Simulation of Vortex Heat Transfer Enhancement in the Turbulent Water Flow in the Narrow Plane-Parallel Channel with an Inclined Oval-trench Dimple of Fixed Depth and Spot Area
Abstract
1. Introduction
2. Problem Statement
3. Models, Methods, Computational Grids
3.1. Turbulence Models
3.2. Computational Methodology
3.3. Computational Grids
3.4. Data Processing
3.5. Analysis of Convergence
4. Testing, Verification, Validation
4.1. Comparison of the Numerical Predictions with V.I. Terekhov’s Experimental Data
4.2. Predictions of Convective Heat Transfer in the Narrow Channel with a Spherical Dimple at T = const and q = const
4.3. Comparison of the Predictions Obtained by the Modified SST Models
4.4. Validation
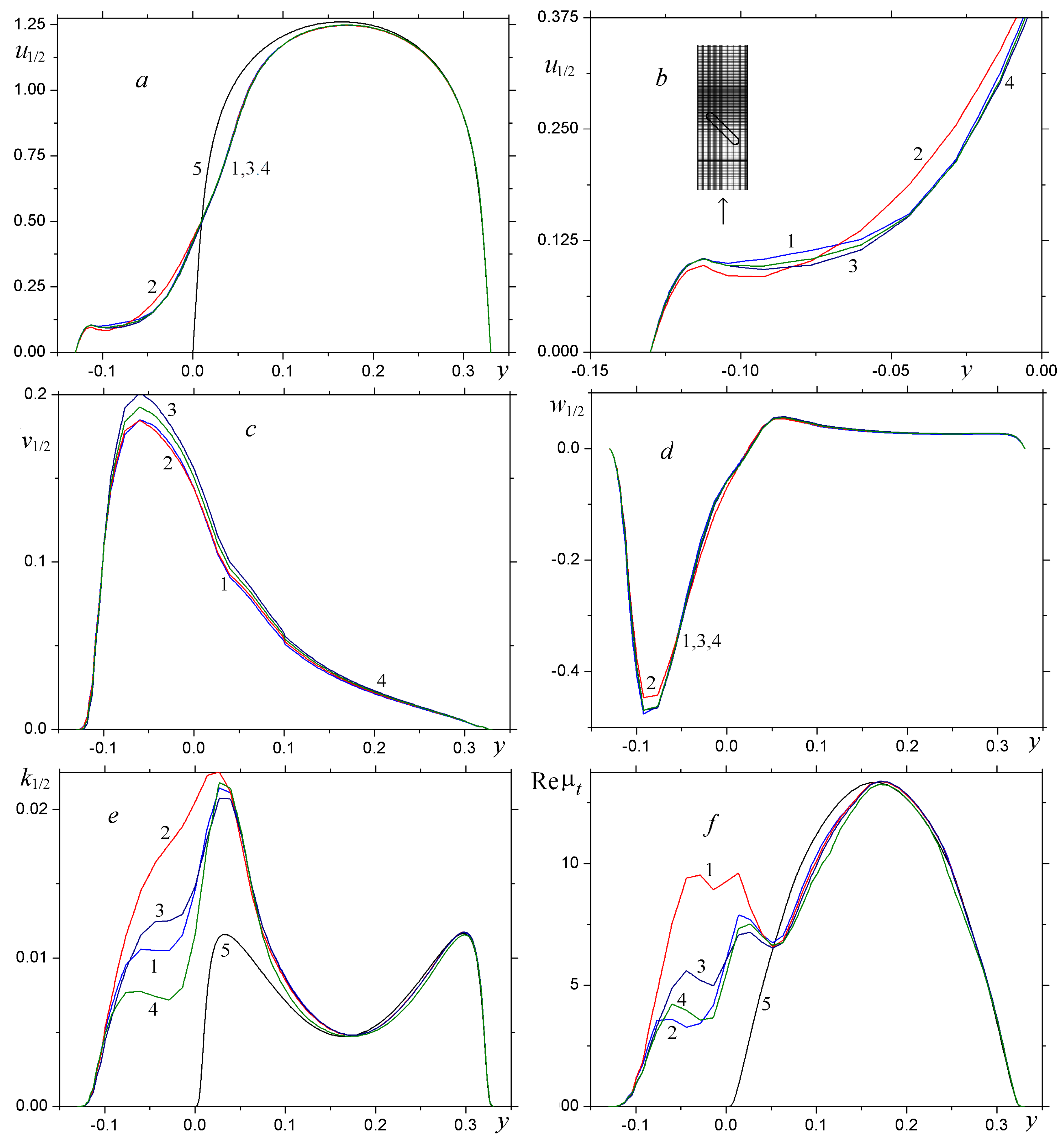
5. Results and Discussion
6. Conclusions
- The analysis of longer oval dimples located at a 45° angle of orientation to the flow in the channel showed that methodologically, it was important to fix a spot area of a dimple and its depth for the same channel.
