Three Vectors Model Predictive Torque Control Without Weighting Factor Based on Electromagnetic Torque Feedback Compensation
Abstract
:1. Introduction
2. Mathematical Model of Induction Motor
3. Feed-Forward Factor-Based Electromagnetic Torque Feedback Compensation (ETFC) Controller Analysis
3.1. Analysis of Speed Closed-Loop PI Controller
3.2. Analysis of Speed Closed-Loop IP Controller
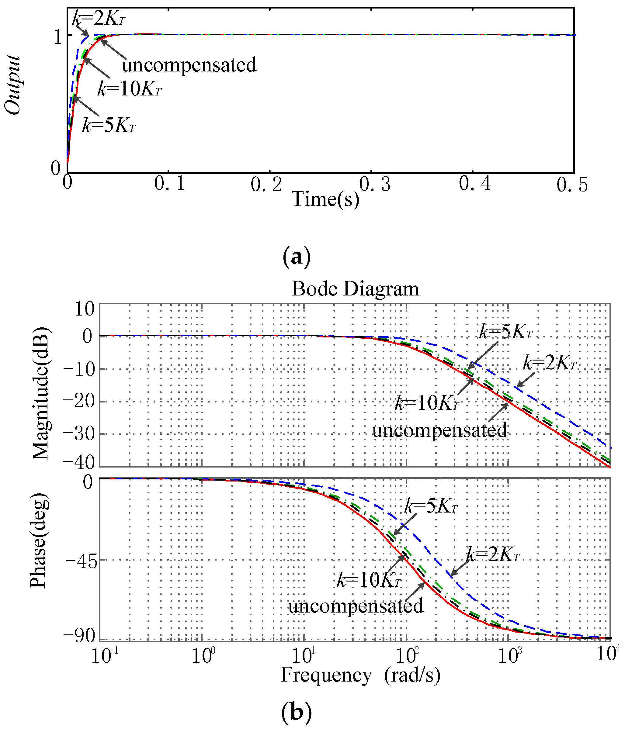
3.3. Feedforward Factor-Based Electromagnetic Torque Feedback Compensation (F-ETFC) Controller
4. Three-Vectors Model Predictive Torque Control without Weighting Factor
4.1. Traditional Model Predictive Torque Control
4.2. Optimization of Cost Function, g
4.3. Multi-Objective Ranking
4.4. Three-Vector Optimization Principle
5. Experimental Results
6. Conclusions
Author Contributions
Funding
Conflicts of Interest
References
- Wang, F.; Zhang, Z.; Mei, X.; Kennel, R. Advanced Control Strategies of Induction Machine: Field Oriented Control, Direct Torque Control and Model Predictive Control. Energies 2018, 11, 120. [Google Scholar] [CrossRef]
- Bermudez, M.; Gonzalez-Prieto, I.; Barrero, F.; Guzman, H.; Duran, M.J.; Kestelyn, X. Open-Phase Fault-Tolerant Direct Torque Control Technique for Five-Phase Induction Motor Drives. IEEE Trans. Ind. Electron. 2017, 64, 902–911. [Google Scholar] [CrossRef]
- Ahmed, F.I.; El-Tobshy, A.M.; Mahfouz, A.A.; Ibrahim, M.M.S. P-I and I-P controllers in a closed loop for DC motor drives. In Proceedings of the Power Conversion Conference—PCC ‘97, Nagaoka, Japan, 3–6 August 1997; Volume 2, pp. 613–618. [Google Scholar]
- Li, Z.; Zhang, W.; Liu, G.; Wang, B.; Zhang, Y. A novel Integral-Proportional (I-P) speed controller in PMSM motor drive. In Proceedings of the 11th World Congress on Intelligent Control and Automation, Shenyang, China, 29 June–4 July 2014; pp. 4236–4241. [Google Scholar]
- Lee, J.H. Model predictive control: Review of the three decades of development[J]. Int. J. Control Autom. Syst. 2011, 9, 415. [Google Scholar] [CrossRef]
- Zhao, J.; Quan, X.; Jing, M.; Li, N. Design, Analysis and Model Predictive Control of an Axial Field Switched-Flux Permanent Magnet Machine for Electric Vehicle/Hybrid Electric Vehicle Applications. Energies 2018, 11, 1859. [Google Scholar] [CrossRef]
- Liu, B.; Chen, T.; Song, W. The essential relationship between deadbeat predictive control and continuous-control-set model predictive control for PWM converters. In Proceedings of the 2018 International Power Electronics Conference (IPEC-Niigata 2018-ECCE Asia), Niigata, Japan, 20–24 May 2018; pp. 1872–1876. [Google Scholar]
- Chen, Z.; Qiu, J.; Mengjia, J. Prediction-Error-Driven Position Estimation Method for Finite-Control-Set Model Predictive Control of Interior Permanent-Magnet Synchronous Motors. IEEE J. Emerg. Sel. Top. Power Electron. 2019, 7, 282–295. [Google Scholar] [CrossRef]
- Xu, Y.; Zhang, B.; Zhou, Q. A model predictive current control method of PMSM based on the simultaneous optimization of voltage vector and duty cycle. In Proceedings of the 2016 IEEE 8th International Power Electronics and Motion Control Conference (IPEMC-ECCE Asia), Hefei, China, 22–26 May 2016; pp. 881–884. [Google Scholar]
- Aciego, J.J.; Gonzalez Prieto, I.; Duran, M.J. Model Predictive Control of Six-Phase Induction Motor Drives Using Two Virtual Voltage Vectors. IEEE J. Emerg. Sel. Top. Power Electron. 2019, 7, 321–330. [Google Scholar] [CrossRef]
- Geyer, T.; Papafotiou, G.; Morari, M. Model Predictive Direct Torque Control—Part I: Concept, Algorithm, and Analysis. IEEE Trans. Ind. Electron. 2009, 56, 1894–1905. [Google Scholar] [CrossRef]
- Davari, S.A.; Khaburi, D.A.; Stolze, P.; Kennel, R. An improved Finite Control Set-Model Predictive Control (FCS-MPC) algorithm with imposed optimized weighting factor. In Proceedings of the 2011 14th European Conference on Power Electronics and Applications, Birmingham, UK, 30 August–1 September 2011; pp. 1–10. [Google Scholar]
