614 | 825 |
| Variant 2: in addition PtL generation up to 75% of today’s jet fuel consumption and 700 PJ generation of PBtL for ground-based transportation in 2050 | 0 | 115 | 229 | 421 |
| Total Variant 2 with PtL and PBtL in addition | 543 | 597 | 747 | 1061 |
© 2019 by the authors. Licensee MDPI, Basel, Switzerland. This article is an open access article distributed under the terms and conditions of the Creative Commons Attribution (CC BY) license (http://creativecommons.org/licenses/by/4.0/).
Share and Cite
Pregger, T.; Schiller, G.; Cebulla, F.; Dietrich, R.-U.; Maier, S.; Thess, A.; Lischke, A.; Monnerie, N.; Sattler, C.; Clercq, P.L.; et al. Future Fuels—Analyses of the Future Prospects of Renewable Synthetic Fuels. Energies 2020, 13, 138. https://doi.org/10.3390/en13010138
Pregger T, Schiller G, Cebulla F, Dietrich R-U, Maier S, Thess A, Lischke A, Monnerie N, Sattler C, Clercq PL, et al. Future Fuels—Analyses of the Future Prospects of Renewable Synthetic Fuels. Energies. 2020; 13(1):138. https://doi.org/10.3390/en13010138
Chicago/Turabian StylePregger, Thomas, Günter Schiller, Felix Cebulla, Ralph-Uwe Dietrich, Simon Maier, André Thess, Andreas Lischke, Nathalie Monnerie, Christian Sattler, Patrick Le Clercq, and et al. 2020. "Future Fuels—Analyses of the Future Prospects of Renewable Synthetic Fuels" Energies 13, no. 1: 138. https://doi.org/10.3390/en13010138
APA StylePregger, T., Schiller, G., Cebulla, F., Dietrich, R.-U., Maier, S., Thess, A., Lischke, A., Monnerie, N., Sattler, C., Clercq, P. L., Rauch, B., Köhler, M., Severin, M., Kutne, P., Voigt, C., Schlager, H., Ehrenberger, S., Feinauer, M., Werling, L., ... Aigner, M. (2020). Future Fuels—Analyses of the Future Prospects of Renewable Synthetic Fuels. Energies, 13(1), 138. https://doi.org/10.3390/en13010138