- Tasks of hydrodynamics and heat transfer were solved with the use of original MCTs on different-scale structured overlapping grids of simple topology. These technologies meant for solution of RANS—steady Reynolds-averaged Navier–Stokes equations—were implemented in the VP2/3 code and were tested in the present study using the turbulence models and boundary conditions for heat transfer.
- Testing calculations:
- Testing was performed on the experimental setup [9] for determining characteristics of convective heat transfer near a heated spherical dimple of depth 0.13 over the Re number range 104–105 (MCTs) with the use of the VP2/3 code and the shear stress transport (SST) model [34] with curvature correction within the Rodi–Leschziner–Isaev (RLI) approach [36]. A fair agreement between numerical predictions and measurement data was obtained.
- The comparison of the boundary conditions T = const and q = const in the problem on heat transfer in the vicinity of a shallow spherical dimple in the narrow channel showed that integral characteristics of the thermal and hydraulic performance of the channel with a spherical dimple practically are independent of the type of boundary conditions for heat transfer within the turbulent flow regime. However, local distributions are substantially different in the near-edge zone and in the dimple center. Difference in maximum relative local heat transfer values is 1.5; at the same time, loads against the near-edge zone are much higher at T = const than at q = const.
- The comparison of the SST models [34,35] and the SST model [36,39] with curvature correction within the Rodi–Leschziner–Isaev (RLI) approach and the Smirnov–Menter (SM) approach showed that the numerical predictions of integral characteristics are pretty close according to the standard and modified SST models. Some differences in the SST model [35] are small, but noticeable, especially in zones of extreme local heat fluxes. However, it was seen that the values of k and Reνt in the spiral vortex core were too high. This is indicative of the fact that error is available in the standard SST model [34] in the calculation of high-intensity 3D separated flows.
- The computational algorithm was validated by comparing numerical predictions for local and integral characteristics of flow and heat transfer in the channel with an oval-trench dimple that were obtained on the grids with 1.6 mln cells and about 3 mln cells. Their fair agreement shows that the data for the dimple with a moderate cylindrical insert length are quite acceptable in accuracy.
- We revealed a series of oval-trench dimples with the cylindrical insert length 0.625–0.9, in which the separated flow structure gradually changed, the separation zone was localized behind the leading edge and backflow enhanced in it. The oval-trench dimple becomes flowing and non-separated throughout behind the separation zone.