- Xiao, M.; Yan, Y.; Xu, W.; Shi, T.; Xia, C. Torque control of permanent magnet synchronous motor using flux vector. In Proceedings of the 2017 20th International Conference on Electrical Machines and Systems (ICEMS), Sydney, Australia, 1–14 August 2017; pp. 1–5. [Google Scholar]
- Zhang, X.; He, Y.; Hou, B. Double Vector Based Model Predictive Torque Control for SPMSM Drives with Improved Steady-State Performance. J. J. Power Electron. 2018, 18, 1398–1408. [Google Scholar]
- Changliang, X.; Xudong, Q.; Zhiqiang, W.; Tingna, S. Predictive Torque Control Based on Optimal Operating Time of Vector. J. Chin. J. Electr. Eng. 2016, 36, 3045–3053. [Google Scholar]
- Hassine, I.M.; Naouar, M.W.; Mrabet-Bellaaj, N. Model Predictive-Sliding Mode Control for Three-Phase Grid-Connected Converters. IEEE Trans. Ind. Electron. 2017, 64, 1341–1349. [Google Scholar] [CrossRef]
- Zhang, Y.; Xie, W.; Li, Z.; Zhang, Y. Low-Complexity Model Predictive Power Control: Double-Vector-Based Approach. IEEE Trans. Ind. Electron. 2014, 61, 5871–5880. [Google Scholar] [CrossRef]
- Zhang, Y.; Yang, H. Generalized Two-Vector-Based Model-Predictive Torque Control of Induction Motor Drives. IEEE Trans. Power Electron. 2015, 30, 3818–3829. [Google Scholar] [CrossRef]
- Zhang, Y.; Yang, H. Two-Vector-Based Model Predictive Torque Control Without Weighting Factors for Induction Motor Drives. IEEE Trans. Power Electron. 2016, 31, 1381–1390. [Google Scholar] [CrossRef]
- Zhang, Y.; Xia, B.; Yang, H. A novel three-vectors-based model predictive flux control of induction motor drives. In Proceedings of the 2016 IEEE 8th International Power Electronics and Motion Control Conference (IPEMC-ECCE Asia), Hefei, China, 22–26 May 2016; pp. 367–373. [Google Scholar]
- Rojas, C.A.; Rodriguez, J.; Villarroel, F.; Espinoza, J.R.; Silva, C.A.; Trincado, M. Predictive Torque and Flux Control Without Weighting Factors. IEEE Trans. Ind. Electron. 2013, 60, 681–690. [Google Scholar] [CrossRef]
- Rodriguez, J.; Kennel, R.M.; Espinoza, J.R.; Trincado, M.; Silva, C.A.; Rojas, C.A. High-Performance Control Strategies for Electrical Drives: An Experimental Assessment. IEEE Trans. Ind. Electron. 2012, 59, 812–820. [Google Scholar] [CrossRef]
- Vyncke, T.J.; Thielemans, S.; Dierickx, T.; Dewitte, R.; Jacxsens, M.; Melkebeek, J.A. Design choices for the prediction and optimization stage of finite-set model based predictive control. In Proceedings of the 2011 Workshop on Predictive Control of Electrical Drives and Power Electronics, Munich, Germany, 14–15 October 2011; pp. 47–54. [Google Scholar]




















| Parameter | Symbol | Value |
|---|---|---|
| Rotor inductance | 0.4034 H | |
| Mutual inductance | 0.395 H | |
| Stator inductance | 0.4043 H | |
| Rotor resistance | 2.444 | |
| Stator resistance | 3.4 | |
| Number of pole pairs | 2 | |
| Moment of Inertia | 0.005 |
| PI-MPTC-II Control Parameters | F-ETFC-MPTC Control Parameters | ||
|---|---|---|---|
© 2019 by the authors. Licensee MDPI, Basel, Switzerland. This article is an open access article distributed under the terms and conditions of the Creative Commons Attribution (CC BY) license (http://creativecommons.org/licenses/by/4.0/).
Share and Cite
Li, H.; Lin, J.; Lu, Z. Three Vectors Model Predictive Torque Control Without Weighting Factor Based on Electromagnetic Torque Feedback Compensation. Energies 2019, 12, 1393. https://doi.org/10.3390/en12071393
Li H, Lin J, Lu Z. Three Vectors Model Predictive Torque Control Without Weighting Factor Based on Electromagnetic Torque Feedback Compensation. Energies. 2019; 12(7):1393. https://doi.org/10.3390/en12071393
Chicago/Turabian StyleLi, Haixia, Jican Lin, and Ziguang Lu. 2019. "Three Vectors Model Predictive Torque Control Without Weighting Factor Based on Electromagnetic Torque Feedback Compensation" Energies 12, no. 7: 1393. https://doi.org/10.3390/en12071393
APA StyleLi, H., Lin, J., & Lu, Z. (2019). Three Vectors Model Predictive Torque Control Without Weighting Factor Based on Electromagnetic Torque Feedback Compensation. Energies, 12(7), 1393. https://doi.org/10.3390/en12071393