Author Contributions
Funding
Acknowledgments
Conflicts of Interest
References
- Dreitser, G.A. Problems in developing highly efficient tubular heat exchangers. Therm. Eng. 2006, 53, 279–287. [Google Scholar] [CrossRef]
- Hagen, R.L.; Danak, A.M. Heat transfer in the field of the turbulent boundary layer separation over a dimple. Heat Transf. 1967, 4, 62–69. [Google Scholar]
- Presser, K.H. Empirische gleichungen zur berechnung der stoff–und warmeubertragung fur den spezialfal der abgerissenen stromung. Int. J. Heat Mass Transf. 1972, 15, 2447–2471. [Google Scholar] [CrossRef]
- Hiwada, M.; Kawamura, T.; Mabuchi, J.; Kumada, M. Some characteristics of flow pattern and heat transfer past a circular cylinder cavity. Bull. JSME 1983, 26, 1744–1758. [Google Scholar] [CrossRef]
- Snedeker, S.; Donaldson, D.P. Observation of bistable flow in hemispherical cavity. AIAA J. 1966, 4, 735–736. [Google Scholar]
- Gromov, P.R.; Zobnin, A.B.; Rabinovich, M.I.; Sushchik, M.M. Creation of solitary vortices in a flow around shallow spherical depressions. Sov. Tech. Phys. Lett. 1986, 12, 1323–1328. [Google Scholar]
- Kesarev, V.S.; Kozlov, A.P. Convective heat transfer in turbulized flow past a hemispherical cavity. Heat Transf. Sov. Res. 1993, 25, 156–160. [Google Scholar]
- Syred, N.; Khalatov, A.; Kozlov, A.; Shchukin, A.; Agachev, R. Effect of surface curvature on heat transfer and hydrodynamics within a single hemispherical dimple. ASME J. Turbomach. 2001, 123, 609–613. [Google Scholar] [CrossRef]
- Terekhov, V.I.; Kalinina, S.V.; Mshvidobadze, Y.M. Pressure field and resistance of a single cavity with sharp and rounded edges. J. Appl. Mech. Tech. Phys. 1993, 34, 331–338. [Google Scholar] [CrossRef]
- Terekhov, V.I.; Kalinina, S.V.; Mshvidobadze, Y.M. Heat transfer coefficient and aerodynamic resistance on a surface with a single dimple. Enhanc. Heat Transf. 1997, 4, 131–145. [Google Scholar] [CrossRef]
- Kiknadze, G.I.; Gachechiladze, I.A.; Gorodkov, A.Y. Self-organization of tornado-like jets in flows of gases and liquids and the technologies utilizing this phenomenon. In Proceedings of the 2009 ASME Summer Heat Transfer Conference, San Francisco, CA, USA, 19–23 July 2009; Paper No. HT 2009–88644. 14p. [Google Scholar]
- Ligrani, P.M.; Oliveira, M.M.; Blaskovich, T. Comparison of heat transfer augmentation techniques. AIAA J. 2003, 41, 337–362. [Google Scholar] [CrossRef]
- Afanasyev, V.N.; Chudnovsky, Y.P.; Leontiev, A.I.; Roganov, P.S. Turbulent ow friction and heat transfer characteristics of spherical cavities on a plate. Exp. Therm. Fluid Sci. 1993, 7, 1–8. [Google Scholar] [CrossRef]
- Chyu, M.K.; Yu, Y.; Ding, H. Heat transfer enhancement in rectangular channels with concavities. Enhanc. Heat Transf. 1999, 6, 429–439. [Google Scholar] [CrossRef]
- Turnow, J. Flow Structure and Heat Transfer on Dimpled Surfaces. Ph.D. Thesis, University of Rostock, Rostock, Germany, 2011. [Google Scholar]
- Ligrani, P.M.; Harrison, J.L.; Mahmmod, G.I.; Hill, M.L. Flow structure due to dimple depressions on a channel surface. Phys. Fluids 2001, 13, 3442–3451. [Google Scholar] [CrossRef]
- Mahmood, G.I.; Sabbagh, M.Z.; Ligrani, P.M. Heat transfer in a channel with dimples and protrusions on opposite walls. J. Thermophys. Heat Transf. 2001, 15, 275–283. [Google Scholar] [CrossRef]
- Ligrani, P.M.; Mahmood, G.I.; Harrison, J.L.; Clayton, C.M.; Nelson, D.I. Flow structure and local Nusselt number variations in a channel with dimples and protrusions on opposite walls. Int. J. Heat Mass Transf. 2001, 45, 2011–2020. [Google Scholar] [CrossRef]
- Ekkad, S.V.; Nasir, H. Dimple enhanced heat transfer in high aspect ratio channels. J. Enhanc. Heat Transf. 2003, 10, 395–405. [Google Scholar] [CrossRef]
- Mahmood, G.I.; Ligrani, P.M. Heat transfer in a dimpled channel combined influences of aspect ratio, temperature, Reynolds number and flow structure. Int. J. Heat Mass Transf. 2004, 45, 2011–2020. [Google Scholar] [CrossRef]
- Hwang, S.D.; Kwon, H.G.; Cho, H.H. Heat transfer with dimple/protrusion arrays in a rectangular duct with a low Reynolds number range. Int. J. Heat Fluid Flow 2008, 29, 916–926. [Google Scholar] [CrossRef]
- Mityakov, V.Y.; Mityakov, A.V.; Sapozhnikov, S.Z.; Isaev, S.A. Local heat fluxes on the surfaces of dimples. Ditches and cavities. Therm. Eng. 2007, 54, 200–203. [Google Scholar] [CrossRef]
- Voskoboinik, A.V.; Voskoboinik, V.A.; Isaev, S.A.; Zhdanov, V.L.; Kornev, N.V.; Turnow, J. Bifurcation of vortex flow inside a spherical dimple in the narrow channel. Appl. Hydromech. 2011, 13, 3–21. (In Russian) [Google Scholar]
- Voskoboinick, V.; Kornev, N.; Turnow, J. Study of Near Wall Coherent Flow Structures on Dimpled Surfaces Using Unsteady Pressure Measurements. Flow Turbul. Combust. 2013, 90, 709–722. [Google Scholar] [CrossRef]
- Mitsudharmadi, H.; Tay, C.M.J.; Tsai, H.M. Effect of rounded edged dimple arrays on the boundary layer development. Vis. Soc. Jpn. J. Vis. 2009, 12, 17–25. [Google Scholar] [CrossRef]
- Tay, C.M.; Chew, Y.T.; Khoo, B.C.; Zhao, J.B. Development of flow structures over dimples. Exp. Therm. Fluid Sci. 2014, 52, 278–287. [Google Scholar] [CrossRef]
- Xiao, N.; Zhang, Q.; Ligrani, P.M.; Mongia, R. Thermal performance of dimpled surfaces in laminar flows. Int. J. Heat Mass Transf. 2009, 52, 2009–2017. [Google Scholar] [CrossRef]
- Kovalenko, G.V.; Terekhov, V.I.; Khalatov, A.A. Flow regimes in a single dimple on the channel surface. J. Appl. Mech. Tech. Phys. 2010, 51, 839–848. [Google Scholar] [CrossRef]
- Kwon, H.G.; Hwang, S.D.; Cho, H.H. Measurement of local heat/mass transfer coefficients on a dimple using naphthalene sublimation. Int. J. Heat Mass Transf. 2011, 54, 1071–1080. [Google Scholar] [CrossRef]
- Lan, J.; Xie, Y.; Zhang, D. Effect of leading edge boundary layer thickness on dimple flow structure and separation control. J. Mech. Sci. Technol. 2011, 25, 3243–3251. [Google Scholar] [CrossRef]
- Heo, S.-C.; Seo, Y.-H.; Ku, T.-W.; Kang, B.-S. Formability evaluation of dimple forming process based on numerical and experimental approach. J. Mech. Sci. Technol. 2011, 25, 429–439. [Google Scholar] [CrossRef]
- Isaev, S.A.; Kornev, N.V.; Leontiev, A.I.; Hassel, E. Influence of the Reynolds number and the spherical dimple depth on the turbulent heat transfer and hydraulic loss in a narrow channel. Int. J. Heat Mass Transf. 2010, 53, 178–197. [Google Scholar] [CrossRef]
- Isaev, S.A.; Schelchkov, A.V.; Leontiev, A.I.; Baranov, P.A.; Gulcova, M.E. Numerical simulation of the turbulent air flow in the narrow channel with a heated wall and a spherical dimple placed it for vortex heat transfer enhancement depending on the dimple depth. Int. J. Heat Mass Transf. 2016, 94, 426–448. [Google Scholar] [CrossRef]
- Menter, F.R. Zonal two equation k–ω turbulence models for aerodynamic flows. In Proceedings of the 23rd Fluid Dynamics, Plasmadynamics, and Lasers Conference, Orlando, FL, USA, 6–9 July 1993; AIAA Paper No. 93-2906. 21p. [Google Scholar]
- Menter, F.R.; Kuntz, M.; Langtry, R. Ten years of industrial experience with the SST turbulence model. In Turbulence, Heat and Mass Transfer 4; Hajalic, K., Nogano, Y., Tummers, M., Eds.; Begell House Inc.: Danbury, CT, USA, 2003; 8p. [Google Scholar]
- Isaev, S.A.; Baranov, P.A.; Zhukova, Y.V.; Usachov, A.E.; Kharchenko, V.B. Correction of the shear-stress-transfer model with account for the curvature of streamlines in calculating separated flows of an incompressible viscous fluid. J. Eng. Phys. 2014, 87, 1002–1015. [Google Scholar] [CrossRef]
- Launder, B.E.; Spalding, D.B. The numerical computation of turbulent flow. Comp. Methods Appl. Mech. Eng. 1974, 3, 269–289. [Google Scholar] [CrossRef]
- Leschziner, M.; Rodi, W. Calculation of annular and twin parallel jets using various discretization schemes and turbulence-model variations. Trans. ASME. J. Fluids Eng. 1981, 103, 352–365. [Google Scholar] [CrossRef]
- Smirnov, P.E.; Menter, F. Sensitization of the SST turbulence model to rotation and curvature by applying the Spalart-Shur correction term. J. Turbomach. 2009, 131, 041010. [Google Scholar] [CrossRef]
- Spalart, P.R.; Shur, M.L. On the sensitization of turbulence models to rotation and curvature. Aerosp. Sci. Technol. 1997, 1, 297–302. [Google Scholar] [CrossRef]
- Menter, F.; Ferreira, J.C.; Esch, T.; Konno, B. Turbulence model with improved wall treatment for heat transfer predictions in gas turbines. In Proceedings of the Internatinal Gas Turbine Congress, Tokyo, Japan, 2–7 November 2003; 10p. [Google Scholar]
- Isaev, S.A.; Baranov, P.A.; Usachov, A.E. Multiblock Computational Technologies in the VP2/3 Package on Aerothermodynamics; LAP LAMBERT Academic Publishing: Saarbrucken, Germany, 2013; 316p. [Google Scholar]
- Ferziger, J.H.; Peric, M. Computational Methods for Fluid Dynamics; Springer Science & Business Media: Berlin/Heidelberg, Germany, 1999; 389p. [Google Scholar]
- Van Doormaal, J.P.; Raithby, G.D. Enhancement of the SIMPLE method for predicting incompressible fluid flow. Numer. Heat Transf. 1984, 7, 147–163. [Google Scholar] [CrossRef]
- Jasak, H. Error Analysis and Estimation for the Finite Volume Method with Applications to Fluid Flows. Ph.D. Thesis, University of London and Diploma of Imperial College of Science, Technology and Medicine, London, UK, 1996. [Google Scholar]
- Isaev, S.A.; Kudryavtsev, N.A.; Sudakov, A.G. Numerical modeling of a turbulent incompressible viscous flow along bodies of a curvilinear shape in the presence of a mobile shield. J. Eng. Phys. Thermophys. 1998, 71, 613–626. [Google Scholar]
- Rhie, C.M.; Chow, W.L. A numerical study of the turbulent flow past an isolated airfoil with trailing edge separation. AIAA J. 1983, 21, 1525–1532. [Google Scholar] [CrossRef]
- Pascau, A.; Garcia, N. Consistency of SIMPLEC scheme in collocated grids. In Proceedings of the V European Conference on Computational Fluid Dynamics ECCOMAS CFD 2010, Lisbon, Portugal, 14–17 June 2010; 12p. [Google Scholar]
- Leonard, B.P. A stable and accurate convective modeling procedure based on quadratic upstream interpolation. Comp. Methods Appl. Mech. Eng. 1979, 19, 59–98. [Google Scholar] [CrossRef]
- Van Leer, B. Towards the ultimate conservative difference scheme V. A second order sequel to Godunov’s method. J. Comp. Phys. 1979, 32, 101–136. [Google Scholar] [CrossRef]
- Saad, Y. Iterative Methods for Sparse Linear Systems, 2nd ed.; Society for Industrial and Applied Mathematics: Philadelphia, PA, USA, 2003; 567p. [Google Scholar]
- Demidov, D. AMGCL: C++ Library for Solving Large Sparse Linear Systems with Algebraic Multigrid Method. Available online: http://amgcl.readthedocs.org (accessed on 3 April 2019).
- Isaev, S.A.; Zhdanov, V.L.; Niemann, H.-J. Numerical study of the bleeding effect on the aerodynamic characteristics of a circular cylinder. J. Wind Eng. Ind. Aerodyn. 2002, 90, 1217–1226. [Google Scholar] [CrossRef]
- Isaev, S.A.; Sudakov, A.G.; Baranov, P.A.; Zhukova, Y.V.; Usachov, A.E. Analysis of errors of multiblock computational technologies by the example of calculating a circulation flow in a square cavity with a moving cover at Re = 1000. J. Eng. Phys. 2013, 86, 1134–1150. [Google Scholar]
- Zheng, Y.; Liou, M.-S. A novel approach of three-dimensional hybrid grid methodology: Part 1. Grid generation. Comput. Methods Appl. Mech. Eng. 2003, 192, 4147–4171. [Google Scholar] [CrossRef]
- Isaev, S.A.; Leontiev, A.I.; Gul’tsova, M.E.; Popov, I.A. Transformation and intensification of tornado-like flow in a narrow channel during elongation of an oval dimple with constant area. Tech. Phys. Lett. 2015, 41, 606–609. [Google Scholar] [CrossRef]
- Isaev, S.A.; Leontiev, A.I. Numerical simulation of vortex enhancement of heat transfer under conditions of turbulent floe past a spherical dimple on the wall of a narrow channel. High Temp. 2003, 41, 665–679. [Google Scholar] [CrossRef]
- Isaev, S.A.; Baranov, P.A.; Kudryavtsev, N.A.; Lisenko, D.A.; Usachov, A.E. Complex analysis of turbulence models, algorithms, and grid structures at the computation of recirculating flow in a cavity by means of VP2/3 and FLUENT packages. Part. 1. Scheme factors influence. Thermophys. Aeromech. 2005, 12, 549–569. [Google Scholar]
- Idelchik, I.E. Handbook on Hydraulic Resistance; Mashinostroyeniye: Moscow, Russia, 1992; 672p. [Google Scholar]
- Isaev, S.A.; Baranov, P.A.; Usachov, A.E.; Zhukova, Y.V.; Vysotskaya, A.A.; Malyshkin, D.A. Simulation of the turbulent air flow over a circular cavity with a variable opening angle in an U-shaped channel. J. Eng. Phys. Thermophys. 2015, 88, 902–917. [Google Scholar] [CrossRef]
- Isaev, S.A.; Baranov, P.A.; Zhukova, Y.V.; Kalinin, E.I.; Miau, J.J. Verification of the shear-stress transfer model and its modifications in the calculation of a turbulent flow around a semicircular airfoil with a zero angle of attack. J. Eng. Phys. Thermophys. 2016, 89, 73–89. [Google Scholar] [CrossRef]
- Isaev, S.; Baranov, P.; Popov, I.; Sudakov, A.; Usachov, A.; Guvernyuk, S.; Sinyavin, A.; Chulyunin, A.; Mazo, A.; Demidov, D. Ensuring safe descend of reusable rocket stages–numerical simulation and experiments on subsonic turbulent air flow around a semi-circular cylinder at zero angle of attack and moderate Reynolds number. Acta Astronaut. 2018, 150, 117–136. [Google Scholar] [CrossRef]
- Isaev, S.A.; Schelchkov, A.V.; Leontiev, A.I.; Gortyshov, Y.F.; Baranov, P.A.; Popov, I.A. Tornado-like heat transfer enhancement in the narrow plane-parallel channel with the oval-trench dimple of fixed depth and spot area. Int. J. Heat Mass Transf. 2017, 109, 40–62. [Google Scholar] [CrossRef]
















| L | b | χ |
|---|---|---|
| 0.5 | 0.731 | 1.68 |
| 0.625 | 0.678 | 1.92 |
| 0.675 | 0.659 | 2.02 |
| 0.75 | 0.631 | 2.19 |
| 0.9 | 0.58 | 2.55 |
| 1 | 0.549 | 2.82 |
| 1.25 | 0.482 | 3.59 |
| 1.5 | 0.429 | 4.50 |
| 1.75 | 0.383 | 5.57 |
| 2 | 0.346 | 6.78 |
| Boundary Condition Type | Nun10/Nunp110 | ζ/ζpl10 | Nun20/Nunpl20 | ζ/ζpl20 | Nun30/Nunpl30 | ζ/ζpl30 |
|---|---|---|---|---|---|---|
| q = const | 1.098 (1.083) | 1.072 | 1.138 (1.083) | 1.16 | 1.085 | 1.010 |
| T = const | 1.094 (1.08) | 1.071 | 1.17 (1.11) | 1.16 | 1.064 | 1.008 |
| Model | Nun1/Nunpl1 | ζ1/ζpl1 | (Nun1/Nunpl1)/(ζ1/ζpl1) | Nun2/Nunpl2 | ζ2/ζpl2 | (Nun2/Nunpl2)/(ζ2/ζpl2) |
|---|---|---|---|---|---|---|
| SST-model Standard [34] | 1.242 (1.196) | 1.079 | 1.151 (1.108) | 1.953 (1.518) | 1.150 | 1.698 (1.320) |
| SST-modelModified [35] | 1.231 (1.185) | 1.069 | 1.152 (1.109) | 1.933 (1.502) | 1.134 | 1.705 (1.325) |
| SST-model [35] modified within RLI approach | 1.233 (1.187) | 1.068 | 1.155 (1.111) | 1.949 (1.515) | 1.132 | 1.726 (1.338) |
| SST-model [35] modified within SM approach | 1.228 (1.183) | 1.064 | 1.154 (1.112) | 1.950 (1.516) | 1.127 | 1.730 (1.345) |
| SST-model [35] modified within RLI approach * | 1.222 (1.177) | 1.082 | 1.129 (1.088) | 1.836 (1.427) | 1.144 | 1.605 (1.247) |
| Type | umin | vmin | vmax | wmin | wmax | kmax | νtmax | Twmax |
|---|---|---|---|---|---|---|---|---|
| Grid A | −0.473 | −0.349 | 0.526 | −0.847 | 0.331 | 0.0412 | 0.00141 | 1.083 |
| Grid B | −0.472 | −0.337 | 0.508 | −0.818 | 0.377 | 0.0405 | 0.00142 | 1.085 |
© 2019 by the authors. Licensee MDPI, Basel, Switzerland. This article is an open access article distributed under the terms and conditions of the Creative Commons Attribution (CC BY) license (http://creativecommons.org/licenses/by/4.0/).
Share and Cite
Isaev, S.; Leontiev, A.; Chudnovsky, Y.; Nikushchenko, D.; Popov, I.; Sudakov, A. Simulation of Vortex Heat Transfer Enhancement in the Turbulent Water Flow in the Narrow Plane-Parallel Channel with an Inclined Oval-trench Dimple of Fixed Depth and Spot Area. Energies 2019, 12, 1296. https://doi.org/10.3390/en12071296
Isaev S, Leontiev A, Chudnovsky Y, Nikushchenko D, Popov I, Sudakov A. Simulation of Vortex Heat Transfer Enhancement in the Turbulent Water Flow in the Narrow Plane-Parallel Channel with an Inclined Oval-trench Dimple of Fixed Depth and Spot Area. Energies. 2019; 12(7):1296. https://doi.org/10.3390/en12071296
Chicago/Turabian StyleIsaev, Sergey, Alexandr Leontiev, Yaroslav Chudnovsky, Dmitry Nikushchenko, Igor Popov, and Alexandr Sudakov. 2019. "Simulation of Vortex Heat Transfer Enhancement in the Turbulent Water Flow in the Narrow Plane-Parallel Channel with an Inclined Oval-trench Dimple of Fixed Depth and Spot Area" Energies 12, no. 7: 1296. https://doi.org/10.3390/en12071296
APA StyleIsaev, S., Leontiev, A., Chudnovsky, Y., Nikushchenko, D., Popov, I., & Sudakov, A. (2019). Simulation of Vortex Heat Transfer Enhancement in the Turbulent Water Flow in the Narrow Plane-Parallel Channel with an Inclined Oval-trench Dimple of Fixed Depth and Spot Area. Energies, 12(7), 1296. https://doi.org/10.3390/en12071296

